OFICIO mediante el cual se revoca la autorización para operar como Unión de Crédito a Credit Union Empresarial, Unión de Crédito S.A. de C.V.
Al margen un sello con el Escudo Nacional, que dice: Estados Unidos Mexicanos.- HACIENDA.- Secretaría de Hacienda y Crédito Público.- Comisión Nacional Bancaria y de Valores.- Vicepresidencia Jurídica.- Dirección General Contenciosa.- Dirección General Adjunta Jurídica de Procedimientos B.- Oficio No. P498/2020.- CNBV.2C.9 Revocación 212, (588), "07/10/2019-07/10/2019" REV/376/EF/01.
ASUNTO: Se revoca autorización para operar como Unión de Crédito.
CREDIT UNION EMPRESARIAL, UNIÓN DE CRÉDITO S.A. DE C.V.
AV. BENITO JUÁREZ, NÚMERO 705 SUR, COLONIA CUAUHTÉMOC, C.P. 50130, TOLUCA, ESTADO DE MÉXICO.
L.A. Patricia Rodríguez Vilchis.
Directora General.
Esta Comisión Nacional Bancaria y de Valores, con fundamento en lo dispuesto en los artículos 2, 4, fracciones I, XI, y XXXVIII, 12 fracciones V y XV, 16, fracciones VI y XVII, de la Ley de la Comisión Nacional Bancaria y de Valores (en adelante LCNBV), en relación con el cuarto párrafo del artículo 5 de la misma Ley; artículos 14, 75 y 97 fracciones II y XIV de la Ley de Uniones de Crédito (en adelante la LUC), con objeto de dar cumplimiento a dichos ordenamientos legales, dicta la presente resolución de revocación de la autorización que para operar como Unión de Crédito, en su momento le fue otorgada a la sociedad denominada CREDIT UNION EMPRESARIAL, UNIÓN DE CRÉDITO S.A. DE C.V., al tenor de los siguientes:
ANTECEDENTES
I. Por oficio número 601-II-33632 de fecha 30 de julio de 1993, publicado en el Diario Oficial de la Federación, el 01 de octubre de 1993, la entonces Comisión Nacional Bancaria (actualmente Comisión Nacional Bancaria y de Valores) otorgó autorización para operar como Unión de Crédito a la Entidad con la denominación: "Unión de Crédito Comercial y de Servicios del Estado de México".
II. Mediante oficio número 311-34974/2010 de fecha 05 de marzo de 2010, publicado en el Diario Oficial de la Federación, el 02 de abril de 2010, la Comisión Nacional Bancaria y de Valores (CNBV o Comisión) autorizó modificar los términos de la autorización otorgada, cambiando su denominación a Credit Union Empresarial, Unión de Crédito S.A. de C.V.
III. Mediante oficio número 212-1/62593/2020 de fecha 17 de agosto de 2020 (en adelante oficio de emplazamiento) esta Comisión emplazó a la Entidad al procedimiento administrativo de revocación de su autorización para continuar operando como Unión de Crédito, al presuntamente ubicarse en las causales previstas en el artículo 97 fracciones II y XIV de la Ley de Uniones de Crédito, es decir, por no cumplir con los requerimientos de capital neto en relación con los riesgos de crédito y de mercado, y presentar un capital neto y contable inferiores a lo establecido en la normatividad aplicable en la materia, por lo cual se le otorgó el plazo de diez días hábiles para que en uso de su derecho de audiencia, manifestara lo que a sus intereses conviniera, ofreciera pruebas y formulara alegatos, en relación a las precisadas causales.
IV. A la fecha de la presente resolución, no consta en los registros de este Órgano Desconcentrado que la Unión de Crédito en comento haya ejercido el derecho de audiencia ni realizando manifestación alguna con relación a las causales de revocación contenidas en el oficio de emplazamiento.
