| Nota explicativa nacional A continuación, se indica el grado de concordancia de la Norma Internacional señalada en las referencias normativas respecto a las normas:
| |||||||||
| Magnitudes de base | Unidades SI de base | |
| Nombre | Nombre | Símbolo |
| longitud | metro | m |
| masa | kilogramo | kg |
| tiempo | segundo | s |
| corriente eléctrica | ampere | A |
| temperatura termodinámica | kelvin | K |
| cantidad de sustancia | mol | mol |
| intensidad luminosa | candela | cd |
| metro | es la longitud de la trayectoria recorrida en el vacío por la luz durante un lapso de 1/299 792 458 de segundo. |
| kilogramo | es igual a la masa del prototipo internacional del kilogramo |
| segundo | es la duración de 9 192 631 770 periodos de la radiación correspondiente a la transición entre los dos niveles hiperfinos del estado fundamental del átomo de cesio 133 |
| ampere | es la corriente eléctrica constante que, manteniéndose en dos conductores paralelos, rectilíneos, de longitud infinita, de sección circular despreciable y situados a una distancia de 1 metro uno del otro, en el vacío, produciría entre estos conductores una fuerza igual a 2 × 107 newton por metro de longitud. |
| kelvin | es la fracción 1/273.16 de la temperatura termodinámica del punto triple del agua. |
| mol * | es la cantidad de sustancia de un sistema que contiene tantas entidades elementales como átomos hay en 0.012 kilogramos de carbono 12. |
| candela | es la intensidad luminosa, en una dirección dada, de una fuente que emite una radiación monocromática de frecuencia 540 × 1012 hertz y cuya intensidad energética en dicha dirección de 1/683 watt por estereorradián. |
| * Cuando se emplee el mol, deben especificarse las entidades elementales, que pueden ser átomos, moléculas, iones, electrones u otras partículas o grupos especificados de tales partículas. | |
| Magnitud derivada | Unidad SI derivada coherente | |
| Nombre | Nombre | Símbolo |
| área, superficie | metro cuadrado | m2 |
| volumen | metro cúbico | m3 |
| velocidad | metro por segundo(a) | m·s1 |
| aceleración | metro por segundo cuadrado | m·s2 |
| número de onda | metro a la potencia menos uno | m1 |
| densidad | kilogramo por metro cúbico | kg·m3 |
| densidad superficial | kilogramo por metro cuadrado | kg·m2 |
| volumen específico | metro cúbico por kilogramo | m3·kg1 |
| densidad de corriente | ampere por metro cuadrado | A·m2 |
| intensidad de campo magnético | ampere por metro | A·m1 |
| concentración de cantidad de sustancia(b) | mol por metro cúbico | mol·m3 |
| fracción de cantidad de sustancia | mol por mol | mol·mol1 |
| fracción de masa | kilogramo por kilogramo | kg·kg1 |
| concentración de masa | kilogramo por metro cúbico | kg·m3 |
| luminancia | candela por metro cuadrado | cd·m2 |
| índice de refracción(c) | uno | 1 |
| permeabilidad relativa(c) | uno | 1 |
| (a) Como es habitual en el país, en todos los casos el uso del término "por" indica una operación de división, y no de multiplicación. En las expresiones algebraicas se recomienda utilizar la notación exponencial y el signo "." para indicar multiplicación. (b) En el ámbito de la química clínica, esta magnitud se llama también concentración de sustancia. (c) Son magnitudes adimensionales o magnitudes de dimensión uno. El símbolo "1" de la unidad (el número "uno") se omite cuando se indica el valor de las magnitudes adimensionales. | ||
| Magnitud derivada | Unidad SI derivada coherente(a) | |||
| Nombre | Símbolo | Expresión mediante otras unidades del SI | Expresión en unidades SI de base | |
| ángulo plano | radián(e) | rad | 1 (c) | m×m1 |
| ángulo sólido | estereorradián (e,f) | sr | 1 (c) | m2×m2 |
| frecuencia | hertz(g) | Hz | (d) | s1 |
| fuerza | newton | N | (d) | m×kg×s2 |
| presión | pascal | Pa | N·m2 | m1×kg×s2 |
| energía, trabajo, cantidad de calor | joule | J | N ×m | m2×kg×s2 |
| potencia | watt | W | J·s1 | m2×kg×s3 |
| carga eléctrica | coulomb | C | W/A1 | s×A |
| tensión eléctrica, diferencia de potencial eléctrico | volt | V | W×A1 | m2×kg×s3×A1 |
| capacitancia | farad | F | C×V1 | m2×kg1×s4×A2 |
| resistencia eléctrica | ohm | O | V×A1 | m2×kg×s3×A2 |
| conductancia | siemens | S | A×V1 | m2×kg1×s3×A2 |
| flujo magnético | weber | Wb | V×s | m2×kg×s2×A1 |
| densidad de flujo magnético(j) | tesla | T | Wb×m2 | kg×s2×A1 |
| inductancia | henry | H | Wb×A1 | m2×kg×s2×A2 |
| temperatura Celsius | grado Celsius(h) | °C | (d) | K |
| flujo luminoso | lumen | lm | cd×sr | cd |
| iluminancia | lux | lx | lm×m2 | cd ×m2 |
| actividad de radionucleido(i) | becquerel | Bq | (d) | s1 |
| dosis absorbida, energía específica (impartida), kerma | gray | Gy | J×kg1 | m2×s2 |
| dosis equivalente, dosis equivalente ambiental, dosis equivalente direccional y dosis equivalente personal | sievert | Sv | J/kg | m2×s2 |
| actividad catalítica | katal | Kat (b) | (d) | s1×mol |
| (a) Como es habitual en el país, en todos los casos el uso del término "por" indica una operación de división, y no de multiplicación. En las expresiones algebraicas se recomienda utilizar la notación exponencial y el signo "×" para indicar multiplicación. (b) En el ámbito de la química clínica, esta magnitud se llama también concentración de sustancia. (c) Son magnitudes adimensionales o magnitudes de dimensión uno. El símbolo "1" de la unidad (el número "uno") se omite cuando se indica el valor de las magnitudes adimensionales. (d) Los prefijos SI pueden emplearse con cualquiera de los nombres y símbolos especiales, pero en este caso la unidad resultante no es una unidad coherente. (e) El radián y el estereorradián son nombres especiales del número uno, que pueden usarse para proporcionar información respecto a la magnitud a que se refieren. En la práctica, los símbolos rad y sr se emplean donde sea apropiado, mientras que el símbolo de la unidad derivada "uno" no se menciona cuando se dan valores de magnitudes adimensionales. (f) En fotometría se mantiene generalmente el nombre estereorradián y el símbolo sr en la expresión de las unidades. (g) El hertz sólo se utiliza para los fenómenos periódicos y el becquerel para los procesos estocásticos relacionados con la actividad de un radionucleido. (h) El grado Celsius es el nombre especial del kelvin empleado para expresar las temperaturas Celsius y es una unidad derivada. El grado Celsius y el kelvin tienen la misma magnitud, por lo que el valor numérico de una diferencia de temperatura o de un intervalo de temperatura es idéntico cuando se expresa en grados Celsius o en kelvin. (i) La actividad de un radionucleido se llama algunas veces, de manera incorrecta, radioactividad. (j) A la densidad de flujo magnético también se la conoce como inducción magnética. |
