PROYECTO de Norma Oficial Mexicana PROY-NOM-031-ENER-2018, Eficiencia energética para luminarios con led para iluminación de vialidades y áreas exteriores públicas. Especificaciones y métodos de prueba.

Al margen un sello con el Escudo Nacional, que dice: Estados Unidos Mexicanos.

PROYECTO DE NORMA OFICIAL MEXICANA PROY-NOM-031-ENER-2018, EFICIENCIA ENERGÉTICA PARA LUMINARIOS CON LED PARA ILUMINACIÓN DE VIALIDADES Y ÁREAS EXTERIORES PÚBLICAS. ESPECIFICACIONES Y MÉTODOS DE PRUEBA.
ODÓN DEMÓFILO DE BUEN RODRÍGUEZ, Presidente del Comité Consultivo Nacional de Normalización para la Preservación y Uso Racional de los Recursos Energéticos (CCNNPURRE) y Director General de la Comisión Nacional para el Uso Eficiente de la Energía (Conuee), con fundamento en los artículos 33, fracción X de la Ley Orgánica de la Administración Pública Federal; 17, 18, fracciones V y XIX y 36, fracción IX de la Ley de Transición Energética; 38 fracciones II y IV; 40, fracciones I, X, y XII, 41, 43, 44, 45, 46, 47, fracción I y 51 de la Ley Federal sobre Metrología y Normalización; 28, 33 y 34 del Reglamento de la Ley Federal sobre Metrología y Normalización; 2 apartado F, fracción II, 8, fracciones XIV y XV, 39 y 40 del Reglamento Interior de la Secretaría de Energía y el Artículo Único del Acuerdo por el que se delegan en el Director General de la Comisión Nacional para el Uso Eficiente de la Energía, las facultades que se indican, publicado en el Diario Oficial de la Federación, el 21 de julio de 2014; y
CONSIDERANDO
Que el presente proyecto de Norma Oficial Mexicana se sometió a consideración, y fue aprobado por el Comité Consultivo Nacional de Normalización para la Preservación y Uso Racional de los Recursos Energéticos (CCNNPURRE), en su Quincuagésima Quinta Sesión Ordinaria del 27 de noviembre de 2018. Lo anterior, con el fin de llevar a cabo su publicación en el Diario Oficial de la Federación y someterlo a consulta pública, de conformidad con el artículo 47, fracción I de la Ley Federal sobre Metrología y Normalización y 33 párrafo primero de su Reglamento, a efecto de que los interesados, dentro de los sesenta días naturales contados, a partir de la fecha de su publicación en el Diario Oficial de la Federación, presenten sus comentarios ante el CCNNPURRE, ubicado en: Av. Revolución No. 1877, Colonia Loreto, Alcaldía Álvaro Obregón, Ciudad de México, C.P. 01090, correo electrónico: ybo.pulido@conuee.gob.mx y norma.morales@conuee.gob.mx; para que, en términos de la Ley de la materia, se consideren en el seno del Comité que lo propuso.
Que de acuerdo con lo dispuesto por el artículo 45 de la Ley Federal sobre Metrología y Normalización, la Manifestación de Impacto Regulatorio relacionada con el proyecto de Norma Oficial Mexicana PROY-NOM-031-ENER-2018, Eficiencia energética para luminarios con led para iluminación de vialidades y áreas exteriores públicas. Especificaciones y métodos de prueba; estará a disposición del público para su consulta en el domicilio antes señalado.
Por lo expuesto y fundamentado, se expide para consulta pública el siguiente:
PROYECTO DE NORMA OFICIAL MEXICANA, PROY-NOM-031-ENER-2018, EFICIENCIA ENERGÉTICA
PARA LUMINARIOS CON LED PARA ILUMINACIÓN DE VIALIDADES Y ÁREAS EXTERIORES
PÚBLICAS. ESPECIFICACIONES Y MÉTODOS DE PRUEBA
Este proyecto de Norma Oficial Mexicana fue elaborado en el Comité Consultivo Nacional de Normalización para la Preservación y Uso Racional de los Recursos Energéticos (CCNNPURRE), con la colaboración de las siguientes empresas, organismos e instituciones:
·  Asociación de Normalización y Certificación, A.C. (ANCE)
·  AKSI HERRAMIENTAS, S.A DE C.V.
·  Cámara Nacional de la Industria Electrónica, de Telecomunicaciones y Tecnologías de la Información (CANIETI)
·  Cámara Nacional de Manufacturas Eléctricas (CANAME)
·  Centro Nacional de Metrología (CENAM)
·  Construlita Lighting International S.A. de C.V.
·  Factual Services, S.C.
·  Fideicomiso para el Ahorro de Energía Eléctrica (FIDE)
 
·  GE Commercial Materials, S de RL de CV (GE)
·  Holophane S.A. de C.V.
·  Industrias Sola Basic, S.A. de C.V.
·  Industrias Unidas S.A. de C.V (IUSA)
·  Intertek Testing Services de México, S.A. de C.V.
·  Labotec México, S.C.
·  Laboratorio de Alumbrado de la CDMX
·  Laboratorios Radson, S.A. de C.V.
·  Ledvance S.A. de C.V.
·  Logis Consultores
·  National Electrical Manufacturers Association (NEMA)
·  Normalización y Certificación NYCE, SC
·  Osram, S.A. de C.V.
·  Philips Mexicana S.A. de C.V.
·  Programa de Ahorro de Energía del Sector Eléctrico (PAESE-CFE)
·  Simon Eléctrica S.A. de C.V.
·  UL de México, S.A. de C.V.
CONTENIDO
1.     Objetivo y campo de aplicación
2.     Excepciones
3.     Referencias
4.     Definiciones
5.     Clasificación
5.1 De acuerdo con su aplicación
5.2 De acuerdo con su flujo luminoso total nominal
5.3 De acuerdo con el tipo de tensión de alimentación
5.4 De acuerdo con su vida útil nominal
6.    Especificaciones
6.1 Eficacia luminosa
6.2 Variación de flujo luminoso nominal
6.3 Temperatura de color correlacionada
6.4 Flujo luminoso total mantenido
6.5 Índice de rendimiento de color
6.6 Factor de potencia
6.7 Distorsión armónica total en corriente
6.8 Flujo luminoso de deslumbramiento
6.9 Resistencia al choque térmico y a la conmutación
6.10 Resistencia a las descargas atmosféricas
7.    Muestreo
8.    Métodos de prueba
8.1 Eficacia luminosa
 
8.2 Variación de flujo luminoso nominal
8.3 Temperatura de color correlacionada
8.4 Flujo luminoso total mantenido
8.5 Índice de rendimiento de color
8.6 Factor de potencia
8.7 Distorsión armónica total en corriente
8.8 Flujo luminoso de deslumbramiento
8.9 Resistencia al choque térmico y a la conmutación
8.10 Resistencia a las descargas atmosféricas
9.     Criterios de aceptación
10.   Marcado
10.1 En el cuerpo del producto
10.2 En el empaque
10.3 En el instructivo
10.4 Garantía del producto
10.5 Datos fotométricos y radiométricos nominales
11.   Vigilancia
12.   Procedimiento de evaluación de la conformidad
13.   Sanciones
14.   Concordancia con normas internacionales
Apéndices normativos
Apéndice normativo A Mediciones eléctricas, fotométricas y radiométricas para luminarios con led
Apéndice normativo B Medición del flujo luminoso total mantenido
Apéndice normativo C Prueba de resistencia al choque térmico y a la conmutación
Apéndice normativo D Medición del flujo luminoso de deslumbramiento máximo del porcentaje de flujo luminoso en la zona
Apéndice normativo E Método de proyección de flujo luminoso para luminarios con led
Apéndice informativo F Recomendaciones para la medición con esfera integradora
Figuras
Figura 1         Ángulos de medición del flujo luminoso máximo
Figura A1       Circuito de prueba para luminarios con led
Figura D1       Montajes del luminario bajo prueba en el gonio-fotómetro
Figura D2       Ángulos sólidos principales del sistema de clasificación del luminario (SCL)
Figura D3       Referencias del ángulo sólido con base en una esfera de puntos alrededor del luminario
Figura D4       Ángulos sólidos secundarios verticales para luz enfrente o lado calle
Figura D5       Ángulos sólidos secundarios verticales para luz atrás o lado casa
Figura D6       Ángulos sólidos secundarios verticales para luz arriba
Figura F1.       Configuración de la esfera integradora 4P
Figura F2.       Configuración de la esfera integradora 2P
Tablas
Tabla 1           Valores mínimos de eficacia luminosa y porcentaje de flujo luminoso por zona
Tabla 2          Valores de temperatura de color correlacionada
 
Tabla 3          Valores mínimos de flujo luminoso total mantenido para luminarios led
Tabla 4          Valores máximos de flujo luminoso de deslumbramiento
Tabla 5          Niveles de prueba
Tabla 6          Muestra para la certificación inicial
Tabla 7          Muestra de seguimiento
Tabla A1        Tensiones eléctricas de prueba
Tabla D1        Evaluación de la distribución del flujo luminoso del luminario
15.   Bibliografía
16.   Transitorios
1. Objetivo y campo de aplicación
Este proyecto de Norma Oficial Mexicana establece las especificaciones y métodos de prueba que propician el uso eficiente de la energía en los luminarios con diodos emisores de luz (led), destinados para iluminación de vialidades y áreas exteriores públicas, que utilizan para su alimentación la energía eléctrica del servicio público, así como de otras fuentes de energía, tales como pilas, baterías, acumuladores y autogeneración, en corriente alterna y/o corriente continua, con una tensión nominal hasta 480 V en corriente alterna y de hasta 100 V en corriente continua.
2. Excepciones
Se excluyen del campo de aplicación a los productos que se establecen en otra Norma Oficial Mexicana en materia de eficiencia energética, así como a los luminarios con led siguientes:
a)    Cuya fuente de iluminación sea exclusivamente lámparas con led integradas con base roscada.
b)    Para iluminación decorativa u ornamental de áreas exteriores públicas,
c)     Para señalización,
d)    Con emisión de luz cambiante de colores o luz monocromática (verde, rojo, amarillo, azul, etc.).
e)    Para ser instalados en piso, bajo el agua, en áreas clasificadas o peligrosas.
3. Referencias
Para la correcta aplicación de este proyecto de Norma Oficial Mexicana deben consultarse y aplicarse las siguientes normas oficiales mexicanas y normas mexicanas vigentes o las que las sustituyan:
NOM-008-SCFI-2002
Sistema general de unidades de medida.
NMX-J-507/2-ANCE-2013
Iluminación Fotometría para luminarios - Parte 2: Métodos de prueba.
NMX-J-610/4-5-ANCE-2013
Compatibilidad Electromagnética (EMC) Parte 4-5: Técnicas de prueba y medición. Pruebas de inmunidad a impulsos por maniobra o descarga atmosférica.
NOM-024-SCFI-2013
Información comercial para empaques, instructivos y garantías de los productos electrónicos, eléctricos y electrodomésticos.
 
