| NOTA TECNICA PARA LAS PENSIONES DERIVADAS DEL SEGURO DE RETIRO, CESANTIA EN EDAD AVANZADA Y VEJEZ |
| i | Tasa de interés técnico. Corresponde a la tasa ofrecida por la institución de seguros. |
| V | ![]() |
![]() | ![]() |
| kpx | Probabilidad de que un individuo de edad x alcance la edad x+k. |
![]() | Probabilidad de invalidarse entre las edades x y x+k. |
![]() | Probabilidad de que un individuo inválido de edad x, permanezca como tal hasta alcanzar la edad x+k. |
![]() | Probabilidad de que un individuo de edad x, sobreviva hasta alcanzar la edad x+k. Considerada en la determinación del seguro de sobrevivencia. |
![]() | Última edad de la tabla de mortalidad. |
![]() | Edad del cónyuge. |
![]() | Edad del padre o madre sin derecho a pensión. Mujer , Hombre ![]() |
| x1,x2,...,xn | Edad de los hijos en orden ascendente. |
| x1 | Edad del hijo menor de los n+m huérfanos X1= mín(x1,x2,...,xn,xn+1,...,xn+m) |
![]() | Número de hijos. |
![]() | Número de ascendientes de primer grado que dependen económicamente del asegurado o pensionado. |
| z1,z2,...,znp | Edad de los ascendientes en orden ascendente. |
| FRPV | Fecha de referencia para el cálculo de los pagos vencidos a ser considerada conforme a los procedimientos del trámite de pensión. |
| FC | Fecha de cálculo |
| PV | Monto de los pagos vencidos a la fecha de proceso. |
| AA | Ayudas asistenciales a la fecha de cálculo de la pensión |
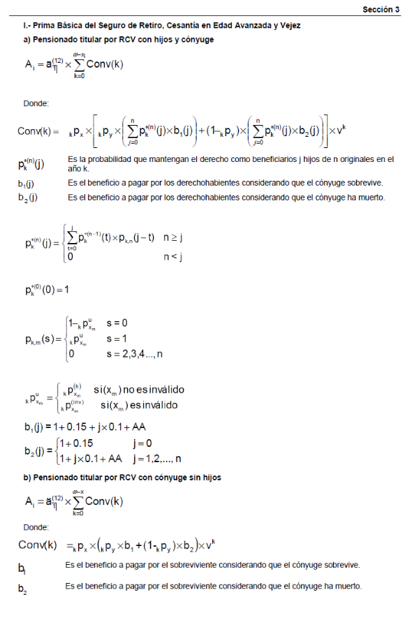
| PBSRCVi | Prima básica del seguro de retiro, cesantía en edad avanzada y vejez calculada a tasa i. |
| PNRCVi | Prima neta del seguro de retiro, cesantía en edad avanzada y vejez calculada a tasa i. |
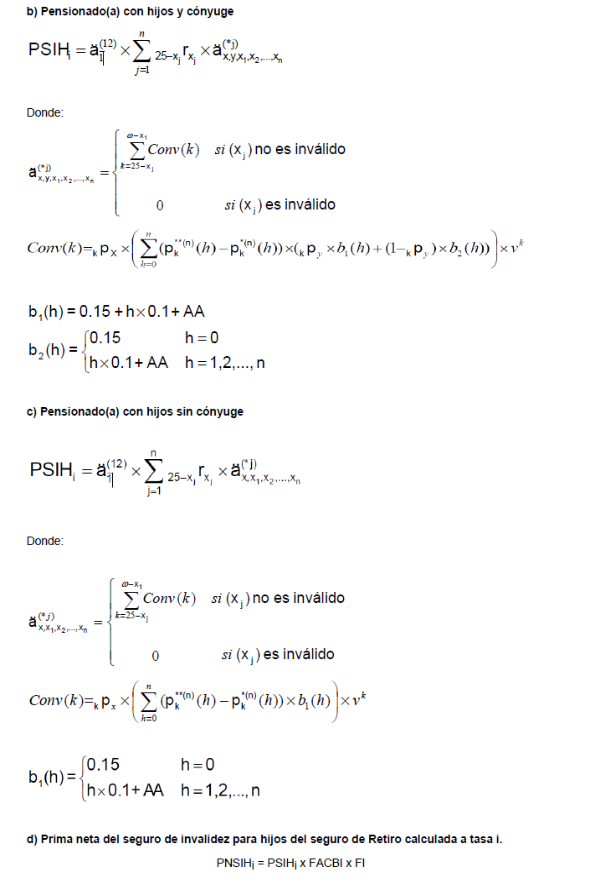
| PSIHi | Prima básica del Seguro de invalidez para hijos del seguro de retiro calculada a tasa i. |
| PNSIHi | Prima neta del Seguro de invalidez para hijos del seguro de retiro calculada a tasa i. |
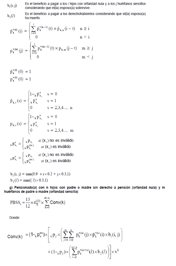
| PBSSi | Prima Básica del seguro de sobrevivencia calculada a tasa i. |
| PSIHssi | Prima del Seguro de invalidez para hijos del seguro de sobrevivencia calculada a tasa i. |
| PFHi | Prima de Finiquito de hijos |
| PNSSi | Prima Neta del seguro de sobrevivencia calculada a tasa i. |
| MCSSi | Monto constitutivo del seguro de sobrevivencia calculado a tasa i. |
| PNSRi | Prima neta para el caso de retiro anticipado calculada a tasa i. |
| MCSRi | Monto constitutivo para el caso de retiro anticipado calculado a tasa i. |
| PNSCVi | Prima neta del seguro de cesantía en edad avanzada o vejez calculada a tasa i. |
| MCSCVi | Monto constitutivo del seguro de cesantía en edad avanzada o vejez calculado a tasa i. |
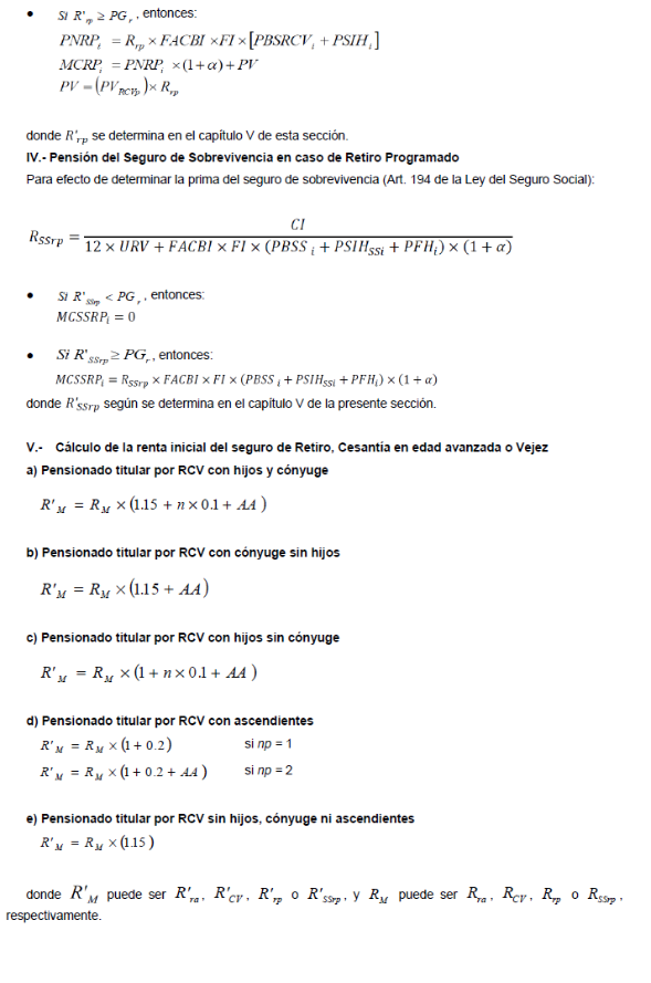
| PNRPi | Prima neta en caso de cambio de retiro programado a seguro de cesantía en edad avanzada o vejez calculada a tasa i. |
| MCRPi | Monto constitutivo en caso de cambio de retiro programado a seguro de cesantía en edad avanzada o vejez calculado a tasa i. |
| MCSSRPi | Monto Constitutivo del Seguro de Sobrevivencia en caso de Retiro Programado |
![]() | Porcentaje para margen de seguridad. |
| PGr | Pensión Garantizada actualizada a la fecha de la determinación de la renta conforme a los factores inflacionarios. |
| FACBI | Para efectos de RCV será el factor de actualización de la renta vitalicia por inflación que se calcula conforme al Anexo 14.2.1-m de las presentes disposiciones. |
| FI | Factor de estimación de la Inflación del mes de proceso que se calcula conforme el Anexo 14.2.1-m de las presentes disposiciones. |