| Magnitud | Unidad SI derivada coherente | ||
| Nombre | Símbolo | Expresión en unidades SI de base | |
| viscosidad dinámica | pascal segundo | Pa×s | m-1 ×kg ×s-1 |
| momento de una fuerza | newton metro | N×m | m2×kg ×s-2 |
| tensión superficial | newton por metro | N/m | kg×s-2 |
| velocidad angular | radián por segundo | rad/s | m×m-1×s-1 = s-1 |
| aceleración angular | radián por segundo cuadrado | rad/s2 | m×m-1×s-2 = s-2 |
| densidad superficial de flujo térmico, irradiancia | watt por metro cuadrado | W/m2 | kg×s-3 |
| capacidad térmica, entropía | joule por kelvin | J/K | m2×kg×s-2×K-1 |
| capacidad térmica másica, entropía másica | joule por kilogramo - kelvin | J/(kg×K) | m2×s-2×K-1 |
| energía másica | joule por kilogramo | J/kg | m2×s-2 |
| conductividad térmica | watt por metro - kelvin | W/(m×K) | m×kg×s-3×K-1 |
| densidad de energía | joule por metro cúbico | J/m3 | m-1 ×kg ×s-2 |
| campo eléctrico | volt por metro | V/m | m ×kg ×s-3 ×A-1 |
| densidad de carga eléctrica | coulomb por metro cúbico | C/m3 | m-3 ×s ×A |
| densidad superficial de carga eléctrica | coulomb por metro cuadrado | C/m2 | m-2 ×s ×A |
| densidad de flujo eléctrico, desplazamiento eléctrico | coulomb por metro cuadrado | C/m2 | m-2 ×s ×A |
| permitividad | farad por metro | F/m | m-3 ×kg-1 ×s4 ×A2 |
| permeabilidad | henry por metro | H/m | m ×kg ×s-2 ×A-2 |
| energía molar | joule por mol | J/mol | m2 ×kg ×s-2 ×mol-1 |
| entropía molar, capacidad calorífica molar | joule por mol - kelvin | J/(mol×K) | m2 ×kg ×s-2× K-1 ×mol-1 |
| exposición (rayos x, y g) | coulomb por kilogramo | C/kg | kg-1 ×s ×A |
| tasa de dosis absorbida | gray por segundo | Gy/s | m2 ×s-3 |
| intensidad radiante | watt por estereorradián | W/sr | m2 ×kg ×s-3 |
| radiancia | watt por metro cuadrado- estereorradián | W/(m2×sr) | kg ×s-3 |
| concentración de actividad catalítica | katal por metro cúbico | kat/m3 | m-3 ×s-1 ×mol |
| Magnitud | Nombre de la unidad | Símbolo de la unidad | Valor en unidades SI |
| tiempo | minuto | min | 1 min = 60 s |
| hora | h | 1 h = 60 min = 3600 s | |
| día | d | 1 d = 24 h = 86 400 s | |
| ángulo plano | grado (a) | ° | 1° = (p/180) rad |
| minuto | ' | 1' = (1/60)° = (p/10 800) rad | |
| segundo | '' | 1' = (1/60)' = (p/648 000) rad | |
| área | hectárea | ha | 1 ha = 1 hm2 = 104 m2 |
| volumen | litro | L, l | 1 L = 1 l = 1 dm3 = 103 cm3 = 10-3 m3 |
| masa | tonelada | t | 1 t = 103 kg |
| (a) Se recomienda el uso de submúltiplos decimales del grado en lugar del minuto y el segundo; y del gon como otra unidad de ángulo plano. |
| Factor | Nombre | Símbolo | | Factor | Nombre | Símbolo |
| 101 | deca | da | | 101 | deci | d |
| 102 | hecto | h | | 102 | centi | c |
| 103 | kilo | k | | 103 | mili | m |
| 106 | mega | M | | 106 | micro | µ |
| 109 | giga | G | | 109 | nano | n |
| 1012 | tera | T | | 1012 | pico | p |
| 1015 | peta | P | | 1015 | femto | f |
| 1018 | exa | E | | 1018 | atto | a |
| 1021 | zetta | Z | | 1021 | zepto | z |
| 1024 | yotta | Y | | 1024 | yocto | y |
| Los prefijos SI representan estrictamente potencias de 10. No deben utilizarse para expresar potencias de 2 (por ejemplo, un kilobit representa 1 000 bits y no 1 024 bits). Los nombres y símbolos de los prefijos correspondientes a 210, 220, 230, 240, 250 y 260 son, respectivamente, kibi, Ki; mebi, Mi; gibi, Gi; tebi, Ti; pebi, Pi; y exbi, Ei. Así, por ejemplo, un kibibyte se escribe: 1 KiB = 210 B = 1 024 B, en donde B representa al byte. Aunque estos prefijos no pertenecen al SI, deben emplearse solamente en el campo de la tecnología de la información. Estos prefijos, a excepción de algunas pocas unidades como el litro y el bar, no deben usarse para expresar unidades que no pertenecen al SI. Por ejemplo, no es válida la expresión "decigrados Celsius" ni el símbolo "d °C". | ||||||

| Magnitud | Nombre de la unidad | Símbolo de la unidad | Valor en unidades del SI (a) |
| Unidades utilizadas en el SI | |||
| energía | electronvolt (b) | eV | 1 eV = 1.602 176 53(14) × 1019 J |
| masa | dalton (c) | Da | 1 Da = 1.660 538 86(28) × 1027 kg |
| masa | unidad de masa atómica unificada | u | 1 u = 1 Da |
| longitud | unidad astronómica (d) | ua | 1 ua = 1.495 978 706 91(6) × 1011 m |
| Unidades naturales (u.n.) | |||
| velocidad | unidad natural de velocidad: (velocidad de la luz en el vacío) | ![]() | 299 792 458 m/s (exacto) |
| acción | unidad natural de acción (constante de Planck reducida) | | 1.054 571 68(18) × 1034 J s |
| masa | unidad natural de masa (masa del electrón) | ![]() | 9.109 3826(16) × 1031 kg |
| tiempo | unidad natural del tiempo | ![]() | 1.288 088 8877 (86) × 1021 s |
| Unidades atómicas (u.a.) | |||
| carga | unidad atómica de carga, (carga eléctrica elemental) | ![]() | 1.602 176 53(14) × 1019 C |
| masa | unidad atómica de masa, (masa del electrón) | ![]() | 9.109 382 6(16) × 1031 kg |
| acción | unidad atómica de acción, (constante de Planck reducida) | ![]() | 1.054 571 68(18) × 1034 Js |
| longitud | unidad atómica de longitud, bohr (radio de bohr) | ![]() | 0.529 177 210 8(18) × 1010 m |
| energía | unidad atómica de energía, hartree (energía hartree) | ![]() | 4.359 744 17(75) × 1018 J |
| tiempo | unidad atómica de tiempo | ![]() | 2.418 884 326 505(16) × 1017 s |
| (a) Los valores en unidades SI de todas las unidades de la tabla, excepto la unidad astronómica, provienen de la relación de valores de constantes fundamentales recomendados por CODATA (The Committee On Data for Science and Technology, por sus siglas en inglés). La incertidumbre típica referida a las dos últimas cifras se indica entre paréntesis. (b) El electronvolt es la energía cinética adquirida por un electrón tras atravesar una diferencia de potencial de 1 V en el vacío. El electronvolt se combina a menudo con los prefijos SI. (c) El dalton (Da) y la unidad de masa atómica unificada (u) son otros nombres (y símbolos) para la misma unidad, igual a 1/12 de la masa del átomo de carbono 12 libre, en reposo y en su estado base. El dalton se combina a menudo con prefijos SI, por ejemplo, para expresar la masa de grandes moléculas en kilodaltons, kDa, o megadaltons, MDa, y para expresar el valor de pequeñas diferencias de masa de átomos o de moléculas en nanodaltons, nDa, e incluso en picodaltons, pDa. (d) La unidad astronómica es aproximadamente igual a la distancia media entre el Sol y la Tierra. Es el radio de una órbita newtoniana circular no perturbada alrededor del Sol, de una partícula de masa infinitesimal, desplazándose a una velocidad media de 0,017 202 098 95 radianes por día (llamada también constante de Gauss). | |||