4. Definiciones
Para efectos de este proyecto de Norma Oficial Mexicana se establecen las siguientes definiciones:
Nota: Los términos que no se incluyen en el presente proyecto de Norma Oficial Mexicana se definen en las normas de referencia incluidas en el capítulo 3 o tienen su acepción dentro del contexto en el que se utilizan.
4.1 Áreas exteriores públicas
Áreas expuestas a la intemperie en donde las superficies públicas o privadas de uso común a iluminar son normalmente plazas, parques, jardines, áreas deportivas, estacionamientos, etc.
4.2 Diodo emisor de luz (led)
Dispositivo de estado sólido que incorpora una unión p-n, emitiendo radiación óptica cuando se excita por una corriente eléctrica.
4.3 Eficacia luminosa
 
Relación del flujo luminoso total emitido por la fuente de luz, entre la potencia eléctrica de la misma fuente luminosa. Se expresa en lumen por watt [lm/W].
4.4 Factor de potencia ().
Relación de la potencia activa (P) y entre la potencia aparente (S), en un circuito de corriente alterna.
4.5 Flujo luminoso de deslumbramiento
Flujo luminoso parcial que emite un luminario, que incide en el campo visual que produce un mayor nivel de iluminación que el del entorno, provocando fastidio, molestia o pérdida en rendimiento visual y visibilidad, en tanto los ojos se adaptan a éste.
4.6 Flujo luminoso total
Energía radiante en forma de luz visible al ojo humano, emitida por una fuente luminosa en la unidad de tiempo (segundo), su unidad de medida es el lumen [lm].
4.7 Flujo luminoso total inicial
Aquella energía radiante total emitida por una fuente de luz, medida al inicio de su vida y después de un periodo de estabilización.
4.8 Flujo luminoso total mantenido
Relación del flujo luminoso total después de un determinado tiempo de uso de la fuente de luz, en condiciones de operación específicas, dividido por su flujo luminoso inicial, expresado como porcentaje.
4.9 Flujo luminoso total nominal
Aquella energía radiante total emitido de una fuente de luz, en su posición ideal, que declara el fabricante.
4.10 Iluminación
Aplicación de luz en una escena, superficies, objetos y sus alrededores para que éstos sean visibles.
4.11 Iluminación decorativa u ornamental
Aquella que se concentra y dirige para enfatizar un objeto particular o alguna características o superficie o para llamar la atención hacia alguna porción del campo visual.
4.12 Iluminación general
Aquella que se proyecta para un área específica, sin previsión para requisitos especiales locales.
4.13 Índice de rendimiento de color
Medida cuantitativa sobre la capacidad de la fuente luminosa para reproducir fielmente los colores de diversos objetos comparándolo con una fuente de luz ideal.
4.14 Lado calle
Parte frontal de un luminario respecto a su plano vertical transversal.
4.15 Lado casa
Parte posterior de un luminario respecto a su plano vertical transversal.
4.16 Luminario con led
Equipo de iluminación que distribuye, filtra o controla la luz emitida por uno o varios diodos emisores de luz (led) y el cual incluye todos los accesorios necesarios para fijar, proteger y operar estos led y lo necesario para conectarlos al circuito de utilización eléctrica.
4.17 Punta de poste
Luminario para uso de exteriores montado en la punta poste insertado en el suelo con una altura igual o mayor a 1,2 metros sobre el nivel del suelo.
4.18 Temperatura de color correlacionada (TCC)
Expresa la apariencia cromática de una fuente de luz por comparación con la apariencia cromática de la luz emitida por un cuerpo negro a una temperatura absoluta determinada, su unidad de medida es el kelvin [K].
4.19 Vialidad
Área definida y dispuesta adecuadamente para el tránsito vehicular, incluyendo túneles y pasos a desnivel.
4.20 Vida útil nominal
 
Periodo de tiempo en horas especificado por el fabricante del luminario desde el primer encendido, hasta la reducción del 30% del flujo luminoso inicial de una muestra estadística de unidades de led, en condiciones de encendido y operación controladas.
5. Clasificación
Los luminarios con led se clasifican de la manera siguiente:
5.1 De acuerdo con su aplicación
·  Vialidades
·  Punta de poste
·  Pared
·  Túneles o pasos a desnivel
5.2 De acuerdo con su flujo luminoso total nominal.
5.3 De acuerdo con el tipo de tensión de alimentación.
·  Corriente Alterna
·  Corriente Directa
5.4 De acuerdo con su vida útil nominal.
·  Menor o igual que 40 000 h
·  Mayor que 40 000 h y menor o igual que 50 000 h
·  Mayor que 50 000 h y menor o igual que 75 000 h
·  Mayor que 75 000 h
6. Especificaciones
6.1. Eficacia luminosa
6.1.1 Todos los luminarios con led para iluminación de vialidades con vida útil nominal igual o menor que 75 000 horas deben cumplir con una eficacia luminosa mínima inicial de 95,00 lm/W.
6.1.2 Todos los luminarios con led para iluminación de vialidades con vida útil nominal mayor que 75 000 horas deben cumplir con una eficacia luminosa mínima inicial de 105,00 lm/W.
6.1.3. Los luminarios con LED para iluminación de túneles y pasos a desnivel, deben cumplir con una eficacia mínima inicial de 100,00 lm/W.
6.1.4. Los luminarios con led para iluminación de áreas exteriores públicas, deben cumplir con los valores de eficacia establecidos en la Tabla 1.
Tabla 1. Valores mínimos de eficacia luminosa y porcentaje de flujo luminoso por zona
Luminario para
instalarse en
Eficacia
luminosa mínima
[lm/W]
Porcentaje de flujo luminoso en la zona, respecto al flujo
luminoso total
Pared
75
No más de 48,00% hacia el lado calle en la zona de 60° a 80° (FH)
No más de 3,00% hacia el lado calle en la zona de 80° a 90° (FVH)
No más de 1,00% hacia el lado casa y lado calle en la zona de 90°
a 100° (UL) y hacia arriba en la zona de 100° a 180° (UH)
Punta de poste
90
Al menos el 30,00% de la suma hacia el lado calle en la zona de
60° a 80° y hacia el lado casa en la zona de 60° a 80° (FH + BH)
No más del 20,00% de la suma hacia el lado calle en la zona de
80° a 90°, hacia el lado casa en la zona de 80° a 90°, hacia el lado
casa y lado calle en la zona de 90° a 100° y hacia arriba en la zona
de 100° a 180° (FVH + BVH + UL + UL + UH)
Nota:
1.     Véase el inciso D.5.1. Sistema de Clasificación del Luminario (SCL)
 
6.2 Variación del flujo luminoso total nominal
El flujo luminoso total inicial medido de todos los luminarios con led para iluminación de vialidades, túneles, pasos a desnivel y áreas exteriores públicas no debe ser menor al 90,00% del valor nominal marcado.
6.3 Temperatura de color correlacionada
Todos los luminarios con led para iluminación de vialidades, túneles, pasos a desnivel y áreas exteriores públicas deben cumplir con la TCC establecida en la Tabla 2.
Tabla 2 Valores de temperatura de color correlacionada
TCC nominal
[K]
Intervalo de TCC objetivo
[K]
Duv objetivo
Tolerancia de Duv
objetivo
2 200
2 238 + 102
0,0000
±0,0060
2 500
2 460 + 120
0,0000
±0,0060
2 700
2 725 + 145
0,0000
±0,0060
3 000
3 045 + 175
0,0001
±0,0060
3 500
3 465 + 245
0,0005
±0,0060
4 000
3 985 + 275
0,0010
±0,0060
4 500
4 503 + 243
0,0015
±0,0060
5 000
5 029 + 283
0,0020
±0,0060
5 700
5 667 + 355
0,0025
±0,0060
6 500
6 532 + 510
0,0031
±0,0060
Valores no incluidos y que se
encuentran en el intervalo de
2 300 a 6 400 K
TF±DT
Duv(TF)
±0,0060
 
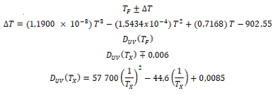
Para las TCC nominal declaradas, que no estén incluidas en la Tabla 2 y se encuentren en el intervalo de 2 300 K a 6 400 K, se debe calcular la TCC objetivo, así como los intervalos de tolerancia correspondientes, de acuerdo con las siguientes ecuaciones:

Donde:
T:
Temperatura de color correlacionada nominal declarada
TF:
Temperatura de color correlacionada objetivo y debe ser elegida por pasos de 100 K (2 200, 2 400, ..., 6 500), excluyendo los valores establecidos en la Tabla 2.
TX:
Temperatura de color correlacionada obtenida de la medición
T:
Es la tolerancia de la TCC
DUV:
Es la distancia más cercana a la curva de Plank
 
6.4 Flujo luminoso total mantenido.
 
Todos los luminarios con led para iluminación general de vialidades, túneles, pasos a desnivel y áreas exteriores públicas deben cumplir con los valores mínimos de flujo luminoso total mantenido establecidos en la Tabla 3, de acuerdo con las horas de prueba indicadas en la misma.
Tabla 3. Valores mínimos de flujo luminoso total mantenido para luminarios led
Vida útil nominal (h)
Flujo luminoso total mínimo
mantenido Medido a las 3 000
h [%]
Flujo luminoso total mínimo
mantenido Medido a las 6 000 h
[%]
Menor o igual que 40 000
96,50
94,80
Mayor que 40 000 y menor o
igual que 50 000
96,90
95,40
Mayor que 50 000 y menor o
igual que 75 000
97,20
95,80
Mayor que 75 000
98,40
97,90
 
Nota: Se permite aplicar una tolerancia del 3,00% al valor de flujo luminoso a las 6 000 h de prueba, en caso de que el valor de flujo luminoso total mínimo mantenido no cumpla con los valores establecidos en la Tabla anterior.
6.5. Índice de rendimiento de color.
Todos los luminarios con led para iluminación general de vialidades, túneles, pasos a desnivel y áreas exteriores públicas deben tener un valor mínimo del índice de rendimiento de color de 70.
6.6. Factor de potencia.
Todos los luminarios con led para iluminación general de vialidades, túneles, pasos a desnivel y áreas exteriores públicas, que utilizan para su alimentación la energía eléctrica del servicio público, deben tener un valor mínimo del factor de potencia de 0,90.
6.7. Distorsión armónica total en corriente.
Todos los luminarios con led para iluminación general de vialidades, túneles, pasos a desnivel y áreas exteriores públicas, que utilizan para su alimentación la energía eléctrica del servicio público, deben tener un valor máximo de distorsión armónica total en corriente de 20,00%.
6.8. Flujo luminoso de deslumbramiento
Esta prueba no aplica a luminarios para uso en túneles y pasos a desnivel.
6.8.1. Los valores de flujo luminoso de deslumbramiento respecto al ángulo vertical y su porcentaje respecto al flujo luminoso total de todos los luminarios con led para iluminación general de vialidades deben ser menor o igual a los establecidos en la Tabla 4 y de acuerdo con la Figura 1.
6.8.2. Flujo luminoso lado calle bajo (FL)
6.8.2.1. El flujo luminoso del lado calle en la zona de 0° a 30° (FL), debe ser menor que el flujo luminoso del lado calle en la zona de 30° a 60° (FM), ver Figura D4.
6.8.2.2. El flujo luminoso del lado calle en la zona de 0° a 30° (FL), debe ser menor que el flujo luminoso del lado calle en la zona de 60° a 80° (FH), ver Figura D4.
Tabla 4. Valores máximos de flujo luminoso de deslumbramiento
Angulo respecto a la vertical
(Ver Figura 1)
Flujo luminoso de deslumbramiento máximo
En lúmenes [lm]
Respecto al flujo
luminoso total [%]
Entre 60 y 80° lado calle (FH)
12 000
48
Entre 60 y 80° lado casa (BH) [Asimétrico]
5 000
20
Entre 60 y 80° lado casa (BH) [Simétrico]
12 000
48
Entre 80 y 90° lado calle (FVH)
750
3
Entre 80 y 90° lado casa (BVH)
750
3
Entre 90 y 100° lado calle y lado casa (UL)
1 000
4
Entre 100 y 180° lado calle y lado casa (UH)
1 000
4
Entre 0 y 30° lado casa (BL)
5 000
20
Entre 30 y 60° lado casa (BM)
8 500
34
 
 
Nota: Asimétrico: curva de distribución tipos I, II, III y IV, Simétrico: curvas de distribución tipo V y V cuadrada
Figura 1. Ángulos de medición del flujo luminoso máximo