VI. El 29 de octubre de 2020, se sometió a la consideración de la Junta de Gobierno de la Comisión Nacional Bancaria y de Valores, la revocación de la autorización de Credit Union Empresarial, Unión de Crédito S.A. de C.V., con base en los hechos señalados en los numerales anteriores, la cual adoptó el Acuerdo SEXTO en la sesión ordinaria llevada a cabo en la apuntada fecha, cuya copia certificada se anexa a la presente resolución y, para pronta referencia, se transcribe:
"SEXTO.- Los miembros de la Junta de Gobierno, con fundamento en lo dispuesto por el artículo 12, fracciones V y XV de la Ley de la Comisión Nacional Bancaria y de Valores, en relación con el artículo 97, fracciones II y XIV de la Ley de Uniones de Crédito, acordaron por unanimidad revocar la autorización otorgada por la entonces Comisión Nacional
Bancaria (actualmente Comisión Nacional Bancaria y de Valores), mediante oficio número 601-II-33632 de fecha 30 de julio de 1993, a Credit Union Empresarial, Unión de Crédito S.A. de C.V., para organizarse y operar como unión de crédito, para que conforme a la Ley de Uniones de Crédito se proceda a su disolución y liquidación, en los términos contenidos en la resolución que se acompañó a la nota correspondiente y que forma parte de este acuerdo".
Derivado de lo anterior, a continuación, se exponen los motivos y fundamentos legales que sustentan la revocación de la autorización otorgada a la referida Entidad.
CONSIDERANDOS
PRIMERO. - COMPETENCIA. Con fundamento en lo dispuesto en los artículos 14, 75 y 97 fracciones II y XIV de la Ley de Uniones de Crédito, 2, 4, fracciones I, XI, y XXXVIII, 12 fracciones V y XV, 16, fracciones VI y XVII, de la LCNBV, la Comisión Nacional Bancaria y de Valores, como Órgano Desconcentrado de la Secretaría de Hacienda y Crédito Público, se encuentra facultado para autorizar la constitución y operación de uniones de crédito y, en su caso, para acordar la revocación de dichas autorizaciones.
SEGUNDO. - CAUSAL DE REVOCACIÓN. Por oficio número 212-1/62593/2020 de fecha 17 de agosto de 2020, esta Comisión emplazó a la Entidad al procedimiento administrativo de revocación de su autorización parar continuar realizando operaciones como unión de crédito, por presuntamente ubicarse en las causales de revocación establecidas en el artículo 97(1) fracciones II y XIV de la Ley de Uniones de Crédito, al no cumplir con los requerimientos de capitalización de crédito establecidos en la normatividad aplicable, así como también por que el capital contable de la unión es menor al capital mínimo requerido en función al nivel de operaciones que le fue autorizado, tal y como se hizo de su conocimiento en el referido oficio.
TERCERO. - Tal como se expuso en el numeral IV del capítulo de Antecedentes de la resolución de revocación que nos ocupa, a la fecha, no consta en los registros de este Órgano Desconcentrado que la Unión de Crédito en comento haya ejercido el derecho de audiencia ni realizada manifestación alguna con relación a las causales de revocación contenidas en el oficio de emplazamiento.
En tales consideraciones, debido al estado de contumacia de la Unión de Crédito, se tienen por acreditadas las causales de revocación de su autorización para operar como Unión de Crédito, establecidas en el artículo 97 fracciones II(2) y XIV(3) de la precitada LUC, en razón de lo que se expone a continuación:
I. Mediante Oficio de Observaciones de Vigilancia número 132-C/6604/2018 de fecha 22 de mayo de 2018, recibido por Credit Union Empresarial, Unión de Crédito S.A. de C.V., el 30 de mayo de 2018, la Comisión Nacional Bancaria y de Valores le comunicó las siguientes irregularidades:
Derivado de sus actividades de vigilancia, la Comisión revisó los Reportes Regulatorios: R01 A-111 Catálogo Mínimo, R10 A-1011 Reclasificaciones en el Balance General con cifras al 31 de marzo de 2018, y determinó lo siguiente:
1. Faltante de Capital Contable.
El Capital Contable de la Entidad es menor por $5,010,422, al Capital Mínimo requerido en función a su nivel de operaciones (I), como se muestra a continuación:
| PARAMETRO DE UDIS NIVEL I |
| Número de UDIS | Fecha de la UDI | Valor UDI | Capital Mínimo |
| 2,000,000 | 31/12/2016 | 5.5629 | 11,125,766 |
| Insuficiencia de Capital (Cifras al 31 de marzo de 2018) |
| Normatividad | Concepto | Monto del Capital Contable (A) | Capital Mínimo (B) | Faltante (A-B) |
| Artículo 97 Fracción XIV de la LUC | Capital Contable | 6, 115, 344 | 11,125,766 | -5,010,422 |
Por lo anterior, la Unión infringió la fracción XIV del artículo 97 de la LUC, en relación con lo establecido en la fracción I del artículo 18(4) de la misma Ley.
2. Faltante de Capital Neto.
El Capital Neto de esa Sociedad es menor al Capital Mínimo requerido por $6,994,817, en función a su nivel de operaciones (I), como se muestra a continuación:
| PARAMETRO DE UDIS NIVEL I |
| Número de UDIS | Fecha de la UDI | Valor UDI | Capital Mínimo |
| 2,000,000 | 31/12/2016 | 5.5629 | 11,125,766 |
| Insuficiencia de Capital (Cifras al 31 de marzo de 2018) |
| Normatividad | Concepto | Monto del Capital Contable (A) | Capital Mínimo (B) | Faltante (A-B) |
| Fracción II del artículo 97, en relación con el tercer párrafo del artículo 48 de la LUC, y la fracción I del artículo 18 de la misma ley. | Capital Neto | 4,130,949 | 11,125,766 | -6,994,817 |
Por lo anterior, la unión infringió la fracción II del artículo 97, en relación con el tercer párrafo del artículo 48(5) de la LUC y la fracción I del artículo 18 de la misma Ley.
3. Faltante de Capital Neto en relación con los riesgos de crédito y de mercado.
Esta Comisión observó que el Capital Neto de la Entidad es inferior a los requerimientos de capital por riesgos de crédito y de mercado, por $6,034,997, como se muestra a continuación:
| Insuficiencia de Capital (Cifras al 31 de marzo de 2018) |
| Normatividad | Concepto | Suma de los requerimientos (A) | Capital Neto (B) | Faltante (A-B) |
| Fracción II del artículo 97, en relación con el primer párrafo del artículo 48 de la LUC y el artículo 77 de las Disposiciones. | Requerimientos de capital por cada tipo de riesgo (crédito y de mercado) | 10,165,947 | 4,130,949 | -6,034,997 |
Por lo anterior, la Unión infringió la fracción II del artículo 97 de la LUC, en relación con el primer párrafo del artículo 48 de la LUC y el artículo 77(6) de las Disposiciones de carácter general aplicables a los almacenes generales de depósito, casas de cambio, uniones de crédito y sociedades financieras de objeto múltiple reguladas (en adelante las Disposiciones(7)).
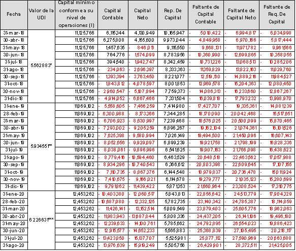
II. Por otra parte, esta Comisión llevó a cabo la revisión de los Reportes Regulatorios R01-A-0111 Catálogo Mínimo, R13-B-1321 Balance General y R21-A 2111 Requerimientos de Capitalización por Riesgos, del 31 de marzo de 2018 al 31 de agosto de 2020, remitidos por esa Sociedad, de los cuales, se observó que la Unión de Crédito no cumple con los requerimientos de capital neto en relación con los riesgos de crédito y de mercado, y presenta un capital neto y contable inferior a lo establecido en la normatividad aplicable en la materia, como se muestra a continuación:
*El valor de la UDI al 31 de diciembre de 2016
**El valor de la UDI al 31 de diciembre de 2017
*** El valor de la UDI al 31 de diciembre de 2018
Al observarse la insuficiencia de capital antes apuntada, le entidad se aleja del cumplimento a la normatividad precisada en párrafos precedentes, lo que la ubica en las causales de revocación de su autorización para operar, previstas en el artículo 97 fracciones II y XIV de la Ley de Uniones de Crédito.