| Magnitud | Nombre de la unidad | Símbolo de la unidad | Valor en unidades del SI |
| Presión | bar (a) | bar | 1 bar = 0.1 MPa = 100 kPa = 105 Pa |
| milímetro de mercurio (b) | mmHg | 1 mmHg 133.322 Pa | |
| Longitud | ångström (c) | Å | 1 Å = 0.1 nm = 100 pm = 1010 m |
| Distancia | milla náutica (d) | M | 1 M = 1852 m |
| superficie | barn (e) | b | 1 b = 100 fm2 = (1012 cm)2 = 1028 m2 |
| velocidad | nudo (f) | kn | 1 kn = (1852/3600) m/s |
| magnitudes adimensionales logarítmicas | neper (g,i) | Np | [ver la nota (j) respecto al valor numérico del neper, del bel y del decibel] |
| bel (h, i) | B | ||
| decibel (h,i) | dB |
| (a) Desde 1982 todos los datos termodinámicos se refieren a la presión normal de un bar. Antes de 1982, la presión normal era la atmósfera normal, igual a 1.013 25 bar o 101 325 Pa. (b) En ciertos países, el milímetro de mercurio es la unidad legal para la medida de la presión arterial de personas. (c) El ångström se utiliza ampliamente en la cristalografía de rayos x y en química estructural porque todos los enlaces químicos se encuentran en el intervalo de 1 a 3 ångströms. (d) La milla náutica es una unidad empleada para expresar distancias en navegación marítima y aérea. No hay símbolo acordado a nivel internacional, pero se usan los símbolos M, NM, Nm y nmi; en la Tabla A.2 sólo se indica el símbolo M. Esta unidad se estableció originalmente, y aún continúa empleándose, porque una milla náutica en la superficie de la Tierra subtiende aproximadamente un minuto de ángulo desde el centro de la Tierra, lo que resulta conveniente cuando se miden la latitud y la longitud en grados y minutos de ángulo. (e) El barn es una unidad de superficie empleada para expresar valores de secciones eficaces en física nuclear. (f) El nudo se define como una milla náutica por hora. No hay símbolo acordado a nivel internacional, pero se usa habitualmente el símbolo kn. (g) La expresión LA = n Np (en donde n es un número) se interpreta como ln(A2/A1) = n. Así cuando LA = 1 Np, se entiende que A2/A1 = e. El símbolo A se usa aquí para denotar la amplitud de una señal senoidal y LA como el logaritmo neperiano del cociente de amplitudes o diferencia neperiana de niveles de amplitudes. (h) La expresión LX = m dB = (m/10) B (en donde m es un número) se interpreta como log(X/X0) = m/10. Así cuando LX = 1 B, X/X0 = 10 y cuando LX = 1 dB, se entiende que X/X0 = 101/10. Si X representa una señal cuadrática media o una magnitud como la potencia, LX se denomina nivel de potencia respecto a X0. (i) Cuando se usan estas unidades, es importante indicar la naturaleza de la magnitud en cuestión y el valor de referencia empleado. Estas unidades no son unidades SI, pero el CIPM acepta su uso con el SI. (j) No suele requerirse los valores numéricos del neper, del bel y del decibel (ni por tanto la relación del bel y del decibel al neper). Ellos dependen de la forma en que se definen las magnitudes logarítmicas. |
| Magnitud | Nombre de la unidad | Símbolo de la unidad | Valor en unidades SI |
| energía | erg | erg | 1 erg = 107 J |
| fuerza | dina | dyn | 1 dyn = 105 N |
| viscosidad dinámica | poise | P | 1 P = 1 dyn s cm2 = 0.1 Pa s |
| viscosidad cinética | stokes | St | 1 St = 1 cm2 s1 = 104 m2 s1 |
| luminancia luminosa | stilb | sb | 1 sb = 1 cd cm2 = 104 cd m2 |
| radiación luminosa | phot | ph | 1 ph = 1 cd sr cm2 = 104 1x |
| aceleración | gal (a) | Gal | 1 Gal = 1 cm s2 = 102 m s2 |
| flujo magnético | maxwell (b) | Mx | 1 Mx = 1 G cm2 = 108 Wb |
| densidad de flujo magnético | gauss (b) | G | 1 G = 1 Mx cm2 = 104 T |
| intensidad de campo magnético | oersted (b) | Oe | 1 Oe = (103/4p) A m1 |
| (a) El gal es una unidad empleada en geodesia y geofísica para expresar la aceleración de caída libre. (b) Estas unidades forman parte del sistema CGS tridimensional "electromagnético", basado en ecuaciones de magnitudes no racionalizadas, por lo que deben compararse con cuidado con las unidades correspondientes del Sistema Internacional, que se basan en ecuaciones racionalizadas con cuatro dimensiones y cuatro magnitudes en electromagnetismo. El flujo magnético F y la inducción magnética B se definen mediante ecuaciones similares en el sistema CGS y en el SI, lo que permite relacionar las unidades correspondientes de la tabla. Sin embargo, el campo magnético H (no racionalizado) es igual a 4p ´ H (racionalizado). El símbolo de equivalencia = se usa para indicar que cuando H (no racionalizado) = 1 Oe, H (racionalizado) = (103 / 4p) A m-1. | |||
| Magnitud | Símbolo de la magnitud | Definición de la magnitud | Unidad SI | Símbolo de la unidad SI |
| ángulo plano | a, b, g, J, j, etc. | El ángulo comprendido entre dos semirrectas que parten del mismo punto, se define como la relación de la longitud del arco intersectado por estas rectas sobre el círculo (con centro en aquel punto), a la del radio del círculo | radián (ver Tabla 4) | rad |
| ángulo sólido | | El ángulo sólido de un cono se define como la relación del área cortada sobre una superficie esférica (con su centro en el vértice del cono) al cuadrado de la longitud del radio de la esfera | estereorradián (ver Tabla 4) | sr |
| Longitud ancho altura espesor radio diámetro longitud de trayectoria | l, (L) b h d, d r d, D s | | metro (ver Tabla 1) | m |
| área o superficie | A, (S) | | metro cuadrado | m2 |
| volumen | V | | metro cúbico | m3 |
| tiempo, intervalo de tiempo, duración | t | | segundo (Ver Tabla 1) | s |
| velocidad angular | w | ![]() | radián por segundo | rad/s |
| aceleración angular | a | ![]() | radián por segundo al cuadrado | rad/s2 |
| velocidad | u, v, w, c | ![]() | metro por segundo | m/s |
| aceleración | a | ![]() | metro por segundo al cuadrado | m/s2 |
| aceleración de caída libre, aceleración debida a la gravedad | g | NOTA: la aceleración normal de caída libre es: gn = 9,806 65 m/s2 (Conferencia General de Pesas y Medidas 1901) | | |
| Magnitud | Símbolo de la magnitud | Definición de la magnitud | Unidad SI | Símbolo de la unidad SI |
| período, tiempo periódico | T | Tiempo de un ciclo | segundo | s |
| constante de tiempo de un magnitud que varía exponencialmente | t | Tiempo después del cual la magnitud podría alcanzar su límite si se mantiene su velocidad inicial de variación | segundo | s |
| frecuencia | f, n | f = 1/T | hertz | Hz |
| frecuencia de rotación(a) | n (a) | Número de revoluciones dividido por el tiempo | segundo recíproco | s1 |