![]() | Pensión básica en caso de retiro anticipado, calculada en función de la cuenta individual sin considerar asignaciones familiares ni ayudas asistenciales. |
![]() | Pensión básica del seguro de cesantía en edad avanzada y vejez, calculada en función de la cuenta individual sin considerar asignaciones familiares ni ayudas asistenciales. |
![]() | Pensión básica en caso de cambio de retiro programado a seguro de cesantía en edad avanzada y vejez, calculada en función de la cuenta individual sin considerar asignaciones familiares ni ayudas asistenciales. |
![]() | Renta de referencia para el cálculo del Monto Constitutivo del Seguro de Sobrevivencia en caso de Retiro Programado. |
![]() | Renta inicial a percibir por el Pensionado titular en caso de retiro anticipado, considerando asignaciones familiares, ayudas asistenciales y la composición familiar vigente a la fecha de cálculo. |
![]() | Renta inicial a percibir por el Pensionado titular del seguro de cesantía en edad avanzada y vejez, considerando asignaciones familiares, ayudas asistenciales y la composición familiar vigente a la fecha de cálculo. |
![]() | Renta inicial a percibir por el Pensionado titular en caso de cambio de retiro programado a seguro de cesantía en edad avanzada y vejez, considerando asignaciones familiares, ayudas asistenciales y la composición familiar vigente a la fecha de cálculo. |
![]() | Renta de referencia para el cálculo del Monto Constitutivo del Seguro de Sobrevivencia en caso de Retiro Programado, considerando asignaciones familiares, ayudas asistenciales y la composición familiar vigente a la fecha de cálculo. |
![]() | Unidad de Renta Vitalicia emitida por CONSAR. |
| PVRCVp | Factor por concepto de pagos vencidos a la fecha de cálculo, para los seguros de Retiro, Cesantía en Edad Avanzada y Vejez, conforme a los términos del trámite de pensión, y a la composición familiar vigente a la fecha de cálculo; 0<PVRCVp |
| PNSIHi | Prima neta del seguro de invalidez para hijos del seguro de Retiro calculada a tasa i. |
| CI | Cuenta Individual a la que se refiere el artículo 159 fracción I de la LSS. |
![]() | Para el caso de retiro anticipado (art. 158 de la Ley del Seguro Social), es el porcentaje del excedente de la cuenta individual, que se va a emplear para la adquisición de una renta vitalicia por encima de 1.3 veces la pensión mínima a selección del pensionado. 0<%XL<1. |
![]() | Para el caso de retiro anticipado (art. 158 de la Ley del Seguro Social), es el monto de la cuenta individual a ser retirado por el pensionado titular a selección del pensionado. |



















![]() | Ultima edad de la tabla de mortalidad. | |
| y | Edad del cónyuge. | |
![]() | Edad del padre o madre sin derecho a pensión. Mujer , Hombre ![]() | |
| x1,x2,...,xn | Edad de los hijos en orden ascendente. | |
| x1 | Edad del hijo menor de los n+m huérfanos X1= mín(x1,x2,...,xn,xn+1,...,xn+m) | |
| n | Número de hijos. | |
| na | Número de ascendientes que dependían económicamente del asegurado o pensionado. | |
| z1,z2,...,zna | Edad de los ascendientes. | |
| PV | Monto de los pagos vencidos no prescritos a la fecha de proceso que se calcula conforme el Anexo 14.2.1-i de las presentes disposiciones. | |
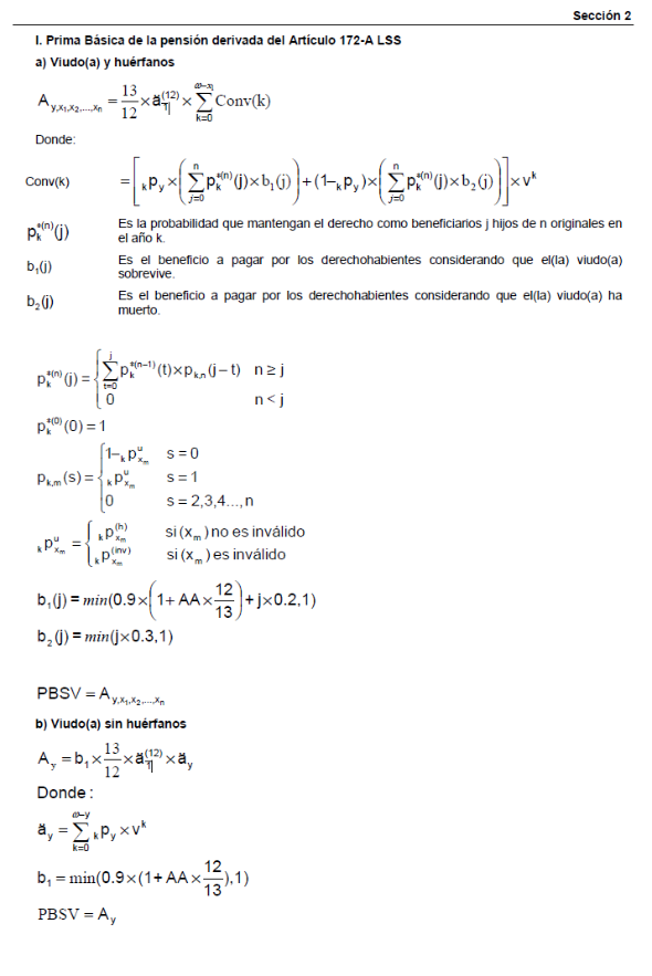
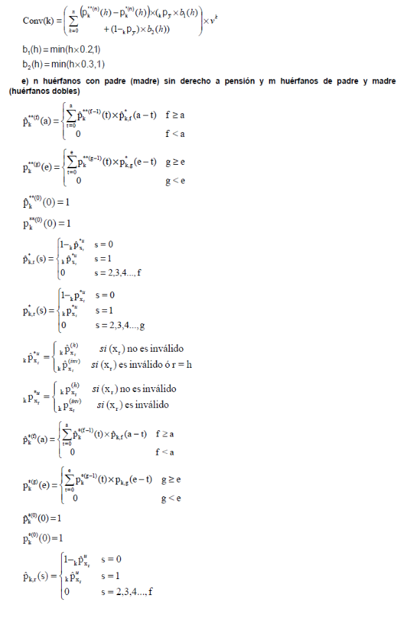
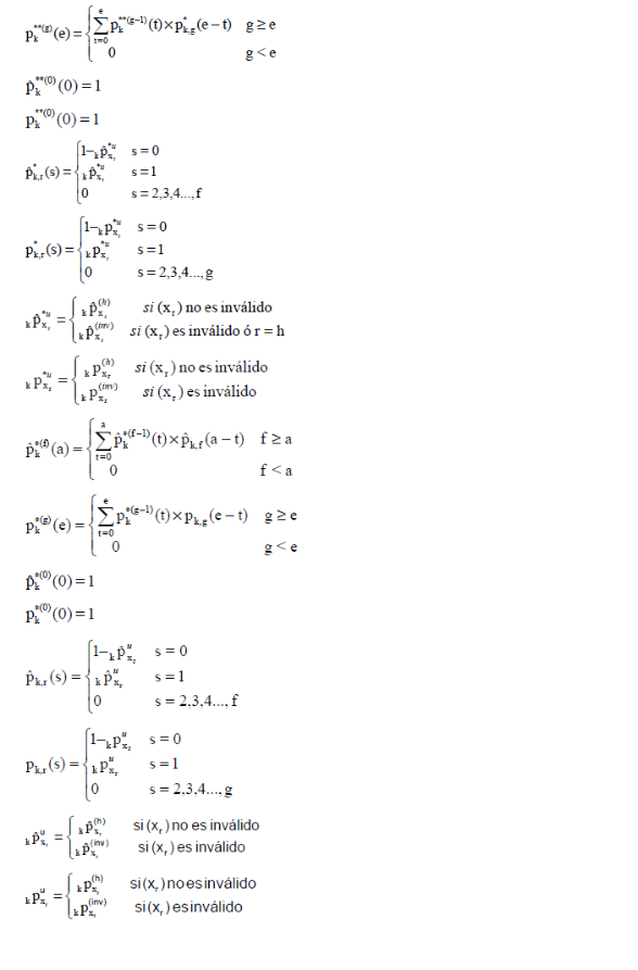
| PBSV | Prima básica de la pensión derivada del artículo 172-A LSS | |
| PSIH | Prima básica del Seguro de invalidez para hijos derivada del artículo 172-A LSS | |
| PFH | Prima básica del finiquito para hijos derivada del artículo 172-A LSS | |
