CIRCULAR Modificatoria 11/19 de la Única de Seguros y Fianzas.

Al margen un sello con el Escudo Nacional, que dice: Estados Unidos Mexicanos.- SHCP.- Secretaría de Hacienda y Crédito Público.- Comisión Nacional de Seguros y Fianzas.

CIRCULAR MODIFICATORIA 11/19 DE LA ÚNICA DE SEGUROS Y FIANZAS
(Anexos 6.3.3., 6.3.7., 6.3.8. y 6.3.9.)
La Comisión Nacional de Seguros y Fianzas, con fundamento en lo dispuesto en los artículos 366, fracción II, 372, fracciones V, VI y XLII, 373 y 381 de la Ley de Instituciones de Seguros y de Fianzas, y
CONSIDERANDO
Que en términos de lo establecido en los artículos 232, 233, 234 y 236 de la Ley de Instituciones de Seguros y de Fianzas, las Instituciones de Seguros deben calcular mensualmente un requerimiento de capital de solvencia de conformidad con la fórmula general que al efecto determine la Comisión Nacional de Seguros y Fianzas.
Que el artículo 235, fracciones IV y VI de la citada Ley, establece que el requerimiento de capital de solvencia de las instituciones, entre otros debe considerar los riesgos de suscripción de los seguros de vida, seguros de accidentes y enfermedades y los seguros de daños, así como el riesgo del mercado, riesgo descalce entre activos y pasivos y el riesgo de crédito.
Que con la finalidad de mejorar la medición del riesgo de mercado, así como de incentivar una adecuada gestión del mismo, se considera conveniente ajustar el modelo para la determinación de las variables de pérdidas de los activos sujetos a riesgo de mercado, previstas en las Disposiciones 6.3.2 a 6.3.6, 6.5.2, 6.5.18, 6.6.2 y 6.6.9 de la Circular Única de Seguros y Fianzas, y cuya metodología de cálculo se especifica en el Anexo 6.3.3. Lo anterior mediante una simplificación del modelo y de las bases técnicas que permiten una incorporación directa de la información de mercado, generando un mayor apego a valuaciones de mercado, así como un uso más eficiente de los parámetros del mismo para la medición del riesgo.
Que el cálculo de las variables de pérdida de los seguros de vida, seguros de accidentes y enfermedades y seguros de daños, previstas en los Capítulos 6.2 y 6.3 de la Circular Única de Seguros y Fianzas y cuya metodología de cálculo se especifica en los Anexos 6.3.7, 6.3.8 y 6.3.9, deben ser consistentes con la modelación del riesgo de mercado considerada para los activos.
Por lo anteriormente expuesto, la Comisión Nacional de Seguros y Fianzas ha resuelto expedir la siguiente modificación a la Circular Única de Seguros y Fianzas en los siguientes términos:
CIRCULAR MODIFICATORIA 11/19 DE LA ÚNICA DE SEGUROS Y FIANZAS
(Anexos 6.3.3., 6.3.7., 6.3.8. y 6.3.9.)
ÚNICA. - Se modifican los Anexos 6.3.3., 6.3.7., 6.3.8. y 6.3.9. de la Circular Única de Seguros y Fianzas.
TRANSITORIA
ÚNICA. - La presente Circular Modificatoria entrará en vigor al día siguiente de su publicación en el Diario Oficial de la Federación.
Lo anterior se hace de su conocimiento, con fundamento en los artículos 366, fracción II, 372, fracciones V, VI y XLII, 373 y 381 de la Ley de Instituciones de Seguros y de Fianzas.
Atentamente
 
Ciudad de México, 31 de mayo de 2019.- El Presidente de la Comisión Nacional de Seguros y Fianzas, Ricardo Ernesto Ochoa Rodríguez.- Rúbrica.
 