Con base en lo expuesto, la Comisión Nacional Bancaria y de Valores, previo acuerdo de su Junta de Gobierno, tomado en su sesión ordinaria celebrada el 13 de noviembre 2020 y con el objeto de preservar la estabilidad del sistema financiero en su conjunto, salvaguardando los intereses del público:
RESUELVE
PRIMERO. Este Órgano Desconcentrado, con fundamento en lo dispuesto por el artículo 12, fracciones V y XV, de la Ley de la Comisión Nacional Bancaria y de Valores, en relación con el artículo 97, fracciones II y XIV de la Ley de Uniones de Crédito; así como conforme al Acuerdo SEXTO adoptado por la Junta de Gobierno de la propia Comisión en su sesión ordinaria celebrada el 13 de noviembre de 2020 y a las consideraciones que quedaron expuestas en la presente resolución, revoca la autorización para continuar realizando operaciones como unión de crédito, en los términos en que le fue otorgada por la entonces Comisión Nacional Bancaria (actualmente Comisión Nacional Bancaria y de Valores), mediante oficio número 601-II-33632 de 30 de julio de 1993, a Credit Union Empresarial, Unión de Crédito S.A. de C.V.
SEGUNDO. A partir de la fecha de notificación de la presente resolución, Credit Union Empresarial, Unión de Crédito S.A. de C.V., se encuentra imposibilitada para realizar operaciones y se pondrá en estado de disolución y liquidación, de conformidad con lo previsto en el artículo 100 de la Ley de Uniones de Crédito.
TERCERO. Con fundamento en lo previsto en el segundo párrafo del artículo 99 de la Ley de Uniones de Crédito, inscríbase la presente resolución en el Registro Público de Comercio correspondiente y publíquese la misma en el Diario Oficial de la Federación.
QUINTO. Con fundamento en lo establecido en el antepenúltimo párrafo del artículo 16 de la Ley de la Comisión Nacional Bancaria y de Valores, en los artículos 4, fracciones I, apartado B y II, apartado B, inciso 26), 9 y 12 del Reglamento Interior de la Comisión Nacional Bancaria y de Valores, publicado en el Diario Oficial de la Federación el 12 de noviembre de 2014; así como 51 del Acuerdo por el que el Presidente de la Comisión Nacional Bancaria y de Valores delega Facultades en los Vicepresidentes, Directores Generales y Directores Generales Adjuntos de la propia Comisión, publicado en el Diario Oficial de la Federación de 30 de noviembre de 2015, actualizado con las reformas publicadas en el propio Diario el 14 de diciembre de 2016, y en términos de lo ordenado en el Acuerdo OCTAVO, adoptado por la Junta de Gobierno de la propia Comisión en su sesión ordinaria celebrada el 13 de noviembre de 2020, se delega indistintamente en los servidores públicos de esta Comisión, Mónica Brenda Villarreal Medel, Luz María Padilla Longoria, Enrique Aduna Mondragón, Irma Azucena Muñíz Domínguez, Blanca Elena Luna Sierra, Bárbara Espinosa Lizcano, Lucia Guadalupe Manríquez Morán, Laura Jazmín Ruíz Valencia, Evelyn Martínez Beltrán, Armando Díaz Betancourt, Cristian Javier Mosqueda Salazar, Rogelio García Martínez, Mariana Cecilia Luna Rivera, Karen Yoselim Montes Hernández, Erick Pineda Luis, Juan Manuel Hernández Vega, Joel Román, Hernández Camacho y Francisco Godínez Ayala, el encargo de notificar, conjunta o separadamente, el presente oficio mediante el cual se da cumplimiento al acuerdo adoptado por la Junta de Gobierno de la propia Comisión.