| PNSV | Prima Neta de la pensión derivada del artículo 172-A LSS | |
| MCSV | Monto Constitutivo de prima básica de la pensión derivada del artículo 172-A LSS | |
| | Porcentaje para margen de seguridad. | |
| PGr | Pensión Garantizada que percibía el asegurado titular al momento de ocurrir el fallecimiento. | |
| FAR | Factor de actualización de rentas que se calcula conforme el Anexo 14.2.1-m de las presentes disposiciones. | |
| FACBI | Factor de actualización de la renta vitalicia por inflación que se calcula conforme el Anexo 14.2.1-m de las presentes disposiciones. | |
| FI | Factor de estimación de la Inflación del mes de proceso que se calcula conforme el Anexo 14.2.1-m de las presentes disposiciones. | |











| | | | | | | | | |||
| | LOGO | | | | | | | |||
| | INSTITUCIÓN DE PENSIONES | | | | | |||||
| | DOMICILIO DE LA INSTITUCIÓN | | | | | |||||
| | | | | | | | | |||
| SEGURO DE PENSIONES DERIVADO DE LAS LEYES DE SEGURIDAD SOCIAL | ||||||||||
| RENTA VITALICIA POR SEGURO DE RETIRO, CESANTIA EN EDAD AVANZADA Y VEJEZ | ||||||||||
| Y SEGURO DE SOBREVIVENCIA | ||||||||||
| | | | | | | | | |||
| DATOS GENERALES | ||||||||||
| NOMBRE DEL PENSIONADO | | | | | | |||||
| DOMICILIO DEL PENSIONADO | | | | | | |||||
| NÚMERO DE SEGURIDAD SOCIAL | | | | | | |||||
| NÚMERO DE RESOLUCIÓN | | | | | | |||||
| CURP | | | | | | |||||
| NÚMERO DE PÓLIZA | | | | | | |||||
| FECHA DE INICIO DE DERECHOS | | | | | | |||||
| FECHA DE INICIO DE VIGENCIA | | | | | | |||||
| FECHA DE EMISIÓN | | | | | | |||||
| BENEFICIOS | ||||||||||
| El Sr.(a) _______________________________________________ recibirá por concepto de: | ||||||||||
| | | | | | | | | |||
| A) Cuantía básica: | | | | | | |||||
| | | | | | | | | |||
| 1. Una pensión mensual vitalicia, cuya cuantía básica equivale a $______________________________ que será pagada el día ________de cada mes. | ||||||||||
| | ||||||||||
| | | | | | | | | |||
| B) Asignaciones familiares: | | | | | | |||||
| A la cuantía básica de la pensión mensual vitalicia se le adicionará lo siguiente: | | | ||||||||
| | | | | | | | | |||
| Parentesco | | Nombre | | | Asignación Familiar | | ||||
| Esposa o concubina | Nombre de la esposa o concubina | $__________ | | | ||||||
| Hijo 1 | | Nombre del hijo 1 | | $__________ | | | ||||
| Hijo 2 | | Nombre del hijo 2 | | $__________ | | | ||||
| Hijo 3 | | Nombre del hijo 3 | | $__________ | | | ||||
| ... | | | | | | | ||||
| Hijo n | | Nombre del hijo n | | $__________ | | | ||||
| | | | | | | | | |||
| | ||||||||||
| | | | | | | | | |||
| | | | | | | ||
| (en caso de que las asignaciones familiares hayan sido otorgadas a los ascendientes aplica lo siguiente) | |||||||
| | | | | | | | |
| Nombre | | | Asignación Familiar | | | | |
| Nombre del ascendiente 1 | $_________ | | | | | ||
| Nombre del ascendiente 2 | | $_________ | | | | | |
| | | | | | | | |
| C. Ayuda asistencial (en caso de que el IMSS lo determine) | | | | ||||
| En la misma fecha de pago de la cuantía básica de la pensión mensual, el Sr.(a) _________________________ (PENSIONADO por Cesantía o Vejez) recibirá una ayuda asistencial de $__________________________. | |||||||
| | | | | | | | |
| Los montos de la pensión se actualizarán en el mes de febrero de cada año de acuerdo al Índice Nacional de Precios al Consumidor, correspondiente al año calendario anterior. | |||||||
| | | | | | | | |
| TERMINACIÓN DE LOS BENEFICIOS | |||||||
| A. Beneficio Básico: | |||||||
| 1. Con la muerte del PENSIONADO. | | | | | | ||