 
Los resultados que se obtienen se derivan de modelar una serie de instrumentos base, los cuales se especifican en la lista presentada a continuación. Los índices utilizados en esta sección, para cada uno de los instrumentos descritos, se refieren a dicha lista.
II.1. Instrumentos de referencia.
       Se tienen los siguientes instrumentos primarios a partir de los cuales se modela el riesgo financiero. Se dividen en tres grandes grupos: tasas de interés, tipos de cambio e índices financieros.
a)   Curvas de Tasas de Interés.
1)   Bonos-M;
2)   UMS;
3)   UDIBONOS; y
4)   T-Bills.
b)   Tipos de Cambio.
1)   Dólar, y
2)   UDI.
c)   Índices Financieros.
1)   Mercado de Capitales Nacional:
i)    Servicios y Bienes de Consumo Básico;
ii)    Materiales;
iii)   Industrial;
iv)   Servicios Financieros;
v)   Servicios de Telecomunicaciones;
vi)   Servicios y Bienes de Consumo no Frecuente;
vii)  Índice de Precios y Cotizaciones;
viii) FIBRAS;
ix)   Índice de bonos soberanos de México, e
x)   Índice de Vivienda de Sociedad Hipotecaria Federal.
2)   Mercado de Capitales Extranjero:
i)    S&P Global 1200.
 
II.2.  Instrumentos de deuda emitidos o respaldados por el Gobierno Federal.
A continuación se enumeran los resultados utilizados para calcular la distribución de pérdidas de los instrumentos a los que se refiere el inciso a) y los instrumentos de deuda a los que se refiere el inciso l) de la Lista de Instrumentos Financieros de la Sección I.
Por simplicidad de notación, se omiten los subíndices IF del total de instrumentos (en los casos que no genere confusión).
En todos los resultados se considera el mismo vector formado por variables aleatorias normales estándar independientes.
1.   Bonos cupón cero expresados en su moneda de origen. El precio de un bono cupón cero referente a la curva l expresado en su moneda al tiempo t, con fecha de maduración T se calcula como
 

 
 
 

 
 
 
 
ANEXO 6.3.7.
MODELO Y BASES TÉCNICAS PARA LA DETERMINACIÓN DE LA VARIABLE DE PÉRDIDAS DE LOS
SEGUROS DE VIDA DE CORTO PLAZO (LP,VCP), PARA EFECTOS DEL CÁLCULO DEL RCS CONFORME
A LA FÓRMULA GENERAL.
Para efectos de lo establecido en los Capítulos 6.2 y 6.3 de las presentes Disposiciones, en particular, respecto a lo referido en las Disposiciones 6.3.2 y 6.3.7, las instituciones de seguros deberán calcular la variable aleatoria de pérdida de los pasivos técnicos correspondiente a los seguros de vida de corto plazo, LP,VCP. La LP,VCP constituye uno de los elementos para el cálculo del Requerimiento de Capital por Riesgos Técnicos y Financieros de Seguros, RCTyFS de la Fórmula General a que se refiere el artículo 236 de la Ley de Instituciones de Seguros y de Fianzas para el cálculo del RCS. La variable de pérdida, LP,VCP se calculará conforme a la metodología e información que se detalla en el presente anexo.
I.     Introducción.
       En este documento se describirá la metodología requerida para calcular la distribución de la variable aleatoria de pérdida LP,VCP, relacionada con los seguros de vida de corto plazo, que se requiere para el cálculo del RCS. Se considerarán como seguros de corto plazo, todos aquéllos cuya vigencia de contratación sea menor a un año. La variable aleatoria de pérdida para los seguros de vida de corto plazo, LP,VCP, se calculará como

       donde CVCP corresponde al catálogo de clasificaciones para los seguros de vida de corto plazo que se detalla en el "Manual de datos para el cálculo del RCS de los seguros de vida de corto Plazo", el "Manual de datos para el cálculo del RCS de la operación de reaseguro tomado" y el "Manual de datos para el cálculo del RCS de los esquemas de reaseguro", mismos que se darán a conocer a través de la Página Web de la Comisión, que consideran como mínimo, los siguientes criterios de clasificación.
Cuadro 1: Tabla de criterios de clasificación.
1
Criterio de clasificación
2
Edad
3
Moneda o unidad de cuenta
4
Tipo de seguro
5
Beneficios contratados
6
Rango de beneficios contratados
7
Cobertura beneficio básico
8
Cobertura pérdidas orgánicas
9
Cobertura muerte accidental
10
Cobertura muerte colectiva
11
Cobertura incapacidad o invalidez
12
Cobertura otros
13
Cobertura supervivencia
 