| frecuencia angular frecuencia circular, pulsatancia | w | w = 2pf | radián por segundo segundo recíproco | rad/s s1 |
| longitud de onda | l | Distancia, en la dirección de propagación de una onda periódica, entre dos puntos en donde, en un instante dado, la diferencia de fase es 2p | metro | m |
| número de onda | s | s = 1/ | metro recíproco | m1 |
| número de onda circular | k | k = 2p | metro recíproco | m1 |
| diferencia de nivel de amplitud, diferencia de nivel de campo | LF | LF = ln (F1/ F2) En donde F1 y F2 representan dos amplitudes de la misma clase | neper* decibel* | Np* dB* |
| diferencia de nivel de potencia | LP | LP = 1/2 ln (P1/ P2) En donde P1 y P2 representan dos potencias | | |
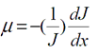
| coeficiente de amortiguamiento | d | Si una magnitud es una función del tiempo y está determinada por: F(t) = Ae-dt cos[ w( t-to ) ] Entonces d es el coeficiente de amortiguamiento | Segundo recíproco | s1 |
| decremento logarítmico | L | Producto del coeficiente de amortiguamiento y el período | neper* | Np* |
| coeficiente de atenuación | a | Si una magnitud es una función de la distancia x y está dada por: F(x) = Ae-x cos[ ( x-xo )] | metro recíproco | m1 |
| coeficiente de fase | b | Entonces a es el coeficiente de atenuación y es el coeficiente de fase | | |
| coeficiente de propagación | g | g = + j | | |
| (a) Para la frecuencia de rotación, también se usan las unidades "revoluciones por minuto" (r/min) y "revoluciones por segundo" (r/s) * Estas no son unidades del SI pero se mantienen para usarse con unidades del SI 1 Np es la diferencia de nivel de amplitud cuando ln (F1 / F2) = 1 1 dB es la diferencia de nivel de amplitud cuando 20 lg (F1 / F2) = 1 | ||||
| Magnitud | Símbolo de la magnitud | Definición de la magnitud | Unidad SI | Símbolo de la unidad SI |
| masa | m | | kilogramo (ver Tabla 1) | kg |
| densidad (masa volúmica) | r | Masa dividida por el volumen | kilogramo por metro cúbico | kg/m3 |
| densidad relativa | d | Relación de la densidad de una sustancia con respecto a la densidad de una sustancia de referencia bajo condiciones que deben ser especificadas para ambas sustancias | uno | 1 |
| volumen específico | n | Volumen dividido por la masa | metro cúbico por kilogramo | m3/kg |
| densidad lineal | rl | Masa dividida por la longitud | kilogramo por metro | kg/m |
| densidad superficial | rA, (rS) | Masa dividida por el área | kilogramo por metro cuadrado | kg/m2 |
| cantidad de movimiento, momentum | p | Producto de la masa y la velocidad | kilogramo metro por segundo | kg·m/s |
| momento de momentum, momentum angular | L | El momento de momentum de una partícula con respecto a un punto es igual al producto vectorial del radio vector dirigido del punto hacia la partícula, y el momentum de la partícula | kilogramo metro cuadrado por segundo | kg·m2/s |
| momento de inercia (momento dinámico de inercia) | I, J | El momento (dinámico) de inercia de un cuerpo con respecto a un eje, se define como la suma (la integral) de los productos de sus masas elementales, por los cuadrados de las distancias de dichas masas al eje | kilogramo metro cuadrado | kg·m2 |
| fuerza | F | La fuerza resultante aplicada sobre un cuerpo es igual a la razón de cambio del momentum del cuerpo | newton | N |
| peso | G, (P), (W) | El peso de un cuerpo en un determinado sistema de referencia se define como la fuerza que, aplicada al cuerpo, le proporciona una aceleración igual a la aceleración local de caída libre en ese sistema de referencia | | |
| constante gravitacional | G, (f) | La fuerza gravitacional entre dos partículas es: ![]() en donde r es la distancia entre las partículas, m1 y m2 son sus masas y la constante gravitacional es: G= (6,672 59 ± 0,010) x 10-11 N·m2/kg2 | newton metro cuadrado por kilogramo cuadrado | N·m2/kg2 |
| momento de una fuerza | M | El momento de una fuerza referido a un punto es igual al producto vectorial del radio vector, dirigido desde dicho punto a cualquier otro punto situado sobre la línea de acción de la fuerza, por la fuerza | newton metro | N·m |
| momento torsional, momento de un par | T | Suma de los momentos de dos fuerzas de igual magnitud y dirección opuesta que no actúan a lo largo de la misma línea | | |
| presión | P | La fuerza dividida por el área | pascal | Pa |
| esfuerzo normal | s | | | |
| esfuerzo al corte | t | | | |
| módulo de elasticidad | E | E = s/e | pascal | P |
| módulo de rigidez, módulo de corte | G | G = t/g | | |
| módulo de compresión | K | K = -p/J | | |
| compresibilidad | x | ![]() | pascal recíproco | Pa-1 |
| momento segundo axial de área | Ia, (I) | El momento segundo axial de área de una área plana, referido a un eje en el mismo plano, es la suma (integral) de los productos de sus elementos de área y los cuadrados de sus distancias medidas desde el eje | metro a la cuarta potencia | m4 |
| momento segundo polar de área | Ip | El momento segundo polar de área de una área plana con respecto a un punto localizado en el mismo plano, se define como la integral de los productos de sus elementos de área y los cuadrados de las distancias del punto a dichos elementos de área | | |
| módulo de sección | Z, W | El módulo de sección de un área plana o sección con respecto a un eje situado en el mismo plano, se define como el momento segundo axial de área dividido por la distancia desde el eje hasta el punto más lejano de la superficie plana | metro cúbico | m3 |
| viscosidad dinámica | h, (m) | txz = h(dvx /dz) en donde txz es el esfuerzo cortante de un fluido en movimiento con un gradiente de velocidad dvx /dz perpendicular plano de corte | pascal segundo | Pa·s |
| viscosidad cinemática | n | n = h/r en donde r es la densidad | metro cuadrado por segundo | m2/s |
| tensión superficial | g, s | Se define como la fuerza perpendicular a un elemento de línea en una superficie, dividida por la longitud de dicho elemento de línea | newton por metro | N/m |
| trabajo | W, (A) | Fuerza multiplicada por el desplazamiento en la dirección de la fuerza | joule | J |
| energía | E | | | |
| energía potencial | Ep, V, F | | | |
| energía cinética | Ek, T | | | |
| potencia | P | Tasa de transferencia de energía | watt | W |
| gasto masa, flujo masa | qm | Masa de materia la cual atraviesa una superficie determinada dividida por el tiempo | kilogramo por segundo | kg/s |
| gasto volumétrico, flujo volumétrico | qv | Volumen de materia el cual atraviesa una superficie determinada por el tiempo | metro cúbico por segundo | m3/s |
| Magnitud | Símbolo de la magnitud | Definición de la magnitud | Unidad SI | Símbolo de la unidad SI |