| 2. Cuando el Instituto Mexicano del Seguro Social así lo disponga a través de la resolución correspondiente. | |||||||
| | |||||||
| B. Asignaciones Familiares: | |||||||
| 1. Las asignaciones familiares terminan con la muerte del familiar que las originó o con la muerte del PENSIONADO. | |||||||
| | |||||||
| Las asignaciones familiares por concepto de hijos terminarán con la muerte de éstos o cuando cumplan los dieciséis años, o bien los veinticinco años, salvo que no puedan mantenerse por sí mismos, debido a inhabilitación para trabajar por enfermedad crónica, física o psíquica, previa resolución por parte del Instituto Mexicano del Seguro Social. | |||||||
| | |||||||
| C. Ayuda Asistencial | |||||||
| La ayuda asistencial termina con la muerte del PENSIONADO. | |||||||
| | | | | | | | |
| | |||||||
| SUSPENSIÓN DE LOS BENEFICIOS | |||||||
| Asignaciones Familiares de los hijos: | |||||||
| Cuando cumplan dieciséis años de edad, aunque se podrá seguir otorgando hasta los veinticinco años de edad, mientras se encuentren estudiando en planteles del Sistema Educativo Nacional, acreditándolo ante la Aseguradora; siempre y cuando no estén sujetos al régimen obligatorio de la Ley del Seguro Social. | |||||||
| | | | | | | | |
| SEGURO DE SOBREVIVENCIA | |||||||
| Desde la contratación de esta póliza, los beneficiarios registrados ante el Instituto Mexicano del Seguro Social al momento del trámite de la pensión, en los términos de la Ley del Seguro Social, tienen derecho a un seguro de sobrevivencia, que cubre el pago de una pensión de viudez, orfandad o, en su caso, de ascendencia, que iniciará a la muerte del PENSIONADO por Retiro, Cesantía en Edad Avanzada y Vejez, previa resolución del Instituto Mexicano del Seguro Social. | |||||||
| | | | | | | | |
| | | | NOMBRE Y CARGO DEL FUNCIONARIO DE LA INSTITUCIÓN Y/O | ||||
| | | | REPRESENTANTE LEGAL | ||||
| | | | | | | | |
| | | | | | | | |
| | | FIRMA | |||||
| | | | | | | | |
| | LOGO | | | | | | |
| | INSTITUCIÓN DE PENSIONES | | | | | ||
| | DOMICILIO DE LA INSTITUCIÓN | | | | | ||
| | | | | | | | |
| SEGURO DE PENSIONES DERIVADO DE LAS LEYES DE SEGURIDAD SOCIAL | |||||||
| RENTA VITALICIA POR MUERTE DEL ASEGURADO DEL SEGURO DE RETIRO, CESANTIA EN EDAD AVANZADA Y VEJEZ PENSIÓN POR VIUDEZ | |||||||
| | |||||||
| DATOS GENERALES | |||||||
| NOMBRE DEL ASEGURADO FALLECIDO | | | | | | ||
| NOMBRE DEL PENSIONADO POR VIUDEZ | | | | | |||
| DOMICILIO DEL PENSIONADO | | | | | | ||
| NÚMERO DE SEGURIDAD SOCIAL | | | | | | ||
| NÚMERO DE RESOLUCIÓN | | | | | | ||
| CURP | | | | | | ||
| NÚMERO DE PÓLIZA | | | | | | ||
| FECHA DE INICIO DE DERECHOS | | | | | | ||
| FECHA DE INICIO DE VIGENCIA | | | | | | ||
| FECHA DE EMISIÓN | | | | | | ||
| BENEFICIOS | |||||||
| El Sr.(a) _______________________________________________ recibirá: | |||||||
| 1. Una pensión mensual vitalicia equivalente a $_____________________ que se pagará el día ________de cada mes. | |||||||
| 2. Un aguinaldo anual de $ _______________ que se pagará el día _____ del mes de ________________de cada año, o la parte proporcional que corresponda. | |||||||
| | | | | | | | |
| Los montos de la pensión y el aguinaldo se actualizarán en el mes de febrero de cada año de acuerdo al Índice Nacional de Precios al Consumidor, correspondiente al año calendario anterior. | |||||||
| TERMINACIÓN DE LOS BENEFICIOS | |||||||
| 1. La pensión vitalicia y el aguinaldo terminarán con el fallecimiento del beneficiario, o cuando el Instituto Mexicano del Seguro Social así lo disponga a través de la resolución correspondiente. | |||||||
| | |||||||
| CAMBIOS EN LA COMPOSICIÓN FAMILIAR | |||||||