6.9. Resistencia al choque térmico y a la conmutación
Todos los luminarios con led para iluminación general de vialidades, túneles, pasos a desnivel y áreas exteriores públicas deben someterse a un número de ciclos de choque térmico y conmutación, de acuerdo con lo establecido en el Apéndice C, posteriormente los luminarios con led deben operar y permanecer encendidos 15 min.
6.10. Resistencia a las descargas atmosféricas
Todos los luminarios con led para iluminación general de vialidades, túneles, pasos a desnivel y áreas exteriores públicas, que utilizan para su alimentación la energía eléctrica del servicio público, deben resistir cinco pulsos positivos y cinco pulsos negativos de valor de cresta y en los puntos de cruce por cero y noventa grados de la onda de tensión del suministro de energía eléctrica, de acuerdo con los niveles de prueba establecidos en la Tabla 5, posteriormente los luminarios con led deben operar y permanecer encendidos 15 min.
Tabla 5. Niveles de prueba
Características de la forma de onda y niveles de prueba
Datos de la forma de onda
1.2/50 µs
Nivel de prueba línea a línea
4.0 kV
Nivel de prueba línea a tierra
6.0 kV
 
7. Muestreo
Estará sujeto a lo dispuesto en el Capítulo 12 del presente proyecto de Norma Oficial Mexicana.
8. Métodos de prueba
8.1. Eficacia luminosa
Para determinar la eficacia luminosa del luminario con led establecida en el inciso 6.1. se debe aplicar la ecuación siguiente:
 

La potencia eléctrica medida y el flujo luminoso total inicial medido, se deben determinar de acuerdo con el método de prueba establecido en el Apéndice A.
8.2. Variación del flujo luminoso total nominal
Para determinar la relación del flujo luminoso total nominal de los luminarios con led del inciso 6.2, se debe aplicar la ecuación siguiente:

Donde:
vn:
Variación del flujo luminoso total nominal en [%]
v0:
Flujo luminoso total inicial medido en [lm]
vn:
Flujo luminoso total nominal marcado en el producto en [lm]
 
El flujo luminoso total inicial medido se debe determinar de acuerdo con el método de prueba establecido en el apéndice A.
8.3. Temperatura de color correlacionada
La temperatura de color correlacionada de los luminarios con led del inciso 6.3, se debe determinar con el método de prueba establecido en el apéndice A.
8.4. Flujo luminoso total mantenido
Para determinar el flujo luminoso total mantenido de los luminarios con led del inciso 6.4, se debe aplicar la ecuación siguiente:

Donde:
M:
Flujo luminoso total mantenido en [%]
vf:
Flujo luminoso total final medido en [lm]
v0:
Flujo luminoso total inicial medido en [lm]
 
El flujo luminoso total inicial medido se debe determinar de acuerdo con el método de prueba establecido en el Apéndice A.
El flujo luminoso total final medido se debe determinar de acuerdo con el método de prueba establecido en el Apéndice B.
8.5. Índice de rendimiento de color.
El índice de rendimiento de color de los luminarios con led del inciso 6.5 se debe determinar de acuerdo con el método de prueba establecido en el apéndice A.
8.6. Factor de potencia.
Para determinar el factor de potencia de los luminarios con led, se debe aplicar la ecuación siguiente:

Donde:
:
Factor de potencia
P:
Potencia eléctrica medida en [W]
V:
Tensión eléctrica medida en [V]
I:
Corriente eléctrica medida en [A]
 
La potencia eléctrica medida, la tensión eléctrica medida y la corriente eléctrica medida se deben determinar de acuerdo con el método de prueba establecido en el apéndice A.
8.7. Distorsión armónica total en corriente.
La distorsión armónica total en corriente de los luminarios con led del inciso 6.7 se debe determinar de acuerdo con el método de prueba establecido en el apéndice A
8.8. Flujo luminoso de deslumbramiento.
El flujo luminoso de deslumbramiento y el porcentaje de flujo luminoso en la zona, respecto al flujo luminoso total de los luminarios con led del inciso 6.8 se debe determinar de acuerdo con el método de prueba establecido en el apéndice D
8.9. Resistencia al choque térmico y a la conmutación.
La resistencia al choque térmico y a la conmutación de los luminarios con led del inciso 6.9 se debe determinar de acuerdo con el método de prueba establecido en el apéndice C.
8.10. Resistencia a las descargas atmosféricas.
La resistencia a las descargas atmosféricas de los luminarios con led del inciso 6.10 se debe determinar de acuerdo con el método de prueba establecido en la NMX-J-610/4-5-ANCE-2013.
9. Criterios de aceptación
Los luminarios con led para iluminación de vialidades, túneles, pasos a desnivel y áreas exteriores públicas, cumplen con el presente proyecto de Norma Oficial Mexicana, si el resultado de las pruebas de laboratorio establecidas en el capítulo 8, muestran cumplimiento con las especificaciones incluidas en el capítulo 6, de acuerdo a la aplicación del luminario con led y para cada uno de los especímenes que integran la muestra.
10. Marcado
10.1. En el cuerpo del producto.
10.1.1. Los luminarios con led para iluminación de vialidades, túneles, pasos a desnivel y áreas exteriores públicas considerados en el campo de aplicación del presente proyecto de Norma Oficial Mexicana, deben marcarse en el cuerpo del producto de manera legible e indeleble con los datos que se listan a continuación, así como las unidades conforme a la NOM-008-SCFI-2002 (véase 3. Referencias):
a)    El nombre o marca registrada del fabricante o del comercializador;
b)    Los datos eléctricos nominales de entrada tensión eléctrica, corriente eléctrica, frecuencia y potencia eléctrica;
c)     Símbolo del tipo de alimentación
·  c.a., ca, c.d., cd, ac, dc, AC, DC, c.c., cc, CC;
·   para corriente alterna; o
·  para corriente directa
d)    La fecha o código que permita identificar el periodo de fabricación.
e)    El flujo luminoso total nominal
f)     Uso destinado del luminario
·  Vialidades
·  Punta de poste
·  Pared
 
·  Túneles o pasos a desnivel
g)    Factor de potencia
h)    Distorsión armónica
i)     Modelo
j)     Temperatura de Color Correlacionada
10.1.2. Cuando no se incluyan en el instructivo, los luminarios con led para iluminación de vialidades, túneles, pasos a desnivel y áreas exteriores públicas considerados en el campo de aplicación del presente proyecto de Norma Oficial Mexicana, deben marcarse en el producto de manera legible e indeleble con los datos que se listan a continuación, así como las unidades conforme a la NOM-008-SCFI-2002 (véase 3. Referencias):
a)    Condiciones de temperatura de operación;
b)    Intervalos de tensión eléctrica, corriente eléctrica, potencia eléctrica, factor de potencia y distorsión armónica total en corriente a la entrada de los componentes eléctricos y electrónicos del luminario para su correcto funcionamiento;
10.1.3. Lo indeleble se verifica por inspección visual y frotando el marcado manualmente durante 15 segundos con un paño empapado en gasolina blanca, si después de este tiempo la información es legible se determina cumplimiento de la verificación.
10.2. En el empaque.
10.2.1. Los empaques de los luminarios con led para iluminación de vialidades, túneles, pasos a desnivel y áreas exteriores públicas considerados en el campo de aplicación del presente proyecto de Norma Oficial Mexicana, deben contener de manera legible los datos que se listan a continuación, así como las unidades conforme a la NOM-008-SCFI-2002 (véase 3. Referencias):
a)    La representación gráfica o el nombre del producto, salvo que éste no sea visible o identificable a simple vista por el consumidor;
b)    Nombre, denominación o razón social y domicilio del fabricante nacional, importador o comercializador;
c)     La leyenda que identifique al país de origen del mismo (ejemplo: "Hecho en...", "Manufacturado en...", u otros análogos);
d)    Datos eléctricos nominales de entrada; tales como: tensión eléctrica, corriente eléctrica, frecuencia y potencia eléctrica.
k)     Símbolo del tipo de alimentación
·  c.a., ca, c.d., cd, ac, dc, AC, DC;
·   para corriente alterna; o
·  para corriente directa
10.2.2. Cualquier otra restricción debe estar indicada en el empaque.
10.3. En el Instructivo.
Los instructivos de los luminarios con led para iluminación de vialidades, túneles, pasos a desnivel y áreas exteriores públicas considerados en el campo de aplicación del presente proyecto de Norma Oficial Mexicana, deben contener de manera legible los datos que se listan a continuación, así como las unidades conforme a la NOM-008-SCFI-2002 (véase 3. Referencias):
a)    Forma de instalación, conservación, reposición de los distintos componentes y demás especificaciones;
b)    Diagrama de conexión de los componentes del luminario;
c)     Información necesaria para la correcta conexión del luminario;
d)    Contenido cuando el producto no esté a la vista del consumidor;
e)    Intervalo de temperatura ambiente a la que opera el luminario.
10.4 Datos fotométricos nominales.
Los datos de índice de rendimiento de color y vida útil para vialidades, túneles, pasos a desnivel y áreas exteriores públicas.
 
El tipo de curva de distribución sólo es aplicable para los luminarios con led destinados a vialidades, y debe estar contenido por lo menos en uno de los lugares siguientes:
·  Cuerpo del producto.
·  Empaque.
·  Instructivo.
·  Garantía del producto.
10.5 Garantía del producto.
Todos los luminarios con led para iluminación de vialidades, túneles, pasos a desnivel y áreas exteriores públicas, descritos en el capítulo 1, objetivo y campo de aplicación, deben presentar una garantía que cubra la reposición del producto de por lo menos cinco años, contados a partir de la fecha de venta al usuario final y en términos de la Ley Federal de Protección al Consumidor y la NOM-024-SCFI-2013. La garantía del producto debe ser incluida en el empaque del producto o dentro del mismo.
11. Vigilancia
La Secretaría de Energía, a través de la Comisión Nacional para el Uso Eficiente de la Energía y la Procuraduría Federal del Consumidor, conforme a sus atribuciones y en el ámbito de sus respectivas competencias, son las autoridades que están a cargo de vigilar el cumplimiento del presente proyecto de Norma Oficial Mexicana, una vez publicado como Norma Oficial Mexicana definitiva.
Demostrar el cumplimiento del presente proyecto de Norma Oficial Mexicana no exime ninguna responsabilidad en cuanto a la observancia de lo dispuesto en otras Normas Oficiales Mexicanas.
12. Procedimiento para la evaluación de la conformidad
De conformidad con los artículos 68 primer párrafo, 70 fracciones I y 73 de la Ley Federal sobre Metrología y Normalización, se establece el presente Procedimiento para la Evaluación de la Conformidad (en adelante PEC).
12.1. Objetivo
Este PEC establece los lineamientos a seguir por los interesados, los organismos de certificación para producto y laboratorios de prueba, independientemente de los que, en su caso, determine la autoridad competente.
12.2. Referencias
Para la correcta aplicación de este PEC es necesario consultar los siguientes documentos vigentes:
·  Ley Federal sobre Metrología y Normalización (LFMN).
·  Reglamento de la Ley Federal sobre Metrología y Normalización (RLFMN).
12.3. Definiciones
Para los efectos de este PEC, se debe entender por:
12.3.1. Ampliación o reducción del certificado de la conformidad del producto
Cualquier modificación al certificado de producto durante su vigencia en modelo, marca, país de origen, bodega y especificaciones, siempre y cuando se cumplan con los criterios de agrupación de familia.
12.3.2. Autoridades competentes
La Secretaría de Energía (Sener), la Comisión Nacional para el Uso Eficiente de la Energía (Conuee) y la Procuraduría Federal del Consumidor (Profeco) conforme a sus atribuciones.
12.3.3. Certificado de conformidad inicial del producto
Documento mediante el cual el organismo de certificación para producto, hace constar que un producto o una familia de productos cumple con las especificaciones establecidas en el proyecto de NOM-031-ENER-2018 vigente, a las 3 000 h de prueba, el cual se sustituye por el certificado de conformidad final.
12.3.4. Certificado de conformidad final del producto
 