| temperatura termodinámica | T, q | La temperatura termodinámica se define según los principios de la termodinámica | kelvin (ver Tabla 1) | K |
| temperatura Celsius | t, J | t = T-To En donde To es fijada convencionalmente como To = 273,15 K | grado Celsius | °C |
| coeficiente de dilatación lineal | l | ![]() | kelvin recíproco | K-1 |
| coeficiente de dilatación cúbica | v | ![]() | | |
| coeficiente de presión relativa | p | ![]() | | |
| coeficiente de presión | b | b = dp/dt | pascal por kelvin | Pa/K |
| compresibilidad isotérmica | kT | ![]() | pascal recíproco | Pa-1 |
| compresibilidad isentrópica | kS | ![]() | | |
| calor, cantidad de calor | ![]() | | joule | J |
| flujo térmico | F | Flujo de calor a través de una superficie | watt | W |
| densidad de flujo térmico | q, j | Flujo térmico dividido por el área considerada | watt por metro cuadrado | W/m2 |
| conductividad térmica | l, (x) | Densidad de flujo térmico dividido por el gradiente de temperatura | watt por metro kelvin | W/(m·K) |
| coeficiente de transferencia de calor | h, k, K, a | Densidad de flujo térmico dividido por la diferencia de temperaturas | watt por metro cuadrado kelvin | W/(m2·K) |
| aislamiento térmico, coeficiente de aislamiento térmico | M | Diferencia de temperaturas dividida por la densidad de flujo térmico | metro cuadrado kelvin por watt | (m2·K)/W |
| resistencia térmica | R | Diferencia de temperatura dividida por el flujo térmico | kelvin por watt | K/W |
| difusividad térmica | a | ![]() en donde: l es la conductividad térmica; r es la densidad; cp es la capacidad térmica específica a presión constante | metro cuadrado por segundo | m2/s |
| capacidad térmica | C | Cuando la temperatura de un sistema se incremente una cantidad diferencial dT, como resultado de la adición de una pequeña cantidad de calor dQ, la magnitud dQ/dT es la capacidad térmica | joule por kelvin | J/K |
| entropía | S | Cuando una cantidad pequeña de calor dQ es recibida por un sistema cuya temperatura termodinámica es T, la entropía del sistema se incrementa en dQ/T, considerando que ningún cambio irreversible tiene lugar en el sistema | | |
| capacidad térmica másica | C | Capacidad térmica dividida por la masa | joule por kilogramo kelvin | J/(kg·K) |
| entropía másica | s | Entropía dividida por la masa | | |
| capacidad térmica másica a presión constante | cp | | | |
| capacidad térmica másica a volumen constante | cv | | | |
| capacidad térmica másica a saturación | csat | | | |
| energía | U, (E) | H = U + pV | joule | J |
| entalpía | H, (I) | A = U-TS | | |
| energía libre Helmholtz, función Helmholtz | A, F | G = U + pV -TS | | |
| energía libre Gibbs, función Gibbs | G | G = H-TS | | |
| energía másica | u, (e) | Energía interna dividida por la masa | joule por kilogramo | J/kg |
| entalpía másica | h | Entalpía dividida por la masa | | |
| energía libre másica Helmholtz, función másica Helmholtz | a, f | Energía libre Helmholtz dividida por la masa | | |
| energía libre másica Gibbs, función másica Gibbs | g | Energía libre Gibbs dividida por la masa | | |
| función Massieu | J | J =-A/T | joule por kelvin | J/K |
| función Planck | Y | Y =-G/T | joule por kelvin | J/K |
| Magnitud | Símbolo de la magnitud | Definición de la magnitud | Unidad SI | Símbolo de la unidad SI |
| corriente eléctrica | I | | ampere (ver Tabla 1) | A |
| carga eléctrica, cantidad de electricidad | ![]() | Integral de la corriente eléctrica con respecto al tiempo | coulomb | C |
| densidad de carga densidad volumétrica de carga | r, (h) | Carga dividida por el volumen | coulomb por metro cúbico | C/m3 |
| densidad superficial de carga | s | Carga dividida por el área superficial | coulomb por metro cuadrado | C/m2 |
| intensidad de campo eléctrico | E, (K) | Fuerza ejercida por un campo eléctrico sobre una carga eléctrica puntual, dividida por el valor de la carga | volt por metro | V/m |
| potencial eléctrico | V, j | Para campos electrostáticos, una magnitud escalar, en la cual el gradiente tiene signo contrario y es igual al valor de la intensidad de campo eléctrico E =-grad V | volt | V |
| diferencia de potencial eléctrico, tensión eléctrica | U, (V) | La tensión entre dos puntos 1 y 2 es la integral de línea desde el punto 1 hasta el punto 2 de la intensidad de campo eléctrico ![]() | | |
| fuerza electromotriz | E | La fuerza electromotriz de una fuente es la energía suministrada por la fuente dividida por la carga eléctrica que pasa a través de la fuente | | |
| densidad de flujo eléctrico, desplazamiento eléctrico | D | La densidad de flujo eléctrico es una magnitud vectorial, cuya divergencia es igual a la densidad de la carga | coulomb por metro cuadrado | C/m2 |
| flujo eléctrico, (flujo de desplazamiento) | y | El flujo eléctrico a través de un elemento de superficie es el producto escalar del elemento de superficie y la densidad de flujo eléctrico | coulomb | C |
| capacitancia | C | Carga dividida por la diferencia de potencial eléctrico | farad | F |
| permitividad | e | Densidad de flujo eléctrico dividido por la intensidad de campo eléctrico | farad por metro | F/m |
| permitividad del vacío, constante eléctrica | e0 | ![]() e0 = 8,854 187 817 x 10-12 F/m | | |
| permitividad relativa | eT | eT = e / e0 | uno | 1 |
| susceptibilidad eléctrica | c , ce | c = eT-1 | uno | 1 |
| polarización eléctrica | P | P = D-e0E | coulomb por metro cuadrado | C/m2 |
| momento dipolo eléctrico | p, (pe) | El momento dipolo eléctrico es una magnitud vectorial, cuyo producto vectorial con la intensidad de campo eléctrico es igual al momento torsional | coulomb metro | C·m |
| densidad de corriente | J, (S) | Es una magnitud vectorial cuya integral evaluada para una superficie especificada, es igual a la corriente total que circula a través de dicha superficie | ampere por metro cuadrado | A/m2 |
| densidad lineal de corriente | A, (a) | Corriente dividida por el espesor de la placa conductora | ampere por metro | A/m |
| intensidad de campo magnético | H | La intensidad de campo magnético es una magnitud vectorial axial cuya rotacional es igual a la densidad de corriente, incluyendo a la corriente de desplazamiento | ampere por metro | A/m |
| diferencia de potencial magnético | Um | La diferencia de potencial magnético entre el punto y el punto 2 es igual a la integral de línea, desde el punto 1 hasta punto 2 de la intensidad de campo magnético a lo largo de su trayectoria. | ampere | A |
| fuerza magnetomotriz | F, Fm | ![]() | | |
| corriente totalizada | Q | Corriente eléctrica neta de conducción neta a través de un bucle cerrado | | |