| Cuando se termine el derecho de alguno de los PENSIONADOS se hará una nueva distribución de las PENSIONES que quedan vigentes entre los restantes, sin que rebasen las cuotas parciales ni el monto total de dichas PENSIONES, para lo cual la Aseguradora expedirá el endoso correspondiente. | |||||||
| | | | | | | | |
| | | | NOMBRE Y CARGO DEL FUNCIONARIO DE LA INSTITUCIÓN Y/O REPRESENTANTE LEGAL | ||||
| | | | | ||||
| | | | | | | | |
| | | | | | | | |
| | | FIRMA | |||||
| | | | | | | | | |||||||||
| | LOGO | | | | | | | |||||||||
| | INSTITUCIÓN DE PENSIONES | | | | | |||||||||||
| | DOMICILIO DE LA INSTITUCIÓN | | | | | |||||||||||
| | | | | | | | | |||||||||
| SEGURO DE PENSIONES DERIVADO DE LAS LEYES DE SEGURIDAD SOCIAL | ||||||||||||||||
| RENTA VITALICIA POR MUERTE DEL ASEGURADO DEL SEGURO DE RETIRO, CESANTÍA EN EDAD AVANZADA Y VEJEZ PENSIÓN POR ORFANDAD | ||||||||||||||||
| | | | | | | | | |||||||||
| DATOS GENERALES | ||||||||||||||||
| NOMBRE DEL ASEGURADO FALLECIDO | | | | | | |||||||||||
| NOMBRE DEL(LOS) PENSIONADO(S) POR | ESTADO DE INVALIDEZ DEL (LOS) | TIPO DE ORFANDAD DE LOS | ||||||||||||||
| ORFANDAD: | PENSIONADO(S): | | PENSIONADO(S): | |||||||||||||
| 1) | | | NULO/ INVALIDO | | SENCILLA/DOBLE | |||||||||||
| 2) | | | NULO/ INVALIDO | | SENCILLA/DOBLE | |||||||||||
| ... | | | ... | | | ... | | |||||||||
| DOMICILIO DEL(LOS) PENSIONADO(S) | | | | | | |||||||||||
| NÚMERO DE SEGURIDAD SOCIAL | | | | | | |||||||||||
| NÚMERO DE RESOLUCIÓN | | | | | | |||||||||||
| CURP | | | | | | |||||||||||
| NÚMERO DE PÓLIZA | | | | | | |||||||||||
| FECHA DE INICIO DE DERECHOS | | | | | | |||||||||||
| FECHA DE INICIO DE VIGENCIA | | | | | | |||||||||||
| FECHA DE EMISIÓN | | | | | | |||||||||||
| BENEFICIOS | ||||||||||||||||
| Los siguientes beneficiarios recibirán cada uno de ellos los siguientes beneficios: | ||||||||||||||||
| | | | | | | | | |||||||||
| | Pensión mensual equivalente a: | | Aguinaldo anual equivalente a: | | | | | |||||||||
| 1) Nombre del huérfano 1 | $_________ | | $___________ | | | | | |||||||||
| 2) Nombre del huérfano 2 | $_________ | | $___________ | | | | | |||||||||
| ... | | | | | | | | |||||||||
| n) Nombre del huérfano n | $_________ | | $___________ | | | | | |||||||||
| | | | | | | | | |||||||||
| La pensión mensual se pagará el día ________ de cada mes. | ||||||||||||||||
| El aguinaldo se pagará el día ________del mes de _________. | ||||||||||||||||
| | | | | | | | | |||||||||
| Los montos de la pensión y del aguinaldo se actualizarán en el mes de febrero de cada año de acuerdo al Índice Nacional de Precios al Consumidor, correspondiente al año calendario anterior. | ||||||||||||||||
| CARACTERISTICAS DE LOS BENEFICIOS | |||||||
| a) La PENSIÓN de orfandad terminará con la muerte del beneficiario o cuando cumpla los dieciséis años. b) La PENSIÓN de orfandad continuará pagándose después de alcanzar el huérfano la edad de dieciséis años y hasta la edad de veinticinco, si se encuentra estudiando en planteles del sistema educativo nacional. c) Cuando cada PENSIONADO por orfandad cumpla dieciséis años de edad, la aseguradora hará de su conocimiento por escrito, tanto su derecho al pago de un finiquito por cumplimiento de 16 años de edad a que se refiere la Ley del Seguro Social, como su derecho a solicitar a la aseguradora la prórroga de su pensión si se encontrara estudiando en algún plantel del Sistema Educativo Nacional. Para el caso de hijos que al momento de la resolución de pensión tengan más de 16 años, el pago del finiquito se realizará al efectuar