       Cada grupo g=g(e,s,m,ts,b,r,c1,c2) está formado por aquellos siniestros que pagaron la cobertura c1 y c2 en el periodo de simulación (el caso donde c1=c2 corresponde a los siniestros que pagaron una sola cobertura) provenientes de asegurados/certificados que coinciden en edad, sexo, moneda, tipo de seguro, beneficios contratados y rango de los beneficios. La variable LP,VCP se calculará de acuerdo a la siguiente fórmula:

 
 

 
 
ANEXO 6.3.8.
MODELO Y BASES TÉCNICAS PARA LA DETERMINACIÓN DE LA VARIABLE DE PÉRDIDAS DE LOS
SEGUROS DE VIDA DE LARGO PLAZO (LP,VLP), PARA EFECTOS DEL CÁLCULO DEL RCS
CONFORME A LA FÓRMULA GENERAL.
Para efectos de lo establecido en los Capítulos 6.2 y 6.3, de las presentes Disposiciones, en particular, respecto a lo referido en las Disposiciones 6.3.2 y 6.3.8, las instituciones de seguros deberán calcular la variable aleatoria de pérdida de los pasivos técnicos correspondientes a los seguros de vida de largo plazo, LP,VLP. La variable aleatoria mencionada constituye uno de los elementos para el cálculo del Requerimiento de Capital por Riesgos Técnicos y Financieros de Seguros, RCTyFS, de la Fórmula General que se refiere el artículo 236 de la Ley de Instituciones de Seguros y de Fianzas para el cálculo del RCS. La variable de pérdida LP,VLP se calculará conforme la metodología e información que se detalla en el presente anexo.
I.     Introducción.
       En este documento se describirá la metodología requerida para calcular la distribución de la variable aleatoria de pérdida LP,VLP, relacionada con los seguros de vida de largo plazo, que se requiere para el cálculo del RCS. Se considerarán como seguros de largo plazo, todos aquéllos cuya vigencia de contratación sea mayor a un año. La variable aleatoria de pérdida LP,VLP contemplará los riesgos técnicos y financieros para los siguientes tipos de planes:
a)   Temporal;
b)   Vitalicio;
c)    Dotal;
d)   Renta o pensión privada, y
e)   Flexible o de inversión, es decir, aquellos seguros de vida de largo plazo en los que existe la constitución de un fondo conformado por el ahorro del asegurado, y el pago de la prima puede realizarse con cargo a dicho fondo.
       La variable aleatoria de pérdida LP,VLP se calculará como
 