| densidad de flujo magnético, inducción magnética | B | La densidad de flujo magnético es una magnitud vectorial axial tal que la fuerza ejercida sobre un elemento de corriente, es igual al producto vectorial de este elemento y la densidad de flujo magnético | tesla | T |
| flujo magnético | F | El flujo magnético que atraviesa un elemento de superficie es igual al producto escalar del elemento de superficie y la densidad de flujo magnético | weber | Wb |
| potencial vectorial magnético | A | El potencial vectorial magnético es una magnitud vectorial, cuya rotacional es igual a la densidad de flujo magnético | weber por metro | Wb/m |
| autoinductancia | L | En una espiral conductora, es igual al flujo magnético de la espiral, causada por la corriente que circula a través de ella, dividido por esa corriente | henry | H |
| inductancia mutua | M, L12 | En dos espirales conductoras es el flujo magnético a través de una espiral producido por la corriente circulante en la otra espiral dividido por el valor de esta corriente | | |
| coeficiente de acoplamiento | k, (x) | ![]() | uno | 1 |
| coeficiente de dispersión | s | s = 1-k2 | | |
| permeabilidad | m | Densidad de flujo magnético, dividida por la intensidad de campo magnético | henry por metro | H/m |
| permeabilidad del vacío, constante magnética | m0 | m0 = 4p x 10-7 H/m m0 = (12,566 370 614) x 10-7 H/m | | |
| permeabilidad relativa | mr | mr = m / m0 | uno | 1 |
| susceptibilidad magnética | x, (cm) | x = mr-1 | uno | 1 |
| momento electromagnético (momento magnético) | m | El momento electromagnético es una magnitud vectorial, cuyo producto vectorial con la densidad del flujo magnético es igual al momento torsional | ampere metro cuadrado | A·m2 |
| magnetización | M, (Hj) | M = ( B/m0 )-H | ampere por metro | A/m |
| polarización magnética | J, (Bj) | J = B-m0H | tesla | T |
| densidad de energía electromagnética | w | Energía del campo electromagnético dividida por el volumen | joule por metro cúbico | J/m3 |
| vector de Poynting | S | El vector de Poynting es igual al producto vectorial de la intensidad de campo eléctrico y la intensidad de campo magnético | watt por metro cuadrado | W/m2 |
| velocidad de propagación de ondas electromagnéticas en el vacío | co | ![]() co = 299 792 458 m/s | metro por segundo | m/s |
| resistencia (a la corriente continua) | R | La diferencia de potencial eléctrico dividida por la corriente, cuando no existe fuerza electromotriz en el conductor | ohm | |
| conductancia (a la corriente continua) | G | G = 1/R | siemens | S |
| potencia (a la corriente continua) | P | P = UI | watt | W |
| resistividad | r | Intensidad de campo eléctrico dividido por la densidad de corriente cuando no existe fuerza electromotriz dentro del conductor | ohm metro | m |
| conductividad | g, s | g = 1/r el símbolo k se utiliza en electroquímica | siemens por metro | S/m |
| reluctancia | R, Rm | Diferencia de potencial magnético dividido por el flujo magnético | henry a la menos uno | H-1 |
| permeancia | L, (P) | L = 1/ Rm | henry | H |
| diferencia de fase desplazamiento de fase | j | Cuando u = um cos wt e i = im cos (wt-j) j es el desplazamiento de fase | Radián uno | rad 1 |
| impedancia, (impedancia compleja) | Z | La representación compleja de la diferencia de potencial, dividida por la representación compleja de la corriente | ohm | |
| módulo de impedancia (impedancia) | IZI | ![]() | | |
| reactancia | X | Parte imaginaria de la impedancia ![]() | ohm | |
| resistencia | R | La diferencia de potencial eléctrico dividido por la corriente, cuando no haya fuerza electromotriz en el conductor (ver resistencia a la corriente continua) | | |
| resistencia (en corriente alterna) | R | Parte real de la impedancia | | |
| factor de calidad | Q | Para un sistema no radiante si Z = R + jX entonces: Q = IXI / R | uno | 1 |
| admitancia (admitancia compleja) | Y | Y = 1/ Z | siemens | S |
| módulo de admitancia (admitancia) | IYI | ![]() | | |
| susceptancia | B | Parte imaginaria de la admitancia | | |
| conductancia | G | Parte real de la admitancia (ver conductancia a la corriente continua) | | |
| potencia activa o potencia instantánea | P | Producto de la corriente y la diferencia de potencial ![]() Cuando: ![]() | watt | W |
| potencia aparente | S (PS) | IU es la potencia aparente | voltampere | VA |
| potencia reactiva | Q (PQ) | IU sen j es la potencia reactiva | var | var |
| factor de potencia | l | El nombre "factor de potencia" (símbolo l) se usa para la relación P/S | uno | 1 |
| Magnitud | Símbolo de la magnitud | Definición de la magnitud | Unidad SI | Símbolo de la unidad SI |
| frecuencia | f, v | Número de ciclos dividido por el tiempo | hertz | Hz |
| frecuencia circular | w | w = 2pf | segundo recíproco | s-1 |
| longitud de onda | l | La distancia en la dirección de propagación de una onda periódica entre dos puntos sucesivos cuya fase es la misma | metro | m |
| número de onda | s | s = 1/l | metro recíproco | m-1 |
| número de onda circular | k | k = 2p | | |
| velocidad de propagación de ondas electromagnética s en el vacío | c, c0 | c = 299 792 458 m/s | metro por segundo | m/s |
| energía radiante | Q, W (U, Qe) | Energía emitida, transferida o recibida como radiación | joule | J |
| densidad de energía radiante | w, (u) | Energía radiante en un elemento de volumen, dividido por ese elemento | joule por metro cúbico | J/m3 |
| concentración espectral de densidad de energía radiante (en términos de longitud de onda) | ![]() | La densidad de energía radiante en un intervalo infinitesimal de longitud de onda, dividido por el alcance de ese intervalo | joule por metro a la cuarta potencia | J/m4 |
| potencia radiante, flujo de energía radiante | P, F, (Fe) | Potencia emitida, transferida o recibida como radiación | watt | W |
| densidad de flujo radiante, razón de flujo de energía radiante | j, y | En un punto en el espacio, el flujo de energía radiante incidente sobre una esfera pequeña, dividida por el área de la sección transversal de esa esfera | watt por metro cuadrado | W/m2 |
| intensidad radiante | I, (Ie) | Para una fuente en una dirección determinada, la potencia radiante que fluye hacia el exterior de la fuente o un elemento de la fuente, en un elemento de ángulo sólido que contenga a la dirección dada, dividida por dicho elemento de ángulo sólido | watt por esterradián | W/sr |