la primera suspensión de pago de pensión. Si algún PENSIONADO por orfandad no acredita que se encuentra estudiando en algún plantel del Sistema Educativo Nacional, la aseguradora le suspenderá el pago de la pensión y la reanudará hasta que éste le acredite la continuidad en sus estudios. d) Tendrá derecho a PENSIÓN, el huérfano que no pueda mantenerse por sí mismo, debido a inhabilitación para trabajar por enfermedad crónica, física o psíquica, previa resolución por parte del Instituto Mexicano del Seguro Social. e) En el caso de que termine el derecho de alguno de los PENSIONADOS se hará una nueva distribución de las PENSIONES que queden vigentes entre los restantes, sin que se rebasen las cuotas parciales ni el monto total de dichas PENSIONES, para lo cual la Aseguradora expedirá el endoso correspondiente. f) El total de las PENSIONES atribuidas a los huérfanos no podrá exceder el monto de la pensión que por retiro, cesantía en edad avanzada o vejez correspondería al asegurado, sin considerar ésta asignaciones familiares o ayudas asistenciales. g) El aguinaldo que corresponda a los huérfanos mayores de 16 años se pagará siempre y cuando estos tengan acreditada la prórroga por estudios a la fecha del pago. h) Los beneficios también podrán terminar cuando el Instituto Mexicano del Seguro Social así lo disponga a través de la resolución correspondiente. | |||||||
| | |||||||
| | | | | | | | |
| | | | NOMBRE Y CARGO DEL FUNCIONARIO DE LA INSTITUCIÓN Y/ O REPRESENTANTE LEGAL | ||||
| | | | | | | | |
| | | | | | | | |
| | | FIRMA | |||||
| | | LOGO | | | | | |
| | INSTITUCIÓN DE PENSIONES | | | | | ||
| | DOMICILIO DE LA INSTITUCIÓN | | | | | ||
| SEGURO DE PENSIONES DERIVADO DE LAS LEYES DE SEGURIDAD SOCIAL | |||||||
| RENTA VITALICIA POR MUERTE DEL ASEGURADO DEL SEGURO DE RETIRO, CESANTIA EN EDAD AVANZADA Y VEJEZ PENSIÓN POR ASCENDENCIA | |||||||
| | | | | | | | |
| DATOS GENERALES | |||||||
| NOMBRE DEL ASEGURADO FALLECIDO | | | | | | ||
| NOMBRE DEL(LOS) PENSIONADO(S) POR ASCENDENCIA | | | | ||||
| DOMICILIO DEL(LOS) PENSIONADO(S) | | | | | | ||
| NÚMERO DE SEGURIDAD SOCIAL | | | | | | ||
| NÚMERO DE RESOLUCIÓN | | | | | | ||
| CURP | | | | | | ||
| NÚMERO DE PÓLIZA | | | | | | ||
| FECHA DE INICIO DE DERECHOS | | | | | | ||
| FECHA DE INICIO DE VIGENCIA | | | | | | ||
| FECHA DE EMISIÓN | | | | | | ||
| BENEFICIOS | |||||||
| El Sr.(a) _____________________________(y la Sra. _______________________ ) recibirán cada uno: | |||||||
| 1. Una pensión mensual vitalicia equivalente a $_____________________ que se pagará el día ________de cada mes. | |||||||
| 2. Un aguinaldo anual de $ _______________ que se pagará el día _____ del mes de ________________de cada año, o la parte proporcional que corresponda. | |||||||
| | | | | | | | |
| Los montos de la pensión y del aguinaldo se actualizarán en el mes de febrero de cada año de acuerdo al Índice Nacional de Precios al Consumidor, correspondiente al año calendario anterior. | |||||||
| TERMINACIÓN DE LOS BENEFICIOS | |||||||
| 1. Estos beneficios terminarán con la muerte del(os) ascendiente(s) PENSIONADO(s). | |||||||
| 2. Cuando el Instituto Mexicano del Seguro Social así lo disponga a través de la resolución correspondiente. | |||||||
| | | | NOMBRE Y CARGO DEL FUNCIONARIO DE LA INSTITUCIÓN Y/O REPRESENTANTE LEGAL | ||||
| | | | | | | | |
| | | FIRMA | |||||
| | | | | | | | | ||||||
| | LOGO | | | | | | | ||||||
| | INSTITUCIÓN DE PENSIONES | | | | | ||||||||
| | DOMICILIO DE LA INSTITUCIÓN | | | | | ||||||||
| | | | | | | | | ||||||