a)   Para los planes correspondientes a los incisos a), b) y c) listados en esta sección, los criterios son:
1)   Edad;
2)   Sexo;
3)   Antigüedad;
4)   Vigencia restante;
5)   Moneda o unidad de cuenta;
6)   Suma asegurada beneficio básico;
7)   Suma asegurada pérdidas orgánicas;
8)   Suma asegurada muerte accidental;
9)   Suma asegurada muerte accidental colectiva;
10)  Suma asegurada incapacidad o invalidez;
11)  Suma asegurada otros;
12)  Suma asegurada supervivencia;
13)  Valores de rescate;
14)  Prima de tarifa anual;
15)  Gastos de adquisición;
16)  Gastos de administración;
17)  Tipo de caducidad;
b)   Para los planes correspondientes al inciso d) de esta sección, se considerarán adicionalmente a los criterios del punto a), los siguientes:
1)   Período de acumulación para rentas o pensiones privadas;
2)   Modalidad de rentas, y
3)   Beneficio anualizado del pago de rentas, y
c)   Para los planes correspondientes al inciso e) de esta sección, se considerarán adicionalmente a los criterios del punto a), los siguientes:
1)   Fondo en administración, y
2)   Tasa garantizada.
       En caso de existir contratos de reaseguro que amparen el total de los siniestros del grupo g, se utilizarán los resultados de la sección II.3.
       El valor presente se calcula de acuerdo a lo establecido en el Anexo 6.3.3.
II.     Resultados Principales.
       En esta sección se resumen los principales resultados para el cálculo de la variable aleatoria de pérdida de los pasivos técnicos, LP,VLP.
II.1.  Cálculo de la variable de pérdidas.
       De manera general, se considera una póliza/certificado con edad x, antigüedad a, tipo de caducidad c, moneda m y vigencia restante r. Consideramos la edad de la póliza e=e(x,a,c), la cual utilizaremos como notación general para indexar las probabilidades de cada uno de los decrementos. Los siguientes resultados contienen todos los casos descritos en la sección I con excepción de los seguros flexibles o de inversión señalados en el inciso e) de la citada sección.
 
 
 
 
 
ANEXO 6.3.9.
MODELO Y BASES TÉCNICAS PARA LA DETERMINACIÓN DE LA VARIABLE DE PÉRDIDAS DE LOS
SEGUROS DE DAÑOS EN LOS RAMOS DE RESPONSABILIDAD CIVIL Y RIESGOS PROFESIONALES,
MARÍTIMO Y TRANSPORTES, INCENDIO, AUTOMÓVILES, CRÉDITO, CAUCIÓN Y DIVERSOS, Y DE
LOS SEGUROS DE ACCIDENTES Y ENFERMEDADES, PARA EFECTOS DEL CÁLCULO DEL RCS
CONFORME A LA FÓRMULA GENERAL.
Para efectos de lo establecido en los Capítulos 6.2 y 6.3 de las presentes Disposiciones, en particular, respecto a lo referido en las Disposiciones 6.3.2 y 6.3.9 a 6.3.16, las instituciones de seguros deberán calcular las variables aleatorias de pérdida de los pasivos técnicos correspondiente a los Seguros de Daños y Accidentes y Enfermedades, (en adelante, "Seguros de No-Vida"), LP,D,Rm y LP,AyE,Rm (en adelante, LP,NV,Rm ). La LP,NV,Rm constituye uno de los elementos para el cálculo del Requerimiento de Capital por Riesgos Técnicos y Financieros de Seguros, RCTyFS de la fórmula general a que se refiere el artículo 236 de la Ley de Instituciones de Seguros y de Fianzas para el cálculo del RCS. La variable de pérdida LP,NV,Rm se calculará conforme a la metodología e información que se detalla en el presente anexo.
I.     Introducción.
       La variable aleatoria de pérdida de los Seguros de No-Vida LP,NV,Rm para cada uno de los ramos de seguro se calculará como:

donde:
·    PNV,Rm(0) es el valor del pasivo técnico a retención al tiempo 0 para el ramo Rm que se detalla en el "Manual de datos para el cálculo del RCS de las reservas técnicas";
·    GNV,Rm(0,1) es el valor total a retención de las reclamaciones pagadas durante el periodo (0,1). Se determina conforme a la ecuación (3);
·    PNV,Rm(1) es el valor presente del pasivo técnico a retención al tiempo 1. Se determina conforme a la ecuación (2), y
·    NV y Rm se definen conforme al Cuadro 1.
Cuadro 1: Subíndices por ramo o tipo de seguro.
Índice NV, Rm
Ramo o Tipo de Seguro
Disposición
D, RC
Responsabilidad civil y riesgos profesionales.
6.3.9
D, MyT
Marítimo y Transporte.
6.3.10
D, I
Incendio.
6.3.11
D, A
Automóviles.
6.3.12
D, C
Crédito.
6.3.13
D, CA
Caución.
6.3.14
D, D
Diversos.
6.3.15
AyE, AP
Accidentes Personales.
6.3.16
AyE, GM
Gastos Médicos.
6.3.16
AyE, H
Salud.
6.3.16
 