Documento mediante el cual el organismo de certificación para producto, hace constar que un producto o una familia de productos cumple con las especificaciones establecidas en el proyecto de NOM-031-ENER-2018 vigente a las 6 000 h de prueba.
12.3.5. Cancelación del certificado de la conformidad del producto
Acto por medio del cual el Organismo de Certificación de Producto deja sin efectos de modo definitivo el certificado.
12.3.6. Especificaciones técnicas
La información técnica de los productos que describe que éstos cumplen con los criterios de agrupación de familia de producto y que ayudan a demostrar cumplimiento con las especificaciones establecidas en el proyecto de Norma Oficial Mexicana.
12.3.7. Evaluación de la conformidad
La determinación del grado de cumplimiento con el proyecto de Norma Oficial Mexicana.
12.3.8. Familia de productos
Grupo de productos del mismo tipo en el que las variantes son de carácter estético o de apariencia, pero conservan las características de diseño, construcción, componentes y ensamble que aseguran el cumplimiento con el proyecto de Norma Oficial Mexicana.
12.3.9. Informe del sistema de gestión de la calidad
Documento que emite un organismo de certificación de sistemas de gestión de la calidad o un organismo de certificación para producto a efecto de evidenciar para hacer constar que el sistema de gestión de calidad aplicado a una determinada línea de producción, contempla procedimientos de verificación al producto, sujeto al cumplimiento con el presente proyecto de Norma Oficial Mexicana.
12.3.10. Informe de pruebas
Documento que emite un laboratorio de pruebas acreditado y aprobado en los términos de la LFMN, mediante el cual se presentan los resultados obtenidos en las pruebas realizadas a los productos.
12.3.11. Laboratorio de pruebas
Persona física o moral acreditada y aprobada conforme a la LFMN y su Reglamento para realizar pruebas de acuerdo con el proyecto de Norma Oficial Mexicana. (En adelante se le llamará "Laboratorio").
12.3.12. Modelo
Código y/o nomenclatura que indican las siguientes características particulares del luminario inherentes a la eficacia del mismo:
a)    Características que identifican la potencia del luminario y/o potencia declarada
b)    Flujo luminoso
c)    Temperatura de color (3000K, 4000K, 5000K)
12.3.13. Organismo de certificación de producto (OCP)
Persona moral acreditada y aprobada conforme a la LFMN y su Reglamento, que tenga por objeto realizar funciones de certificación a los productos referidos en el proyecto de Norma Oficial Mexicana. (En adelante se le llamará "OCP").
12.3.14. Organismo de certificación para sistemas de gestión de la calidad
Persona moral acreditada conforme a la LFMN y su Reglamento, que tenga por objeto realizar funciones de certificación de sistemas de gestión de la calidad.
12.3.15. Producto
Los luminarios de led, referidos en el campo de aplicación del proyecto de Norma Oficial Mexicana.
12.3.16. Renovación del certificado de la conformidad del producto
Emisión de un nuevo certificado de conformidad, por un período igual al que se le otorgó en la certificación inicial, previo seguimiento al cumplimiento con el proyecto de Norma Oficial Mexicana.
12.3.17. Seguimiento
 
Evaluación de los procesos y productos mediante inspección ocular, muestreo, pruebas, investigación de campo o revisión y evaluación del sistema de gestión de la calidad, posterior a la expedición del certificado, para comprobar el cumplimiento con el proyecto de Norma Oficial Mexicana así como las condiciones bajo las cuales se otorgó dicho certificado.
12.3.18. Suspensión del certificado de la conformidad del producto
Acto mediante el cual el OCP interrumpe la validez, de manera temporal, parcial o total, del certificado de la conformidad inicial o final del producto.
12.4. Disposiciones generales
Los certificados de conformidad inicial y final de producto se otorgarán a las personas formalmente establecidas en los Estados Unidos Mexicanos de acuerdo con las disposiciones legales aplicables.
12.4.1. La evaluación de la conformidad debe realizarse por laboratorios y organismos de certificación, acreditados y aprobados en el proyecto de NOM, conforme a lo dispuesto en la LFMN.
12.4.2. El solicitante debe requerir la evaluación de la conformidad con el proyecto de Norma Oficial Mexicana, al OCP, cuando lo requiera para dar cumplimiento a las disposiciones legales o para otros fines de su propio interés y el organismo de certificación debe entregar al solicitante la solicitud de servicios de certificación, el contrato de prestación de servicios, el listado de laboratorios subcontratados y la información necesaria para llevar a cabo el proceso de certificación de producto.
12.4.3. Una vez que el solicitante ha analizado la información proporcionada por el OCP, debe presentar la solicitud con la información respectiva, así como el contrato de prestación de servicios de certificación que celebra con el OCP.
12.4.4. El presente PEC es aplicable a los productos que se fabriquen, importen y comercialicen en el territorio nacional.
12.4.5. Para los certificados de conformidad inicial y final de producto que amparan a una familia de productos deben contener como máximo en su alcance 30 modelos.
12.4.6. La ampliación de titularidad del certificado de conformidad inicial y final del producto no está considerada en el presente proyecto de Norma Oficial Mexicana
12.4.7. Una vez concluidas las pruebas objeto del presente proyecto de NOM, los laboratorios de pruebas cuentan con 10 días hábiles como máximo, para emitir el informe de pruebas correspondiente.
12.4.8. Los informes de pruebas inicial tienen una vigencia de 90 días naturales.
12.4.9. Los informes de pruebas de seguimiento tienen una vigencia de 30 días naturales.
12.4.10. En caso de que el laboratorio cuente con todo el alcance para realizar las pruebas establecidas en el proyecto de Norma Oficial Mexicana, esté debe reportar en un solo informe los resultados de todas las pruebas aplicables.
12.4.11. La autoridad competente resolverá controversias en la interpretación de este PEC.
12.5. Procedimiento
12.5.1. Modalidades
Para obtener el certificado de la conformidad de producto, el solicitante puede optar por la modalidad de certificación seguimiento mediante pruebas periódicas al producto, o por la modalidad de certificación mediante el seguimiento del sistema de gestión de la calidad de la línea de producción y para tal efecto, debe presentar al OCP la documentación siguiente:
12.5.1.1. Para el certificado de conformidad con seguimiento mediante pruebas periódicas al producto:
a)    Informe de pruebas inicial o final, según corresponda;
b)    Fotografía de cada uno de los modelos que integra la familia de producto;
c)    Marcado del producto y marcado de empaque para cada modelo que integra la familia de producto;
d)    Garantía del producto o familia de productos;
e)    Instructivo del producto o familia de productos;
f)     Ficha técnica de cada modelo, el cual debe incluir:
 
·  Flujo luminoso nominal;
·  Temperatura de color correlacionada;
·  Índice de rendimiento de color;
·  Vida útil nominal;
·  Tipo de curva de distribución;
·  Aplicación del luminario.
12.5.1.1.1. El solicitante debe enviar la muestra representativa a un laboratorio para realizar los ensayos correspondientes. El laboratorio es el responsable de emitir el informe de pruebas conforme a los supuestos siguientes:
a)    Si el resultado de la prueba de flujo luminoso total mínimo mantenido a las 3 000 h y la proyección a las 6 000 h (de acuerdo con lo establecido en el Apéndice E demuestran el cumplimiento con las especificaciones de la Tabla 4. El laboratorio emite el informe de pruebas inicial y continua la prueba hasta las 6 000 h, dicho informe debe indicar la fecha estimada de la emisión de informe de pruebas final a las 6 000 h.
b)    Si el resultado de la prueba de flujo luminoso total mínimo mantenido a las 3 000 h y/o la proyección a las 6 000 h (de acuerdo con lo establecido en el Apéndice E, no demuestran cumplimiento con las especificaciones de la Tabla 4. El laboratorio debe continuar con la prueba, hasta concluir las 6 000 h. Hasta el término de la prueba de flujo luminoso total mínimo mantenido a las 6 000 h, el laboratorio debe emitir el informe de pruebas final.
12.5.1.1.2. Con el informe de pruebas inicial y la fecha estimada de la emisión del informe de pruebas final, el solicitante puede iniciar los trámites ante el organismo de certificación para la emisión de su certificado de conformidad inicial del producto.
12.5.1.1.3. Con el informe de pruebas final, el solicitante puede iniciar los trámites ante el organismo de certificación para la emisión de su certificado de conformidad final del producto
12.5.1.1.4. Cuando el organismo de certificación otorga un certificado de conformidad inicial de producto, dicho documento debe incluir la leyenda en negritas siguiente: "Se extiende el presente certificado inicial, el cual será definitivo cuando la muestra bajo prueba demuestre el cumplimiento conforme al numeral 6.4 del proyecto de NOM-031-ENER-2018 vigente". El certificado inicial debe ser sustituido cuando se obtenga el certificado de conformidad final del producto.
12.5.1.1.5. El informe de pruebas inicial debe establecer la fecha estimada de la emisión del informe de pruebas final, a partir del vencimiento de esta fecha y considerando 15 días naturales posteriores a la misma, el organismo de certificación, en caso de no haber recibido el informe de pruebas final, debe requerir al titular del certificado, mediante un comunicado, el ingreso de dicho informe. A partir de la emisión del comunicado, el solicitante cuenta con 5 días hábiles para el ingreso del mismo, de lo contrario, el certificado en cuestión, debe ser suspendido teniendo un plazo máximo de 15 días naturales, para presentar la evidencia solicitada. En caso de no dar respuesta a la suspensión, el certificado emitido debe ser cancelado conforme a lo establecido en el presente PEC.
12.5.1.1.6. Cuando el organismo de certificación cuente con el informe de pruebas final y en caso, de presentar cumplimiento con las especificaciones de la NOM, se debe otorgar el certificado de conformidad final del producto.
12.5.1.2. Para el certificado mediante el seguimiento del sistema de gestión de la calidad de la línea de producción y para tal efecto, debe presentar al OCP la documentación siguiente:
a)    Informe de pruebas final;
b)    Copia del certificado del sistema de gestión de la calidad vigente expedido por un organismo de certificación de sistemas de gestión de la calidad acreditado; el certificado debe incluir el proceso de manufactura de los productos a certificar en el presente proyecto de NOM, el nombre del organismo emisor fecha de vigencia, el alcance del certificado;
 
c)     Informe del sistema de gestión de la calidad otorgado por un organismo de certificación de producto o de sistemas de gestión de la calidad, el cual es vigente por 90 días naturales después de haber sido emitido;
d)    Fotografía de cada uno de los modelos que integra la familia de producto;
e)    Marcado del producto y marcado de empaque para cada modelo que integra la familia de producto;
f)     Garantía del producto o familia de productos;
g)    Instructivo del producto o familia de productos;
h)    Ficha técnica de cada modelo, el cual debe incluir:
·  Flujo luminoso nominal;
·  Temperatura de color correlacionada;
·  Índice de rendimiento de color;
·  Vida útil nominal;
·  Tipo de curva de distribución;
·  Aplicación del luminario.
12.5.2. Muestreo
12.5.2.1. Para efectos de la certificación inicial, el muestreo debe de sujetarse a lo dispuesto en la Tabla 6, de acuerdo con la cantidad de modelos que integran una familia de productos, deben seleccionarse al azar los especímenes del modelo representativo de ésta de acuerdo con lo establecido en el inciso 12.5.2.4.
Tabla 6 Muestra para la certificación inicial
Certificación inicial
Número de modelos en el alcance del
certificado
Cantidad de modelos
sujetos a
Cantidad de especímenes
por modelo sujetos a
Pruebas
completas
Pruebas
parciales
Pruebas
completas1
Pruebas
parciales2
Igual o menor que 6
1
0
3
0
Mayor que 6 e igual o menor que 12
1
1
3
1
Mayor que 12 e igual o menor que 18
1
2
3
1
Mayor que 18 e igual o menor que 24
2
2
3
1
Mayor que 24 e igual o menor que 30
2
3
3
1
1 Al primer espécimen se le aplican las pruebas eléctricas, fotométricas, radiométricas, flujo luminoso total mantenido, al segundo espécimen se le aplican las pruebas de resistencia al choque térmico y a la conmutación y al tercer espécimen se le aplica la prueba de resistencia a las descargas atmosféricas.
2 Al primer espécimen se le aplican las pruebas eléctricas y fotométricas.
12.5.2.2. Para efectos de seguimiento, el muestreo debe de sujetarse a lo dispuesto en la Tabla 7, seleccionando al azar los especímenes que conforman la muestra del producto certificado. Para el caso de una familia de productos debe seleccionarse al azar los especímenes el modelo representativo de ésta, que no sea el que fue seleccionado para la certificación inicial (inciso 12.5.3.3), a dicha muestra se le DEBEN realizar todas las pruebas.
Tabla 7 Muestra de seguimiento
Prueba
Especímenes a evaluar
Segundo espécimen
Todas las pruebas a un solo modelo
21
0
Para el resto de los modelos seleccionados
32
1
1 Al primer espécimen se le aplican las pruebas eléctricas, fotométricas, radiométricas, resistencia al choque térmico y a la conmutación, al segundo espécimen se le aplica la prueba de resistencia a las descargas atmosféricas.
2 Al primer espécimen se le aplican las pruebas eléctricas, fotométricas, radiométricas, flujo luminoso total mantenido, al segundo espécimen se le aplican las pruebas de resistencia al choque térmico y a la conmutación y al tercer espécimen se le aplica la prueba de resistencia a las descargas atmosféricas.
 