| SEGURO DE PENSIONES DERIVADO DE LAS LEYES DE SEGURIDAD SOCIAL | |||||||||||||
| RENTA VITALICIA POR MUERTE DEL ASEGURADO DEL SEGURO DE RETIRO, CESANTIA EN EDAD AVANZADA Y VEJEZ PENSIÓN POR VIUDEZ Y ORFANDAD | |||||||||||||
| | |||||||||||||
| DATOS GENERALES | |||||||||||||
| NOMBRE DEL ASEGURADO FALLECIDO | | | | | | ||||||||
| NOMBRE DEL PENSIONADO POR VIUDEZ | | | | | | ||||||||
| NOMBRE DEL(LOS) PENSIONADO(S) POR | ESTADO DE INVALIDEZ DEL (LOS) | TIPO DE ORFANDAD DE LOS | |||||||||||
| ORFANDAD: | PENSIONADO(S): | | PENSIONADO(S): | ||||||||||
| 1) | | | NULO/ INVALIDO | | SENCILLA/DOBLE | ||||||||
| 2) | | | NULO/ INVALIDO | | SENCILLA/DOBLE | ||||||||
| ... | | | ... | | | ... | | ||||||
| DOMICILIO DEL(LOS) PENSIONADO(S) | | | | | | ||||||||
| NÚMERO DE SEGURIDAD SOCIAL | | | | | | ||||||||
| NÚMERO DE RESOLUCIÓN | | | | | | ||||||||
| CURP | | | | | | ||||||||
| NÚMERO DE PÓLIZA | | | | | | ||||||||
| FECHA DE INICIO DE DERECHOS | | | | | | ||||||||
| FECHA DE INICIO DE VIGENCIA | | | | | | ||||||||
| FECHA DE EMISIÓN | | | | | | ||||||||
| BENEFICIOS POR VIUDEZ | |||||||||||||
| El Sr.(a) _______________________________________________ recibirá: | |||||||||||||
| 1. Una pensión mensual vitalicia equivalente a $_____________________ que se pagará el día ________de cada mes. | |||||||||||||
| 2. Un aguinaldo anual de $ _______________ que se pagará el día _____ del mes de ________________de cada año, o la parte proporcional que corresponda. | |||||||||||||
| | | | | | | | | ||||||
| Los montos de la pensión y aguinaldo se actualizarán en el mes de febrero de cada año de acuerdo al Índice Nacional de Precios al Consumidor, correspondiente al año calendario anterior. | |||||||||||||
| BENEFICIOS POR ORFANDAD | |||||||||||||
| Los beneficiarios recibirán cada uno de ellos los siguientes beneficios: | | | | | |||||||||
| | | | | | | | | ||||||
| | Pensión mensual equivalente a: | | Aguinaldo anual equivalente a: | | | | | ||||||
| 1) Nombre del huérfano 1 | $__________ | | $__________ | | | | | ||||||
| 2) Nombre del huérfano 2 | $__________ | | $__________ | | | | | ||||||
| ... | | | | | | | | ||||||
| n) Nombre del huérfano n | $__________ | | $__________ | | | | | ||||||
| | |||||||||||||
| La pensión mensual se pagará el día ________ de cada mes. | |||||||||||||
| El aguinaldo se pagará el día ________del mes de _________. | |||||||||||||
| Los montos de la pensión, aguinaldo se actualizarán en el mes de febrero de cada año de acuerdo al Índice Nacional de Precios al Consumidor, correspondiente al año calendario anterior. | |||||||||||||
| CARACTERISTICAS DE LOS BENEFICIOS |
| a) La PENSIÓN de viudez terminará con el fallecimiento del beneficiario, o cuando el Instituto Mexicano del Seguro Social así lo disponga a través de la resolución correspondiente. b) La PENSIÓN de orfandad terminará con la muerte del beneficiario o cuando cumpla los dieciséis años. c) La PENSIÓN de orfandad continuará pagándose después de alcanzar el huérfano la edad de dieciséis años, y hasta la edad de veinticinco, si se encuentra estudiando en planteles del sistema educativo nacional. d) Cuando cada PENSIONADO por orfandad cumpla dieciséis años de edad, la aseguradora hará de su conocimiento por escrito, tanto su derecho al pago de un finiquito por cumplimiento de 16 años de edad a que se refiere la Ley del Seguro Social, como su derecho a solicitar a la aseguradora la prórroga de su pensión si se encontrara estudiando en algún plantel del Sistema Educativo Nacional. Para el caso de hijos que al momento de la resolución de pensión tengan más de 16 