| radiancia | L, (Le) | En un punto de una superficie y en una dirección determinada, la intensidad radiante de un elemento de esa superficie, dividida por el área de la proyección ortogonal de dicho elemento sobre un plano perpendicular a la dirección dada | watt por esterradián metro cuadrado | W/ (sr·m2 ) |
| excitancia radiante | M, (Me) | En un punto de una superficie, el flujo de energía radiante que fluye hacia el exterior de un elemento de esa superficie, dividido por el área de dicho elemento | watt por metro cuadrado | W/m2 |
| irradiancia | E, (Ee) | En un punto de una superficie, el flujo de energía radiante que incide sobre un elemento de esa superficie, dividida por el área de dicho elemento | watt por metro cuadrado | W/m2 |
| constante de Stefan Boltzmann | s | La constante s en la expresión para la excitancia radiante de un radiador total (cuerpo negro), a la temperatura termodinámica T. ![]() | watt por metro cuadrado kelvin a la cuarta potencia | W/ (m2·k4) |
| primera constante de radiación | c1 | Las constantes c1 y c2 en la expresión para la concentración espectral de la excitancia radiante de un radiador total a la temperatura termodinámica T: | watt metro cuadrado | W·m2 |
| segunda constante de radiación | c2 | ![]() c1 = 2phc2 c2 = hc / k | metro kelvin | m·K |
| emisividad | e | Relación de la excitancia radiante de un radiador térmico a la de un radiador total (cuerpo negro) a la misma temperatura | uno | 1 |
| emisividad espectral, emisividad a una longitud de onda específica | e(l) | Relación de la concentración espectral de la excitancia radiante de un radiador térmico a la de un radiador total (cuerpo negro) a la misma temperatura | | |
| emisividad espectral direccional | e(l, J, j) | Relación de la concentración espectral de radiancia en una dirección dada J, j, de un radiador térmico a la de un radiador total (cuerpo negro) a la misma temperatura | | |
| intensidad luminosa | I, (IV) | | candela (ver Tabla 1) | cd |
| flujo luminoso | f, (fV) | El flujo luminoso df de una fuente de intensidad luminosa I dentro de un elemento de ángulo sólido dW es: df = I dW | lumen | lm |
| cantidad de luz | Q, (QV) | Integral en función del tiempo del flujo luminoso | lumen segundo | lm·s |
| luminancia | L, (Lv) | La luminancia un punto de una superficie y en una dirección dada, se define como la intensidad luminosa de un elemento de esa superficie, dividida por el área de la proyección ortogonal de este elemento sobre un plano perpendicular a la dirección considerada | candela por metro cuadrado | cd/m |
| excitancia luminosa | M, (Mv) | La excitancia luminosa en un punto de una superficie, se define como el flujo luminoso que fluye hacia el exterior de un elemento de la superficie, dividido por el área de ese elemento | lumen por metro cuadrado | lm/m2 |
| luminosidad (iluminancia) | E, (Ev) | La luminosidad en un punto de una superficie, se define como el flujo luminoso que incide sobre un elemento de la superficie dividido por el área de ese elemento | lux | lx |
| exposición de luz | H | ![]() | lux segundo | lx·s |
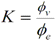
| eficacia luminosa | K | ![]() | lumen por watt | lm/W |
| eficacia espectral luminosa, eficacia luminosa a una longitud de onda específica | K(l) | ![]() | | |
| eficacia luminosa espectral máxima | Km | El valor máximo de K(l) | | |
| eficiencia luminosa | V | ![]() | uno | 1 |
| eficiencia luminosa espectral, eficiencia luminosa a una longitud de onda específicada | V(l) | ![]() | | |
| valores triestímulos espectrales CIE | ![]() | Valores triestímulos de las componentes espectrales de un estímulo equienergético en el sistema tricomático (XYZ). Estas funciones son aplicables a campos observación entre 1° y 4°. En este sistema: def ![]() | uno | 1 |
| coordenadas de cromaticidad | x, y, z | Para luz cuya concentración espectral de flujo radiante sea ![]() Análogamente se definen expresiones para y y z. Para fuentes de luz j (l)= fel (l) / fel (l0) (flujo radiante espectral relativo) Para colores de objetos se calcula por uno de los tres productos ![]() | uno | 1 |
| absorbancia espectral | ![]() | Relación de las concentraciones espectrales de los flujos radiantes absorbido e incidente | uno | 1 |
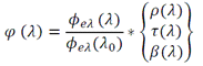
| reflectancia espectral | r(l) | Relación de las concentraciones espectrales de los flujos radiantes reflejado e incidente | | |
| transmitancia espectral | t(l) | Relación de las concentraciones espectrales de los flujos radiantes transmitido e incidente | uno | 1 |
| coeficiente de radiancia espectral | b(l) | El factor de radiancia espectral en un punto de una superficie y en una dirección dada, es el cociente entre las concentraciones espectrales de radiancia de un cuerpo no radiante por sí mismo y de un difusor perfecto, igualmente irradiados | | |
| coeficiente de atenuación lineal, coeficiente de extinción lineal | m | La disminución relativa en la concentración espectral del flujo luminoso o radiante de un haz colimado de radiación electromagnética al cruzar un medio laminar de espesor infinitesimal, dividida por la longitud atravesada | metro recíproco | m-1 |
| coeficiente de absorción lineal | a | La parte del coeficiente de atenuación debida a la absorción | | |
| coeficiente de absorción molar | x | x = a / c en donde c es la concentración de cantidad de sustancia | metro cuadrado por mol | m2/mol |
| índice de refracción | n | El índice de refracción de un medio no absorbente para una radiación electromagnética de frecuencia dada, es la relación entre la velocidad de las ondas (o de la radiación) en el vacío a la velocidad de fase en el medio | uno | 1 |
| Magnitud | Símbolo de la magnitud | Definición de la magnitud | Unidad SI | Símbolo de la unidad SI |
| período, tiempo periódico | T | Tiempo de un ciclo | segundo | s |
| frecuencia | f, v | f = 1 / T | hertz | Hz |
| intervalo de frecuencia | | El intervalo de frecuencia entre dos tonos es el logaritmo de la relación entre la frecuencia más alta y la frecuencia más baja | octava* | |
| frecuencia angular frecuencia circular, pulsantancia | w | w = 2pf | segundo recíproco | s-1 |
| longitud de onda | l | | metro | m |
| número de onda circular | k | ![]() en donde s = 1/l | metro recíproco | m-1 |
| densidad | r | Masa dividida por el volumen | kilogramo por metro cúbico | kg/m3 |
| presión estática | Ps | Presión que existiría en ausencia de ondas sonoras | pascal | Pa |
| presión acústica | p, (pa) | La diferencia entre la presión total instantánea y la presión estática | | |
| desplazamiento de una partícula de sonido | x, (´) | Desplazamiento instantáneo de una partícula del medio, referido a la posición que ocuparía en ausencia de ondas sonoras | metro | m |