12.5.2.3. Para el proceso de certificación, los luminarios de led se agrupan por familia, de acuerdo con los siguientes criterios:
a)    Misma aplicación:
·  Vialidades
·  Punta de poste
·  Pared
·  Túneles o pasos a desnivel
b)    Mismo intervalo de vida útil nominal:
·  Menor o igual que 40 000 h
·  Mayor que 40 000 h y menor o igual que 50 000 h
·  Mayor que 50 000 h y menor o igual que 75 000 h
·  Mayor que 75 000 h
c)    Mismo tipo de tensión de alimentación:
·  Corriente Alterna
·  Corriente Directa
d)    Mismo controlador:
·  integrado al módulo de led
·  separable del módulo de led
·  remoto (fuera del luminario)
e)    Para los luminarios de vialidades misma curva de distribución:
·  Simétrica
·  Asimétrica
f)     Misma marca.
g)    Mismo material de la carcasa del luminario:
·  Metálico
·  No Metálico
12.5.2.4. Para el proceso de certificación, la muestra representativa de una familia de productos se selecciona de acuerdo con los siguientes criterios:
a)    Para los modelos que se someten a todas las pruebas se debe seleccionar de la familia los modelos de menor flujo luminoso, mayor temperatura de color correlacionada y mayor vida útil.
b)    Para los modelos que se someten a pruebas parciales se deben seleccionar de la familia los modelos de mayor potencia.
12.5.3. Vigencia de los certificados de cumplimiento del producto.
12.5.3.1. Un total de tres años a partir de la fecha de emisión, para los certificados de la conformidad con seguimiento mediante pruebas periódicas.
12.5.3.2. Tres años a partir de la fecha de emisión, para los certificados de la conformidad con seguimiento mediante el sistema de gestión de la calidad de la línea de producción.
12.5.4. Seguimiento
12.5.4.1 Los certificados de conformidad de producto otorgados están sujetos a visitas de seguimiento por parte del OCP de acuerdo con la modalidad de certificación y dentro del periodo de vigencia del certificado, tanto de manera documental como por revisión y muestreo del producto certificado.
12.5.4.1.1 Para la modalidad con seguimiento mediante pruebas periódicas al producto, se deben realizar dos seguimientos durante la vigencia del certificado, de acuerdo a lo siguiente:
 
      Primer seguimiento, durante los primeros dos meses del segundo año de vigencia.
      Segundo seguimiento, durante los primeros dos meses del tercer año de vigencia.
12.5.4.1.2 Modalidad con certificación por medio de seguimiento mediante el sistema de gestión de la calidad de la línea de producción, se deben realizar 2 seguimientos durante la vigencia de los certificados; el primero, durante los primeros dos meses del segundo año de vigencia para revisión de la línea de producción y el segundo seguimiento, durante los primeros dos meses del tercer año de vigencia para el muestreo del producto correspondiente con pruebas completas.
12.5.4.2 Durante la visita de seguimiento, se deben recabar las muestras en la cantidad necesaria, conforme a lo establecido en el inciso 12.5.2.2. y en la Tabla 7.
12.5.4.3 Para llevar a cabo el muestreo, es necesario contar con un mínimo de modelos que permitan realizar las pruebas de acuerdo a lo indicado en la Tabla 7, tomando en cuenta que no se deben repetir los modelos ya probados, de lo contrario, el organismo de certificación debe modificar el alcance del certificado, quitando de este los modelos no disponibles en el momento de realizarse dicho muestreo.
12.5.4.4 A fin de impedir su sustitución, el titular del certificado deberá asegurarse que, los especímenes se resguardarán o asegurarán, en forma tal que no sea posible su violación sin dejar huella, al momento de la entrega al laboratorio.
12.5.4.5 El titular del certificado es el responsable de presentar:
a) Las muestras al laboratorio en un plazo no mayor a 30 días, contados a partir del día siguiente de la toma de muestra y de notificar al OCP dicho ingreso a más tardar cinco días hábiles posteriores al mismo.
b) Los informes de pruebas vigentes al organismo de certificación a más tardar cinco días hábiles posteriores a la emisión del mismo.
12.5.4.6 De cada visita de seguimiento realizado por el OCP debe expedir un informe o documento empleado por el Organismo de Certificación, sea cual fuere el resultado, que será firmado por el representante del OCP, y el titular del certificado si hubiere intervenido. La falta de participación del titular en el seguimiento o su negativa a firmar el informe, no afecta su validez.
12.5.4.7 De los resultados del seguimiento correspondiente, el OCP debe dictaminar la suspensión, cancelación o renovación del certificado de conformidad final del producto.
12.5.5. Renovación
Para obtener la renovación de un certificado de conformidad final de producto en el esquema de certificación que resulta aplicable, se debe proceder conforme a lo siguiente.
12.5.5.1. El titular del certificado de conformidad final de producto debe presentar los documentos siguientes:
a)    Solicitud de renovación
b)    Actualización de la información técnica debido a modificaciones en el producto, en caso de haber ocurrido.
12.5.5.2. La renovación está sujeta a lo siguiente:
a)    Haber cumplido en forma satisfactoria y durante la vigencia del certificado con los seguimientos y pruebas correspondientes;
b)    Que se mantienen las condiciones de la modalidad de certificación, bajo la cual se emitió el certificado de cumplimiento inicial.
12.5.5.3 Una vez renovado el certificado de conformidad final de producto, se está sujeto a los seguimientos indicados en las modalidades de certificación de conformidad del producto bajo los cuales se renovó, así como las disposiciones aplicables del presente procedimiento para la evaluación de la conformidad.
12.5.6. Suspensión y cancelación del certificado de conformidad inicial y final del producto.
Sin perjuicio de las condiciones contractuales de la prestación del servicio de certificación, el OCP debe aplicar los siguientes criterios para suspender o cancelar un certificado.
12.5.6.1. El OCP debe proceder a la suspensión del certificado:
 