años, el pago del finiquito se realizará al efectuar la primera suspensión de pago de pensión. Si algún PENSIONADO por orfandad no acredita que se encuentra estudiando en algún plantel del Sistema Educativo Nacional, la aseguradora le suspenderá el pago de la pensión y la reanudará hasta que éste le acredite la continuidad en sus estudios. e) Tendrá derecho a PENSIÓN, el huérfano que no pueda mantenerse por sí mismo, debido a inhabilitación para trabajar por enfermedad crónica, física o psíquica, previa resolución por parte del Instituto Mexicano del Seguro Social. f) En el caso de que termine el derecho de alguno de los PENSIONADOS se hará una nueva distribución de las PENSIONES que queden vigentes entre los restantes, sin que se rebasen las cuotas parciales ni el monto total de dichas PENSIONES, para lo cual la Aseguradora expedirá el endoso correspondiente. g) El total de las PENSIONES no podrá exceder el monto de la pensión que por retiro, cesantía en edad avanzada o vejez correspondería al asegurado, sin considerar ésta asignaciones familiares o ayudas asistenciales. h) El aguinaldo que corresponda a los huérfanos mayores de 16 años se pagará siempre y cuando estos tengan acreditada la prórroga por estudios a la fecha del pago. i) Los beneficios también podrán terminar cuando el Instituto Mexicano del Seguro Social así lo disponga a través de la resolución correspondiente. | |||||||
| | |||||||
| | | | | | | | |
| | | | NOMBRE Y CARGO DEL FUNCIONARIO DE LA INSTITUCIÓN Y/ O REPRESENTANTE LEGAL | ||||
| | | | | ||||
| | | | | | | | |
| | | | | | | | |
| | | FIRMA | |||||
| | LOGO | | | | | | |
| | INSTITUCIÓN DE PENSIONES | | | | | ||
| | DOMICILIO DE LA INSTITUCIÓN | | | | | ||
| SEGURO DE PENSIONES DERIVADO DE LAS LEYES DE SEGURIDAD SOCIAL | |||||||
| SEGURO DE SOBREVIVENCIA EN CASO DE ELECCION DE MODALIDAD DE PENSIÓN BAJO RETIROS PROGRAMADOS EN EL SEGURO DE CESANTIA EN EDAD AVANZADA Y VEJEZ | |||||||
| DATOS GENERALES | |||||||
| NOMBRE DEL ASEGURADO | | | | | | ||
| NOMBRE DEL PENSIONADO POR VIUDEZ | | | | | | ||
| NOMBRE DEL(LOS) BENFICIARIO(S) POR | | | | ||||
| Nombre | Parentesco | | | | | ||
| 1) | | | | | | | |
| 2) | | | | | | | |
| DOMICILIO DEL(LOS) PENSIONADOS | | | | | | ||
| NÚMERO DE SEGURIDAD SOCIAL | | | | | | ||
| NÚMERO DE RESOLUCIÓN | | | | | | ||
| CURP | | | | | | ||
| NÚMERO DE PÓLIZA | | | | | | ||
| FECHA DE INICIO DE DERECHOS | | | | | | ||
| FECHA DE INICIO DE VIGENCIA | | | | | | ||
| FECHA DE EMISIÓN | | | | | | ||
| BENEFICIOS | |||||||
| Los beneficiarios del pensionado que haya optado por retiros programados, tienen derecho a un seguro de sobrevivencia que cubre el pago de una pensión mensual vitalicia y aguinaldo por viudez, orfandad o, en su caso, ascendencia, que iniciará a la muerte del PENSIONADO por cesantía en edad avanzada o vejez, cuya cuantía se determinará en los términos de la Ley del Seguro Social. | |||||||
| Los montos de la pensión y aguinaldo derivados del seguro de sobrevivencia se actualizarán en el mes de febrero de cada año de acuerdo al Índice Nacional de Precios al Consumidor, correspondiente al año calendario anterior. | |||||||
| TERMINACIÓN DE LOS BENEFICIOS | |||||||
| La pensión mensual vitalicia y el aguinaldo terminarán: | |||||||
| 1. Con la muerte del beneficiario PENSIONADO. | |||||||
| 2. Cuando el Instituto Mexicano del Seguro Social así lo disponga a través de la resolución correspondiente. | |||||||
| | | | NOMBRE Y CARGO DEL FUNCIONARIO DE LA | | |||
| | | | INSTITUCIÓN Y/O REPRESENTANTE LEGAL | | |||
| | | | | | | | |
| | | FIRMA | | ||||