       Para cada ramo NV,Rm, la variable de pérdidas se desagregará de la siguiente manera

       donde CCRm es el catálogo formado por los diferentes criterios de clasificación (en adelante "protecciones") que se detallan en el "Manual de datos para el cálculo del RCS de los seguros de daños", el "Manual de datos para el cálculo del RCS de los seguros de accidentes y enfermedades", el "Manual de datos para el cálculo del RCS de la operación de reaseguro tomado" y el "Manual de datos para el cálculo del RCS de los esquemas de reaseguro", mismos que se darán a conocer a través de la Página Web de la Comisión.
       La pérdida LNV,Rm,r se calculará entonces de acuerdo a la siguiente fórmula:
 

donde:
     PNV,Rm,r(0) es el valor del pasivo técnico a retención al tiempo 0 para la protección r;
     GNV,Rm,r(0,1) es el valor total a retención de las reclamaciones pagadas de la protección r durante el periodo (0,1). Se determina conforme a lo propuesto en las secciones II.1 y II.2;
     PNV,Rm(1) es el valor presente del pasivo técnico a retención al tiempo 1 para la protección r. Se determina conforme a lo propuesto en las secciones II.1 y II.2.
Cabe mencionar que se cumplen las siguientes relaciones:

       y

       con fNV,Rm el factor de ajuste del ramo NV,Rm definida en la ecuación (7).
       En caso de existir contratos de reaseguro que amparen el total de los siniestros de la protección r, se utilizarán los resultados de la sección II.3.
       El valor presente se calcula de acuerdo a lo establecido en el Anexo 6.3.3.
II.     Resultados para el cálculo de LNV,Rm,r.
       En esta sección se resumen los principales resultados para el cálculo de la variable aleatoria LNV,Rm,r.
II.1. Seguro directo.
             Para los contratos del seguro directo, se cumplen las siguientes relaciones para cada grupo g.
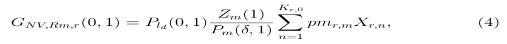
1.   Gasto en [0,1). Se calculará utilizando la siguiente expresión:


donde:
·    Zm(d) es una variable aleatoria que representa el tipo de cambio de la moneda m a pesos al tiempo d ;
·    Pld(·) representa el precio de un bono cupón cero del mercado doméstico y Pm(·) representa el precio de un bono cupón cero en el mercado m.
·    d es la fracción del año donde se pagan los siniestros ocurridos, en general se considerará que d=½;
·    Kr,0 es una variable aleatoria Poisson mixta de parámetro aleatorio hr que representa el número de pagos que la institución realizará para la protección r, en el periodo (0,1);
·    hr es una variable aleatoria con media r que representa la frecuencia de siniestralidad de la protección r;
·    pmr.m es la prima promedio de la institución para la protección r expresada en moneda m;
·    Xr,n es una variable aleatoria que representa el índice de siniestralidad del n-ésimo monto pagado para la protección r en el periodo (0,1), yPoisson mixta de parámetro aleatorio hr que representa el número de pagos que la institución realizará para la protección r, en el periodo (0,1);
·    pmr,mXr,n toma valores en el conjunto (0,SAr,m], donde SAr,m representa la suma asegurada o límite máximo de responsabilidad de la protección r expresado en
moneda m.
2.   Pasivo en 1. Se calculará mediante la siguiente expresión:

donde:
·    ar es el número de años que transcurren para que se extinga la obligación de la protección r;
·    hr es una variable aleatoria con media r que representa la frecuencia de siniestralidad de la protección r;
·    r,k representa la tasa de caída de la frecuencia de pagos para la protección r que se pagarán en el año k, con k=1,...,ar;
·    pmr.m es la prima promedio de la institución para la protección r expresada en moneda m;
·    r es el valor medio del índice de siniestralidad de la protección r. Se considera que el índice medio de siniestralidad es una variable aleatoria;
·     es el precio de un bono cupón cero en moneda m, expresado en pesos, traído a valor presente, valuado al tiempo 1 con vencimiento al tiempo T, y
·    d es la fracción del año donde se pagan los siniestros ocurridos, en general se considerará que d=½.
3.   Pasivo en 0 auxiliar. Se calculará mediante la siguiente expresión:

donde:
·    ar es el número de años que transcurren para que se extinga la obligación de la protección r;
·    r es la frecuencia del número de pagos que ser realizan para la protección r en el periodo (0,1);
·    r,k representa la tasa de caída de la frecuencia de pagos para la protección r que se pagarán en el año k, con k=1,...,ar;
·    pmr.m es la prima promedio de la institución para la protección r expresada en moneda m;
·    es la esperanza del valor medio del índice de siniestralidad r;
·    Pzmm(0,T) es el precio de un bono cupón cero en moneda m, expresado en pesos, valuado al tiempo 0 con vencimiento al tiempo T, y
·    d es la fracción del año donde se pagan los siniestros ocurridos, en general se considerará que d=½.
Una vez calculadas las variables anteriores (incluyendo las descritas en la sección II.2 en caso de ser necesario), se calcula el factor de ajuste con respecto al valor inicial de las reservas técnicas de acuerdo a la siguiente relación para cada ramo NV,Rm.

En caso de existir componentes negativos del PNV,Rm,r(0), los riesgos asociados serán excluidos del
cálculo del factor de ajuste, tanto en el numerador como en el denominador de la expresión (7).
II.2.  Reaseguro tomado.
       En el caso que la institución opere contratos de reaseguro tomado para el ramo NV,Rm, se genera la siguiente variable:

       Dicha variable se adiciona a la variable de pérdidas definida en la ecuación (1) como parte del catálogo CCRm. Se satisface lo siguiente.
1.   Gasto en (0,1). La variable GNV,Rm,RT(0,1) se define de acuerdo a los siguientes casos.
a)   Con seguro directo. Cuando existen contratos de seguro directo para el ramo Rm como:

donde
¡  GNV,Rm,r(0,1) se define como en la ecuación (1) y representa el gasto en (0,1) del seguro directo;
¡  PNDNV,Rm,RT representa la prima no devengada de los contratos de reaseguro tomado del ramo Rm, y
¡  PNDNV,Rm,Dir representa la prima no devengada de los contratos del seguro directo del ramo Rm.
b)   Sin seguro directo. Cuando no existen contratos de seguro directo para el ramo Rm y se trate de instituciones autorizadas para operar el seguro directo, como:

donde:
¡  PNDNV,Rm,RT representa la prima no devengada de los contratos de reaseguro tomado del ramo Rm;
¡  IRm es una variable aleatoria uniforme discreta sobre el conjunto y
¡  el conjunto está formado por los índices de siniestralidad (monto total entre prima emitida) correspondientes al año cero de retraso de los triángulos de siniestralidad del ramo Rm. Se agregan los índices de cada una de las instituciones que operan el ramo Rm para obtener la información de mercado.
2.   Pasivo en 1. La variable PNV,Rm,RT(1) se define de acuerdo a los siguientes casos.
a)   Con seguro directo. Cuando existen contratos de seguro directo para el ramo Rm como:
donde:
¡  PEANV,Rm,RT representa la prima emitida anualizada de los contratos de reaseguro tomado del ramo Rm;
¡  PPEr representa la proporción de prima emitida de la protección r con respecto a la prima emitida en el ramo Rm para el seguro directo dada por

 
Donde PEj, jCCRm representa la prima emitida en el seguro directo para la protección j.
El resto de las variables se define de acuerdo al inciso 2 correspondiente al seguro directo.
b)   Sin seguro directo. Cuando no existen contratos de seguro directo para el ramo Rm y se trate de instituciones autorizadas para operar el seguro directo, como:

 

___________________________