a)    Por incumplimiento con los requisitos de marcado o información comercial establecidos por el presente proyecto de Norma Oficial Mexicana.
b)    Cuando el seguimiento no pueda llevarse a cabo por causas imputables al titular del certificado.
c)     Cuando el titular del certificado no presente al OCP el informe de pruebas final, cuando aplique y de acuerdo con lo establecido 12.5.1.1.5.
d)    Cuando el titular del certificado no presente al OCP en tiempo y forma los requisitos establecidos en el inciso 12.5.4.5.
e)    Cuando la Dependencia lo determine con base en el artículo 112, fracción V de la Ley Federal sobre Metrología y Normalización y 102 de su reglamento.
El OCP debe informar al titular del certificado sobre la suspensión, otorgando un plazo de 30 días naturales para hacer las aclaraciones pertinentes o subsanar las deficiencias del producto o del proceso de certificación. Pasado el plazo otorgado y en caso de que no se hayan subsanado los incumplimientos, el OCP procederá a la cancelación inmediata del certificado de la conformidad del producto.
12.5.6.2. El Organismo de Certificación debe proceder a la cancelación inmediata del certificado:
a)    En su caso, por cancelación del certificado del sistema de gestión de la calidad de la línea de producción.
b)    Cuando se detecte falsificación o alteración de documentos relativos a la certificación.
c)     A petición del titular de la certificación, siempre y cuando se hayan cumplido las obligaciones contraídas en la certificación, al momento en que se solicita la cancelación.
d)    Cuando se incurra en declaraciones engañosas en el uso del certificado.
e)    Por incumplimiento con especificaciones en el presente proyecto de Norma Oficial Mexicana, que no sean aspectos de marcado o información.
f)     Una vez notificada la suspensión, no se corrija el motivo de ésta en el plazo establecido.
g)    Cuando la dependencia lo determine con base en el artículo 112, fracción V de la Ley Federal sobre Metrología y Normalización y 102 de su reglamento.
h)    Se hayan efectuado modificaciones al producto sin haber notificado al OCP correspondiente.
i)     No se cumpla con las características y condiciones establecidas en el certificado de conformidad inicial y final de producto.
j)     El documento donde consten los resultados de la evaluación de la conformidad pierda su utilidad o se modifiquen o dejen de existir las circunstancias que dieron origen al mismo, previa petición de parte.
En todos los casos de cancelación se procede a dar aviso a las autoridades correspondientes, informando los motivos de ésta. El OCP debe mantener el expediente de los productos con certificados cancelados por incumplimiento en el presente proyecto de Norma Oficial Mexicana.
12.5.7. Ampliación o reducción del alcance certificado de la conformidad del producto.
12.5.7.1. Una vez otorgado el certificado de la conformidad del producto se puede ampliar, reducir o modificar su alcance, a petición del titular del certificado, siempre y cuando se demuestre que se cumple con los requisitos del proyecto de Norma Oficial Mexicana, mediante análisis documental y, de ser el caso, pruebas parciales.
12.5.7.2. El titular de la certificación puede ampliar, modificar o reducir en los certificados, modelos, marcas, especificaciones técnicas o domicilios, entre otros, siempre y cuando se cumpla con los criterios generales en materia de certificación y correspondan a la misma familia de productos.
12.5.7.3. Los certificados emitidos como consecuencia de una ampliación quedan condicionados tanto a la vigencia y seguimiento de los certificados de la conformidad del producto iniciales.
12.5.7.4. Para ampliar o modificar el alcance del certificado de la conformidad del producto, se deben presentar los documentos siguientes:
a)    Información técnica que justifiquen los cambios solicitados con los requisitos de agrupación de familia
y con la modalidad de certificación correspondiente.
·  Fotografía del modelo o modelos que se integran la familia de producto;
·  Marcado del producto y marcado de empaque para cada modelo o modelos;
·  Garantía del producto o productos;
·  Instructivo del producto o productos;
·  Ficha técnica del modelo o modelos, la cual debe incluir:
§    Flujo luminoso nominal;
§    Temperatura de color correlacionada;
§    Índice de rendimiento de color;
§    Vida útil nominal;
§    Tipo de curva de distribución;
§    Aplicación del luminario.
b)    Informe de pruebas inicial que contenga las pruebas siguientes:
·  8.1 Eficacia luminosa
·  8.2 Relación de flujo luminoso nominal
·  8.3 Temperatura de color correlacionada
·  8.5 Índice de rendimiento de color
·  8.6 Factor de potencia
c)    En caso de que el producto sufra alguna modificación, el titular del certificado debe de notificarlo al organismo de certificación.
12.6 Transición de la Norma Oficial Mexicana, que se encuentra vigente, al momento de publicar la Norma Oficial Mexicana que la sustituirá
12.6.1 Los certificados de conformidad inicial con la NOM-031-ENER-2012, que hayan sido emitidos a las 1 000 h de prueba, con anterioridad a la fecha de entrada vigor del presente proyecto de Norma Oficial Mexicana y que continúen en el periodo valoración para obtener el certificado de conformidad final, deben mostrar cumplimiento con la especificación de flujo luminoso total mantenido, establecido en el inciso 6.4 del proyecto de Norma Oficial Mexicana y el informe de pruebas debe ser vigente (ver inciso 12.4.8).
12.6.2. Para los seguimientos a los certificados de conformidad inicial o final emitidos bajo la NOM-031-ENER-2012, el organismo de certificación de producto debe comprobar el cumplimiento con las especificaciones del presente proyecto de Norma Oficial Mexicana, con base en lo siguiente:
a) Para el primer seguimiento, el cual se realiza los dos primeros meses del primer año de vigencia, el laboratorio debe realizar a dos especímenes de un modelo distinto al evaluado en la certificación inicial, las pruebas correspondientes para que el OCP evalué el cumplimiento de las especificaciones referidas en el presente proyecto de Norma Oficial Mexicana vigente, que se enlistan a continuación:
      Eficacia luminosa;
      Relación de flujo luminoso nominal;
      Temperatura de color correlacionada;
      Índice de rendimiento de color;
      Factor de potencia;
      Distorsión armónica total en corriente.
b) Para el segundo seguimiento, el cual se realiza los dos primeros meses del segundo año de vigencia, el laboratorio debe realizar todas las pruebas referidas en la Norma Oficial Mexicana vigente, de acuerdo con la muestra establecida en la Tabla 6, el informe de pruebas puede ser utilizado por el titular para solicitar al OCP de producto un certificado de conformidad con el PROY-NOM-031-ENER-2018, siempre y cuando dicho informe sea vigente y se cumpla con todos los requisitos establecidos en el presente proyecto de Norma Oficial Mexicana.
13. Sanciones
El incumplimiento del presente proyecto de Norma Oficial Mexicana, una vez publicado como Norma Oficial Mexicana definitiva, será sancionado conforme a lo dispuesto por la Ley de Metrología y Normalización, su reglamento y demás disposiciones legales aplicables.
14. Concordancia con normas internacionales
Al momento de la elaboración de este proyecto de Norma Oficial Mexicana, no se encontró concordancia con ninguna norma internacional.
Apéndice A
(Normativo)
Mediciones eléctricas, fotométricas y radiométricas para luminarios con led
A.1. Aparatos e instrumentos de medición
A.1.1. Fuente de alimentación
A.1.1.1. Forma de onda
La distorsión armónica total en tensión eléctrica de la fuente de alimentación, no debe exceder el 3,00% de la suma de las componentes armónicas, considerando hasta la 49.
A.1.1.2. Regulación de tensión eléctrica
La tensión eléctrica de alimentación en c. a. (tensión RCM) aplicada al luminario bajo prueba, debe tener una regulación de ± 0,2%, bajo carga.
La tensión eléctrica de alimentación en c. d. (sin rizo) aplicada bajo prueba, debe tener una regulación de ± 2%, bajo carga.
Nota: Sin rizo, convencionalmente es una tensión eficaz de rizado no mayor al 10% de la componente de corriente directa.
A.1.2. Instrumentos de medición eléctricos
El wáttmetro, vóltmetro y ampérmetro deben ser capaces de obtener lecturas del tipo valor eficaz verdadero y deben estar de acuerdo con la forma de onda y la frecuencia de operación del circuito de medición.
El equipo de medición de armónicas debe ser capaz de medir hasta la componente armónica 49.
A.1.2.1. Exactitud
La exactitud del vóltmetro, ampérmetro y medidor de distorsión de armónicas, deben ser menor o igual a 0,5%.
La exactitud del wáttmetro debe ser menor o igual a 0,75%.
Los instrumentos de medición antes mencionados se calibran con un nivel de confianza de 95% y un factor de cobertura k=2.
A.1.3. Instrumentos de medición fotométricos y radiométricos
A.1.3.1. Lámparas de referencia
Las lámparas de referencia deben contar con el informe de calibración correspondiente, que indique el valor de flujo luminoso total.
A.1.3.2. Sensor óptico.
Existen diversos tipos de sensores ópticos que pueden ser empleados para las mediciones fotométricas o radiométricas:
 
A.1.3.2.1 Fotómetro
Detector fotométrico con su indicador asociado, cuya desviación de la responsividad espectral relativa del detector fotométrico (f1'), no debe de exceder el 10% respecto al estándar definido por la Comisión Internacional de la Iluminación (CIE).
A.1.3.2.2 Espectrorradiómetro
Instrumento de medición radiométrico con capacidad de medición de irradiancia espectral con un intervalo de trabajo que debe cubrir al menos de 380 nm a 720 nm; y su resolución en longitud de onda debe ser de al menos 5 nm.
A.1.3.2.3 Medidores radiométricos
Instrumentos que mediante técnicas simplificadas pueden determinar la temperatura correlacionada de color o el índice de rendimiento de color.
A.1.3.3. Esfera integradora
La reflectancia de las paredes interiores de la esfera integradora, debe ser mayor o igual a 80%, las unidades bajo prueba deben montarse sin causar interferencia de las múltiples reflexiones de la luz y La medición debe ser realizada usando un fotómetro.
A.1.3.4. Gonio-fotómetro
Los pasos angulares del mecanismo de posicionamiento del gonio-fotómetro deben ser como máximo 0,5º con una velocidad angular adecuada al tiempo de respuesta del fotómetro.
A.1.4. Calibración
El sistema de medición, debe proveer trazabilidad metrológica a unidades del sistema internacional de unidades.
A.2. Preparación y acondicionamiento de las muestras
A.2.1. Condiciones ambientales
Las mediciones fotométricas, radiométricas y eléctricas de los luminarios con led son sensibles a los cambios de la temperatura ambiental, a los flujos de aire y a las reflexiones indeseables.
Las pruebas deben realizarse en un cuarto libre de corrientes de aire y manteniendo la iluminación ambiental en niveles que no produzcan reflexiones indeseables.
Las mediciones deberán realizarse a una temperatura ambiental de 25 °C ± 1 °C y una humedad relativa de 65% como máximo. Las condiciones ambientales se medirán a la misma altura a no más de 1 m del luminario de prueba.
A.2.1.1. Condiciones térmicas para el montaje
Los soportes que se utilicen en el montaje del luminario bajo prueba en la esfera integradora y en el gonio-fotómetro, deben ser de baja conductividad térmica y también se debe cuidar que dichos soportes no causen perturbaciones al flujo de aire.
A.2.2. Posición del luminario
El luminario bajo prueba debe ser instalado en la posición especificada por el fabricante, cuando no se especifique una posición o si existe más de una posición, el luminario debe probarse en la posición en la que se utilice en la aplicación; la estabilización y las mediciones eléctricas, fotométricas y radiométricas, deben realizarse con dicha posición.
A.2.3. Tensión eléctrica de prueba
Todas las pruebas deben realizarse con el luminario bajo prueba conectada a un circuito de suministro de frecuencia de 60 Hz y la tensión eléctrica de prueba debe ser la indicada en la Tabla A1.
Tabla A1. Tensiones eléctricas de prueba
Tensión eléctrica nominal [V]
Tensión eléctrica de prueba [V]
Menor o igual que 120
120 ± 1
Mayor que 120 y menor o igual que 140
127 ± 1
Mayor que 140 y menor o igual que 220
220 ± 2
Mayor que 220 y menor o igual que 240
240 ± 2
Mayor que 240 y menor o igual que 254
254 ± 2
Mayor que 254 y menor o igual que 277
277 ± 2
Mayor que 277 y menor o igual que 480
480 ± 4
 
Si el luminario con led está marcado con un intervalo de tensión eléctrica, se debe considerar como tensión eléctrica nominal el valor de la tensión eléctrica menor.
Los luminarios que utilizan para su alimentación la energía eléctrica de pilas, baterías, acumuladores y autogeneración, en corriente continua, las pruebas se realizan con el controlador o regulador de carga con el que será comercializado, a la tensión marcada en el luminario, con una tolerancia de ± 0,5 V de c.d.
A.2.4. Circuito de medición
La conexión debe de hacerse entre la fuente de alimentación y el luminario de prueba, como se muestra en la Figura A1.

A.2.5. Estabilización
Durante el periodo de estabilización el luminario debe operar bajo las condiciones establecidas en el inciso A.2.1, así como con la posición especificada en el inciso A.2.2. y operarse durante 30 minutos, o hasta que la potencia eléctrica se estabilice, la medición de potencia eléctrica se debe tomar cada 15 min (0, 15 y 30 min) y no debe existir una variación mayor a 0,5% entre dos lecturas consecutivas.
No se deben tomar mediciones antes de que el luminario bajo prueba alcance la estabilización.
A.2.6. Envejecimiento
Los luminarios con led deben de ser probadas sin envejecimiento.
A.2.7 Mediciones fotométricas y radiométricas
Las mediciones de flujo luminoso total, temperatura de color correlacionada e índice de rendimiento de color pueden llevarse a cabo con cualquiera de las siguientes opciones:
A.2.7.1 Mediciones mediante gonio-fotómetro
El flujo luminoso total se determina utilizando la fotometría absoluta a partir de la integración de la distribución espacial de la iluminancia, medida por el detector fotométrico, el cual debe cubrir el ángulo sólido completo, donde emite luz el luminario bajo prueba.
Nota:
Para más información sobre medición de fotometría absoluta consultar la NMX-J-507/2-ANCE-2013.
A.2.7.2 Mediciones en esfera integradora
El flujo luminoso total se calcula midiendo la iluminancia en una sola posición y considerando este valor como un promedio válido para toda el área de la superficie interna de la esfera integradora.
 