Lo anterior, se hace de su conocimiento con fundamento en lo dispuesto en los artículos 16, fracción VI, y penúltimo párrafo, de la Ley de la Comisión Nacional Bancaria y de Valores y 12 del Reglamento Interior de la Comisión Nacional Bancaria y de Valores, así como en términos del Acuerdo SEXTO, adoptado por la Junta de Gobierno de la propia Comisión en su sesión ordinaria celebrada el 13 de noviembre de 2020.
Así lo proveyó el Presidente de la Comisión Nacional Bancaria y de Valores, con fundamento en lo establecido en los artículos 16, fracciones VI y XVII, de la Ley de la Comisión Nacional Bancaria y de Valores y firma, en suplencia por ausencia del mismo, la Vicepresidenta Jurídica de esta Comisión, de conformidad con lo previsto en los artículos 3, fracción III, segundo párrafo, 4, fracción I, apartado A, fracción II, apartado A, inciso 7), 12 y 54 del Reglamento Interior de la Comisión Nacional Bancaria y de Valores.
Atentamente
Ciudad de México a 02 de diciembre de 2020.- La Vicepresidenta Jurídica de la Comisión Nacional y de Valores, Mónica Brenda Villarreal Medel.- Rúbrica.
1 Artículo 97.- La Comisión, con el acuerdo de su Junta de Gobierno y previa audiencia de la sociedad interesada, podrá declarar la revocación de la autorización otorgada a las uniones, en los siguientes casos:
2 Artículo 97.- La Comisión, con el acuerdo de su Junta de Gobierno y previa audiencia de la sociedad interesada, podrá declarar la revocación de la autorización otorgada a las uniones, en los siguientes casos:
...
II. Si la unión no cumple con los requerimientos de capitalización establecidos conforme a lo dispuesto por el artículo 48 de esta Ley y las disposiciones a que dicho precepto se refiere;
...
3 Artículo 97.- La Comisión, con el acuerdo de su Junta de Gobierno y previa audiencia de la sociedad interesada, podrá declarar la revocación de la autorización otorgada a las uniones, en los siguientes casos:
...
XIV. Si el capital contable de la unión es menor al capital mínimo requerido en función al nivel de operaciones que le fue autorizado, y
...
4 Artículo 18.- El capital mínimo suscrito y pagado para las uniones será determinado de acuerdo con el nivel de operaciones que tenga asignado, conforme a lo siguiente:
I. Para las uniones con nivel de operaciones I, deberá ser el equivalente en moneda nacional al valor de 2,000,000 de unidades de inversión;
5 Artículo 48.- ...
...
El capital neto en ningún momento deberá ser inferior al capital mínimo pagado que le resulte aplicable conforme a lo establecido en el artículo 18.
6 Artículo 77.- Las uniones de crédito deberán mantener un capital neto en relación con los riesgos de crédito y de mercado en que incurran en su operación, el cual no podrá ser inferior a la cantidad que resulte de sumar los requerimientos de capital por cada tipo de riesgo establecidos en el presente Capítulo. Para tales efectos, las operaciones deberán ser valuadas conforme a los criterios de contabilidad para las uniones de crédito que les corresponda aplicar de conformidad con lo previsto por la Sección Primera del Capítulo I del Título Segundo.
7 Publicadas en el Diario Oficial de la Federación el 19 de enero de 2009. Modificadas mediante Resoluciones publicadas en el citado Diario Oficial el 1 y 30 de julio de 2009; 18 de febrero de 2010; 4 de febrero, 11 de abril y 22 de diciembre de 2011; 3 de febrero y 27 de junio de 2012; 31 de enero de 2013; 3 de diciembre de 2014; 8, 12 de enero, 19 de mayo, 19 y 28 de octubre de 2015; 22 de enero, 13 de mayo, 28 de septiembre y 27 de diciembre de 2016; 28 de febrero, 4 de abril, 24 de julio, 25 de agosto, 6 de octubre, 10 de noviembre, 18 de diciembre de 2017; 23 de enero, 26 de abril de 2018.