Con este método se tiene la salida de luz total con una sola medición. Las corrientes de aire deben ser mínimas y la temperatura debe estar sujeta a lo establecido en el párrafo A.2.1.
Para conocer algunas configuraciones típicas de las esferas integradoras, véase el Apéndice E.
A.2.7.3 Mediciones con fotómetros o medidores de cromaticidad.
La temperatura de color correlacionada y el índice de rendimiento de color pueden ser obtenidas por medición directa.
A.3. Procedimiento
Con el circuito de medición establecido en el párrafo A.2.4, tómese, lo más rápidamente posible entre ellas, las lecturas de intensidad de corriente eléctrica, tensión eléctrica, potencia eléctrica y distorsión armónica total en corriente eléctrica en los instrumentos correspondientes, también determínese el flujo luminoso total, temperatura de color correlacionada e índice de rendimiento de color, considerando las correcciones respectivas.
A.3.1. Fuentes de error
Las fuentes de error que intervienen en la medición del flujo luminoso total pueden ser:
·  Espectrales (diferencias entre espectros de emisión de la lámpara patrón y del luminario bajo prueba, reproducción de la curva de respuesta fotométrica del fotodetector, autoabsorción del luminario, reflectancia de la esfera integradora, etc.);
·  Espaciales (luz extraviada, distribuciones espaciales de las lámparas patrón y del luminario bajo prueba, uniformidad espacial de la reflectancia de la esfera integradora, etc.);
·  Instrumentales (tiempo de respuesta del sistema de detección, posicionamiento del fotodetector, errores sistemáticos de los instrumentos de medición, etc.);
·  Valores de referencia (intensidad luminosa, responsividad espectral, responsividad fotométrica, flujo luminoso total, iluminancia, etc.).
A.3.1.1. Las fuentes de error que se pueden presentar cuando se mide con el gonio-fotómetro son
·  La deformación de las partes mecánicas del gonio-fotómetro;
·  La distancia entre la superficie sensible del detector fotométrico y la fuente luminosa;
·  La posición del detector fotométrico;
·  La rotación del gonio-fotómetro;
·  El tamaño del paso angular;
·  Los valores de responsividad espectral, o el valor de responsividad fotométrica, del detector fotométrico;
·  La velocidad angular del gonio-fotómetro;
·  El flujo luminoso no detectado;
·  Las sombras y la luz extraviada.
A.3.1.2. Las fuentes de error que se pueden presentar cuando se mide con la esfera integradora son:
·  La diferencia entre las distribuciones espectrales de la lámpara de referencia y del luminario bajo prueba;
·  La diferencia entre las distribuciones espaciales de los flujos luminosos de la lámpara de referencia y del luminario bajo prueba;
·  La diferencia entre las propiedades de absorción, tamaños, formas y materiales, de la lámpara de referencia y del luminario bajo prueba;
·  El cambio en la reflectancia del recubrimiento de la superficie interna de la esfera integradora;
 
·  Los valores de responsividad espectral, o el valor de responsividad fotométrica, del detector fotométrico;
·  El flujo luminoso total que se obtenga como resultado de la medición debe ser corregido, utilizando para ello los valores más significativos de las correcciones o de los factores de corrección.
A.3.2 Las fuentes de error que intervienen en la medición de la Temperatura de Color Correlacionada pueden ser:
·  Espectrales (diferencias entre espectros de emisión de la lámpara patrón y del luminario bajo prueba, etc.);
·  Instrumentales (tiempo de respuesta del sistema de detección, posicionamiento del fotómetro o medidor de cromaticidad, errores sistemáticos de los instrumentos de medición, etc.);
·  Valores de referencia
Apéndice B
(Normativo)
Medición del flujo luminoso total mantenido
B.1. Acondicionamiento de la prueba
B.1.1. Condiciones Ambientales
La temperatura ambiente del cuarto donde se envejecen los luminarios, para determinar el flujo luminoso total mantenido, debe ser de 25 °C, con una tolerancia de ± 2 °C, medida a la misma altura y a no más de 1 m del luminario de prueba, y una humedad relativa de 65% como máximo.
B.2. Fuente de alimentación
B.2.1. Forma de onda
La distorsión total de armónicas de la tensión eléctrica de alimentación, debe cumplir con lo establecido en el inciso A.1.1.1 del Apéndice A.
B.2.2. Regulación de tensión eléctrica
La tensión eléctrica de alimentación en c. a. (tensión eléctrica RCM) aplicada al luminario bajo prueba, debe cumplir con lo establecido en el inciso A.1.1.2 del Apéndice A.
La tensión eléctrica de alimentación en c. d. aplicada al luminario bajo prueba, debe cumplir con lo establecido en el inciso A.1.1.2 del Apéndice A.
B.2.3. Tensiones eléctricas de prueba
La tensión eléctrica de prueba debe cumplir con lo establecido en el párrafo A.2.3 del Apéndice A.
B.3. Posición y ubicación del luminario
El luminario bajo prueba debe ser instalado en la posición especificada en el párrafo A.2.2 del Apéndice A.
El estante de prueba debe diseñarse con la menor cantidad de componentes estructurales, para dejar espacio suficiente entre cada luminario bajo prueba, que permita el flujo de aire entre ellos y alcanzar las temperaturas de prueba.
B.4. Medición del flujo luminoso total mantenido
B.4.1. Duración de la prueba
El tiempo que debe durar la prueba de envejecimiento del luminario con led, para la medición de mantenimiento del flujo luminoso total y temperatura de color correlacionada, deberá ser de 6 000 h.
B.4.2. Registro de fallas
Se debe verificar por observación visual o supervisión automática las fallas de los luminarios con led en un intervalo de tiempo no mayor a 30 h.
En caso de falla se debe investigar que la originó, para asegurar que es una falla atribuible al luminario con led y que no es causado por funcionamiento inadecuado de los instrumentos o equipos auxiliares utilizados en la prueba.
B.4.3. Medición del flujo luminoso total y la temperatura de color correlacionada
 
Al término del tiempo establecido en el inciso B.4.1, se debe medir el flujo luminoso total y la temperatura de color correlacionada del luminario bajo prueba, de acuerdo con lo establecido en el Apéndice A.
Apéndice C
(Normativo)
Prueba de resistencia al choque térmico y a la conmutación
C.1. Prueba de ciclos de choque térmico
El luminario bajo la prueba de choque térmico no debe estar energizado.
C.1.1. Número de ciclos de choque térmico
Al final de cada ciclo de choque térmico, se debe iniciar inmediatamente el otro ciclo, hasta completar 5 ciclos.
C.1.2. Ciclos de choque térmico
El ciclo comienza introduciendo el luminario en un gabinete con una temperatura de -10 °C por un periodo de 1 h. Mover inmediatamente el luminario dentro de otro gabinete, el cual debe tener una temperatura de +50 °C durante 1 h.
C.2. Prueba de conmutación
Esta prueba se realiza después de la prueba de ciclos de choque térmico, el luminario debe ser instalado en la posición especificada por el fabricante, cuando no se especifique una posición o si existe más de una posición, el luminario debe probarse en la posición en la que se utilice en la aplicación, en el estante de prueba, el cual debe diseñarse con la menor cantidad de componentes estructurales, para dejar espacio suficiente entre cada luminario bajo prueba, que permita el flujo de aire entre ellos.
La temperatura ambiente para la prueba de conmutación, debe ser de 25 °C ± 1 °C, y el luminario bajo prueba deben estar energizados, de acuerdo con lo establecido en los incisos A.1.1 y A.2.3 del Apéndice A.
C.2.1. Número de ciclos de operación
El número de ciclos de operación, debe ser igual a la mitad de la vida nominal declarada del producto en horas. (Ejemplo: 20 000 ciclos si la vida nominal del luminario es de 40 000 h).
C.2.2. Ciclos de operación
Los luminarios bajo pruebas deben operarse de acuerdo con la secuencia siguiente:
Encender los luminarios durante 30 segundos y mantenerlos apagados por 30 segundos, hasta completar el número de ciclos de operación establecido en C.2.1.
C.2.3. Registro de fallas
Se deben verificar y registrar por observación visual o supervisión automática las fallas de los luminarios en intervalos de tiempo máximos de 10 h entre cada registro, y hasta completar el número de ciclos de operación establecido en C.2.1.
Apéndice D
(Normativo)
Medición del flujo luminoso de deslumbramiento máximo y del porcentaje de flujo luminoso en la
zona.
D.1. Instrumentos y equipo
Los aparatos e instrumentos de medición deben cumplir con lo establecido en los incisos A.1.1 y A.1.2 del Apéndice A.
D.1.1. Gonio-fotómetro
Los pasos angulares del mecanismo de posicionamiento del gonio-fotómetro deben cumplir con lo establecido en el inciso A.1.3.3 del Apéndice A.
D.1.2. Distancia de prueba
La distancia entre el luminario bajo prueba y el detector fotométrico debe ser como mínimo cinco veces la dimensión máxima de la abertura luminosa del luminario bajo prueba y no menor que 3 m.
D.1.3. Calibración
 
El sistema de medición, deben proveer trazabilidad metrológica a unidades del sistema internacional de unidades, como se establece en el inciso A.1.4 del Apéndice A.
D.2. Acondicionamiento y preparación del luminario bajo prueba
D.2.1. Posición
El luminario bajo prueba debe ser instalado en la posición especificada en el inciso A.2.2 del Apéndice A.
Las partes ópticas del espécimen bajo prueba deben estar limpias, excepto en el caso donde la depreciación sea la razón para medirlo en las pruebas fotométricas.
D.2.2. Montaje
El luminario bajo prueba debe colocarse en el centro del gonio-fotómetro de acuerdo a lo establecido en el párrafo D.2.1, considerando el centro del luminario bajo prueba (o el centro geométrico de los centros de las fuentes de luz led del luminario bajo prueba), para obtener las mediciones de distribución de intensidad luminosa en los ángulos verticales específicos.
Los soportes que se utilicen en el montaje del luminario bajo prueba en el gonio-fotómetro, deben cumplir con las condiciones térmicas para el montaje establecidas en el inciso A.2.1.1 del Apéndice A.
Existen dos casos generales que deben considerarse (véase los gráficos de la Figura D1.):
a)    Si el centro de luz del luminario bajo prueba está por arriba de la apertura del reflector o del plano de mayor apertura de emisión de luz (si se emplea más de una fuente de luz led, se considera el centro geométrico de las fuentes véase la Figura D1, gráfico C. El luminario debe montarse sobre el gonio-fotómetro de manera que el centro geométrico de la apertura del reflector o el plano de la mayor apertura de emisión de luz coincida con el centro del Gonio-fotómetro, véase la Figura D1, gráfico A
b)    Si el centro del luminario bajo prueba, está por debajo de la apertura del reflector o el plano de mayor apertura de emisión de luz, el luminario debe montarse sobre el gonio-fotómetro de manera que el centro de luz del luminario bajo prueba esté en el centro del gonio-fotómetro, véase la Figura D1, gráfico B.
 

D.2.3. Tensión eléctrica de prueba
La tensión eléctrica de prueba debe cumplir con lo establecido en el inciso A.2.3 del Apéndice A.
D.2.4. Estabilización
La estabilización del luminario bajo prueba debe cumplir con lo indicado en el inciso A.2.5 del Apéndice A.
D.2.5. Envejecimiento
El luminario bajo prueba debe probarse como lo establece el inciso A.2.6 del Apéndice A.
D.3. Condiciones del laboratorio
D.3.1. Condiciones ambientales
Las pruebas y las mediciones deben cumplir con lo establecido en el inciso A.2.1 del Apéndice A.
D.3.2. Luz dispersa
Deben establecerse condiciones para eliminar la luz dispersa de otras fuentes o reflexiones, es decir, cualquier otra luz que llegue al detector fotométrico que no sea directamente la del luminario bajo prueba que va a medirse. La presencia de luz dispersa puede detectarse mediante el bloqueo de la luz directa en el luminario bajo prueba.
Para minimizar los efectos de la luz dispersa se recomienda que las paredes, techo y el suelo del cuarto de pruebas fotométricas se pinten de color negro opaco o se cubran con tela color negro mate, tal como el terciopelo negro. Además, la interposición de pantallas negras que protejan completamente el detector fotométrico, excepto en la dirección de la fuente de prueba, ayuda a bloquear la luz dispersa.
Cualquier luz dispersa remanente puede medirse realizando una prueba completa con la luz directa del luminario bajo prueba, completamente protegido desde el detector fotométrico. Esta luz puede restarse de los datos, tomando en cuenta las variaciones de luz dispersa para cada ángulo vertical en cada plano medido.
D.3.3. Limpieza de componentes ópticos.
Todos los espejos y censores del gonio-fotómetro deben estar completamente limpios antes de efectuar cualquier medición.
D.4. Condiciones generales del método de prueba.
El luminario bajo prueba, debe medirse aplicando fotometría absoluta, en la cual se mide la distribución de intensidad luminosa total que emite el luminario, sin separar la fuente luminosa del mismo y sin retirar ningún accesorio que intervenga en su funcionamiento.
Nota:
Para más información sobre medición de fotometría absoluta consultar la NMX-J-507/2-ANCE-2013.
D.5. Procedimiento de prueba.
D.5.1. Sistema de Clasificación del Luminario (SCL)
El SCL define la distribución de la luz de un luminario dentro de tres ángulos sólidos principales. Estos se dividen posteriormente en 10 ángulos sólidos secundarios. El SCL puede describirse como porción de lúmenes del luminario para cada ángulo sólido principal y secundario. El SCL cuantifica la distribución de luz enfrente del luminario, atrás del luminario y arriba del luminario.
Como se ilustra en la Figura D2, los tres ángulos sólidos principales que se definen por el SCL son los siguientes:
a)    Luz enfrente (F) o lado calle;
b)    Luz atrás (B) o lado casa;
c)     Luz arriba (U).
 

 
D.5.3. Medición del flujo luminoso de deslumbramiento para luz enfrente (F) o lado calle
El flujo luminoso de deslumbramiento para luz enfrente (F) o lado calle, se determina a partir de la integración de la distribución espacial de la iluminancia, medida por el detector fotométrico, en cada uno de los cuatro ángulos sólidos secundarios verticales, los cuales se definen a continuación y se muestran en la Figura D4.
a)    Angulo sólido secundario bajo (FL): porción de lúmenes del luminario bajo prueba entre 0 y 30º verticales enfrente del luminario. Esta es la luz que se emite directamente por debajo del luminario de 0,0 a 0,6 alturas de montaje
b)    Angulo sólido secundario medio (FM): porción de lúmenes del luminario bajo prueba entre 30 y 60º verticales enfrente del luminario. Esta es la luz que se emite de 0,6 a 1,7 alturas de montaje del luminario
c)     Angulo sólido secundario alto (FH): porción de lúmenes del luminario bajo prueba entre 60 y 80º verticales enfrente del luminario. Esta es la luz que se emite de 1,7 a 5,7 alturas de montaje del luminario
d)    Angulo sólido secundario muy alto (FVH): porción de lúmenes del luminario bajo prueba entre 80 y 90º verticales enfrente del luminario. Esta es la luz que se emite por arriba de 5,7 alturas de montaje del luminario.

D.5.4. Medición del flujo luminoso de deslumbramiento para luz atrás (B) o lado casa
El flujo luminoso de deslumbramiento para luz atrás (B) o lado casa, se determina a partir de la integración de la distribución espacial de la iluminancia, medida por el detector fotométrico, en cada uno de los cuatro ángulos sólidos secundarios verticales, los cuales se definen a continuación y se muestran en la Figura D5
a)    Angulo sólido secundario bajo (BL): porción de lúmenes del luminario bajo prueba entre 0° y 30º verticales atrás del luminario. Esta es la luz que se emite directamente por debajo del luminario de 0,0 a 0,6 alturas de montaje
b)    Angulo sólido secundario medio (BM): porción de lúmenes del luminario bajo prueba entre 30 y 60º verticales atrás del luminario. Esta es la luz que se emite de 0,6 a 1,7 alturas de montaje del luminario
c)     Angulo sólido secundario alto (BH): porción de lúmenes del luminario bajo prueba entre 60 y 80º verticales atrás del luminario. Esta es la luz que se emite de 1,7 a 5,7 alturas de montaje del luminario
d)    Angulo sólido secundario muy alto (BVH): porción de lúmenes del luminario bajo prueba entre 80 y 90º verticales atrás del luminario. Esta es la luz que se emite por arriba de 5,7 alturas de montaje del luminario.
 

D.5.5. Medición del flujo luminoso de deslumbramiento para luz arriba
El flujo luminoso de deslumbramiento para luz arriba, se determina a partir de la integración de la distribución espacial de la iluminancia, medida por el detector fotométrico, en cada uno de los dos ángulos sólidos secundarios verticales, los cuales se definen a continuación y se muestran en la Figura D6:
a)    Angulo sólido secundario bajo (UL): porción de lúmenes del luminario bajo prueba entre 90 y 100º verticales y 360º grados alrededor del luminario. La luz que se emite en o ligeramente por encima de 90º impactará el resplandor del cielo al observarla lejos de la ciudad
b)    Angulo sólido secundario alto (UH): porción de lúmenes del luminario bajo prueba entre 100 y 180º verticales y 360º alrededor del luminario. La luz que se emite en ángulos mayores a 100º impactará el resplandor del cielo directamente sobre la ciudad.

D.5.6. Las fuentes de error que se pueden presentar cuando se mide con el gonio-fotómetro son las mismas que se mencionan en el inciso A.3.1.1 del Apéndice A.:
El flujo luminoso de deslumbramiento para cada uno de los ángulos secundarios verticales que se obtengan como resultado de la medición debe ser corregido, utilizando para ello los valores más significativos de las correcciones o de los factores de corrección.
 
D.6. Informe de valores obtenidos
Los resultados de los valores obtenidos de la distribución del flujo luminoso en los ángulos sólidos primarios y secundarios, se sugiere que se muestre como lo indica la Tabla D1.
Tabla D1. Evaluación de la distribución del flujo luminoso del luminario
Sistema de
Clasificación del
Luminario (SCL)
Flujo luminoso en la zona
[lm]
[%]
Luz enfrente o lado calle
FL (0 a 30°)
 
 
FM (30 a 60°)
 
 
FH (60 a 80°)
 
 
FVH (80 a 90°)
 
 
Luz atrás o lado casa
BL (0 a 30°)
 
 
BM (30 a 60°)
 
 
BH (60 a 80°)
 
 
BVH (80 a 90°)
 
 
Luz arriba
UL (90 a 100°)
 
 
UH (100 a 180°)
 
 
 
Apéndice E
(Normativo)
Método de proyección de flujo luminoso para luminarios con led.
E1. Objetivo
Este método tiene como objeto determinar el mantenimiento de flujo luminoso, a las 6 000 h, para los luminarios con led para iluminación general de vialidades y áreas exteriores públicas, que cumplan individualmente, con los valores especificados en la Tabla 4.
E.2 Procedimiento
Después de haber concluido con el periodo de valoración a las 3 000 h de prueba, de acuerdo a lo establecido en el presente Proyecto de Norma Oficial Mexicana, se deben utilizar los valores obtenidos de flujo luminoso para los tiempos de prueba 0 h, 1 000 h, 2 000 h y 3 000 h de los 2 luminarios que integran la muestra, posteriormente se obtiene el valor promedio de flujo luminoso en cada uno de los tiempos mencionados y se elabora una Tabla de datos como la que se muestra a continuación:
Tabla E1 - Valores de flujo luminoso obtenidos durante la prueba
Tiempo de prueba
[h]
Muestra No. 1 Flujo
luminoso [lm]
Muestra No. 2 Flujo
luminoso [lm]
Promedio de flujo
luminoso [lm]
0
 
 
 
1 000
 
 
 
2 000
 
 
 
3 000
 
 
 
 
Los registros de los valores obtenidos de las mediciones y los cálculos realizados, deben tener tres dígitos decimales.
Utilizando una hoja de cálculo y auxiliándonos de los valores obtenidos del promedio de flujo luminoso cada 1 000 h de prueba, tal como se especifica en el apartado anterior, se realiza una gráfica de dispersión con líneas rectas. Una vez obtenida dicha gráfica, se procede a obtener un ajuste de curva exponencial descrito por la siguiente ecuación:

Donde:
t: tiempo de prueba, [h].
(t): flujo luminoso promedio, medido en el tiempo t, [lm].
: constante de proyección de la curva de ajuste.
: constante de decrecimiento de la proyección de la curva de ajuste.
Después de calcular las constantes de a y b del ajuste de curva o de forma manual por el método de mínimos cuadrados, se debe extrapolar para obtener los valores de flujo luminoso hasta 6 000 h y verificar que la proyección muestra un comportamiento decreciente.
Para considerar un resultado satisfactorio es necesario que el resultado de la proyección cumpla con los valores establecidos en la Tabla 4, a las 6 000 h y se demuestre un comportamiento decreciente.
Únicamente si no se demuestra un comportamiento decreciente y se cumple con los valores establecidos en la Tabla 4, a las 6 000 h, se debe consultar a la Dependencia, quien será la encargada de emitir la opinión correspondiente al respecto.
Apéndice F
(Informativo)
Recomendaciones para la medición con esfera integradora
F.1. Configuración de la esfera integradora.
De acuerdo al tipo de distribución de luz del luminario con led, se recomienda utilizar las siguientes geometrías en la esfera integradora:
a)    La configuración 4p se utiliza para las mediciones fotométricas de luminarios con led para alumbrado de vialidades y para instalarse en exteriores tipo poste, techo y plafón (véase la Figura F1.)
b)    La configuración 2p se utiliza para las mediciones fotométricas de luminarios con led para alumbrado de exteriores que se instalen en pared, esta configuración también puede ser usada para luminarios demasiado grandes para la configuración 4p (véase la Figura F2.).
Figura F1. Configuración de la esfera integradora 4
 

Figura F2. Configuración de la esfera integradora 2

15. Bibliografía
·  NOM-031-ENER-2012, Eficiencia energética para luminarios con diodos emisores de luz (leds) destinados a vialidades y áreas exteriores públicas. Especificaciones y métodos de prueba.
·  NMX-J-610-3-2-ANCE-2010, Compatibilidad electromagnética (EMC) parte 3-2: Límites para las emisiones de corriente armónica de aparatos con corriente de entrada 16 A por fase.
 
·  NMX-J-619-ANCE-2014, Iluminación definiciones y terminología.
·  NMX-Z-013-SCFI-2015, Guía para la estructuración y redacción de Normas.
·  ANSI C78.377-2015, Specifications for the Chromaticity of Solid-state Lighting Products
·  IES LM-79-08, Electrical and Photometric Measurements of Solid-State Lighting Products.
·  IES LM-80-08, Approved Method: Measuring Lumen Maintenance of Led Light Sources.
·  IESNA TM-15-11, Luminaire Classification System for Outdoor Luminaires.
16. Transitorios
Primero. Este proyecto de Norma Oficial Mexicana, una vez publicado como Norma Oficial Mexicana definitiva, en el Diario Oficial de la Federación y a su entrada en vigor, cancela y sustituye a la NOM-031-ENER-2012, Eficiencia energética para luminarios con diodos emisores de luz (leds) destinados a vialidades y áreas exteriores públicas. Especificaciones y métodos de prueba, que fue publicada en el Diario Oficial de la Federación el 6 de noviembre de 2012.
Segundo. Este proyecto de Norma Oficial Mexicana, una vez publicado como Norma Oficial Mexicana definitiva, en el Diario Oficial de la Federación, entra en vigor 90 días naturales después de su publicación y a partir de esa fecha todos los luminarios con led comprendidos dentro del campo de aplicación, deben certificarse con base en la misma.
Tercero. Los certificados de conformidad final vigentes de la NOM-031-ENER-2012, que hayan sido emitidos con anterioridad a la fecha de entrada vigor del presente proyecto de Norma Oficial Mexicana, continuarán vigentes hasta que concluya su término, en el entendido que los luminarios con led para iluminación de vialidades y áreas exteriores públicas pueden comercializarse hasta agotar el inventario al amparo del certificado y dichos certificados no podrán utilizarse para ampliar nuevos modelos en la misma familia.
Cuarto. No es necesario esperar el vencimiento del certificado de cumplimiento con la NOM-031-ENER-2012 para obtener el certificado de cumplimiento con este proyecto de Norma Oficial Mexicana, una vez publicado como Norma Oficial Mexicana definitiva, cuando así le interesa al comercializador.
Quinto. Los laboratorios de prueba y los organismos de certificación de producto pueden iniciar los trámites de acreditación y aprobación, una vez que el presente proyecto de Norma Oficial Mexicana se publique en el Diario Oficial de la Federación como Norma Oficial Mexicana definitiva.
Sufragio Efectivo. No Reelección.
Ciudad de México, a 27 de noviembre de 2018.- El Presidente del Comité Consultivo Nacional de Normalización para la Preservación y Uso Racional de los Recursos Energéticos (CCNNPURRE) y Director General de la Comisión Nacional para el Uso Eficiente de la Energía, Odón Demófilo de Buen Rodríguez.- Rúbrica.