| velocidad de una partícula de sonido | u, v | u = ¶ / ¶t | metro por segundo | m/s |
| aceleración de una partícula de sonido | a | a = ¶u / ¶t | metro por segundo al cuadrado | m/s2 |
| gasto volumétrico, velocidad del volumen | q, U | Razón instantánea de flujo de volumen debido a la onda sonora | metro cúbico por segundo | m3/s |
| velocidad del sonido | c, (ca) | Velocidad de una onda sonora | metro por segundo | m/s |
| densidad de energía del sonido | w, (wa), (e) | La energía de sonido promedio en un volumen dado, dividida por dicho volumen | joule por metro cúbico | J/m3 |
| flujo de energía del sonido, potencia del sonido | P, (Pa) | Energía del sonido transferida en un cierto intervalo de tiempo, dividida por la duración de ese intervalo | watt | W |
| intensidad del sonido | I, J | Para flujo unidireccional de energía de sonido, el flujo de energía de sonido a través de una superficie normal a la dirección de propagación, dividido por el área de esa superficie | watt por metro cuadrado | W/m2 |
| impedancia característica de un medio | ZC | Para un punto en un medio y una onda progresiva plana, la representación compleja de la presión de sonido dividida por la representación compleja de la velocidad de partícula | pascal segundo por metro | Pa·s/m |
| impedancia acústica específica | ZS | En una superficie, la representación compleja de la presión de sonido dividida por la representación compleja de la velocidad de partícula | | |
| impedancia acústica | Za | En una superficie, la representación compleja de la presión de sonido dividida por la representación compleja de la razón de flujo de volumen | pascal segundo por metro cúbico | Pa·s/m3 |
| impedancia mecánica | Zm | La representación compleja de la fuerza total aplicada a una superficie (o a un punto) de un sistema mecánico, dividida por la representación compleja de la velocidad promedio de la partícula en esa superficie (o de la velocidad de la partícula en ese punto) en la dirección de la fuerza | newton segundo por metro | N·s/m |
| nivel de presión acústica | Lp | Lp = ln (p/p0) = ln 10·lg (p/p0) en donde p es el valor cuadrático medio de la presión acústica y el valor de referencia p0 es igual a 20 µPa | decibel | dB |
| nivel de potencia acústica | LW | LW= ½ ln(P/P0) = ½ ln 10·lg(P/P0) en donde P es el valor cuadrático de la potencia acústica y la potencia de referencia es igual a 1 pW | decibel | dB |
| coeficiente de amortiguamiento | d | Si una magnitud es una función del tiempo t, dada por: ![]() entonces d es el coeficiente de amortiguamiento | segundo recíproco | s-1 |
| constante de tiempo, tiempo de relajación | t | ![]() en donde d es el coeficiente de amortiguamiento | segundo | s |
| decrecimiento logarítmico | L | Producto del coeficiente de amortiguamiento por el período | néper | Np |
| coeficiente de atenuación | a | Si una magnitud es una función de la distancia x y está dada por: ![]() entonces a es el coeficiente de atenuación y b es el coeficiente de fase | metro recíproco | m-1 |
| coeficiente de fase | b | | metro recíproco | m-1 |
| coeficiente de propagación | g | g = a + jb | | |
| coeficiente de disipación | d, (y) | Relación entre el flujo de energía acústica disipado y el flujo de energía acústica incidente | uno | 1 |
| coeficiente de reflexión | r, r | Relación entre el flujo de energía acústica reflejado y el flujo de energía acústica incidente | | |
| coeficiente de transmisión | t | Relación entre el flujo de energía acústica transmitido y el flujo de energía acústica incidente | | |
| coeficiente de absorción acústica | a, (aa) | a = d + t | | |
| índice de reducción acústica, pérdida de transmisión acústica | R | R= ½ ln(1/t) = ½ ln 10·lg(1/t) en donde t es el coeficiente de transmisión | decibel | dB |
| área de absorción equivalente de una superficie u objeto | A | Es el área de una superficie que tiene un coeficiente de absorción igual a 1, y que absorbe la misma potencia en el mismo campo sonoro difuso, considerando los efectos de la difracción como despreciables | metro cuadrado | m2 |
| tiempo de reverberación | T | El tiempo que se requiere para que la densidad de energía de sonido promedio dentro de un recinto cerrado disminuya hasta 10-6 veces su valor inicial (o sea 60 dB), después de que la fuente ha dejado de producir ondas sonoras | segundo | s |
| nivel de sonoridad | LN | El nivel de sonoridad, en un punto de un campo sonoro, viene definido por: ![]() en donde Peff es la presión acústica eficaz (valor cuadrático medio) de un tono puro normalizado de 1 kHz, que un observador normal en condiciones de escucha normalizada juzga igualmente sonoro que el campo considerado, siendo P0 = 20 mPa | fon* | |
| sonoridad | N | La sonoridad es la estimación auditiva de un observador normal de la relación entre la intensidad del sonido considerado y el de un sonido de referencia que tiene un nivel de sonoridad de 40 fons | son* | |
| * Estas unidades no son del SI pero se acepta temporalmente su uso con el SI. | ||||
| Magnitud | Símbolo de la magnitud | Definición de la magnitud | Unidad SI | Símbolo de la unidad SI |
| cantidad de sustancia | n, (v) | | mol (ver Tabla 1) | mol |
| constante de Avogadro | L,NA | Número de moléculas dividido por la cantidad de sustancia NA = N/n= (6,022 141 99 ± 0,000 000 47) 1023 mol-1 | mol recíproco | mol-1 |
| masa molar | M | Masa dividida por la cantidad de sustancia | kilogramo por mol | kg/mol |
| volumen molar | Vm | Volumen dividido por la cantidad de sustancia | metro cúbico por mol | m3/mol |
| energía interna molar | Um | Energía interna dividida por la cantidad de sustancia | joule por mol | J/mol |
| capacidad térmica molar | Cm | Capacidad térmica dividida por la cantidad de sustancia | joule por mol kelvin | J/(mol·K) |
| entropía molar | Sm | Entropía dividida por la cantidad de sustancia | joule por mol kelvin | J/(mol·K) |
| densidad numérica de moléculas | n | El número de moléculas o partículas dividido por el volumen | metro cúbico recíproco | m-3 |
| concentración molecular de la sustancia B | CB | El número de moléculas de la sustancia B dividido por el volumen de la mezcla | | |
| densidad | r | Masa dividida por el volumen | kilogramo por metro cúbico | kg/m3 |
| concentración en masa de la sustancia B | rB | Masa de la sustancia B dividida por el volumen de la mezcla | | |
| concentración de la sustancia B, concentración de la cantidad de la sustancia del componente B | cB | Cantidad de sustancia de componente B dividida por el volumen de la mezcla | mol por metro cúbico | mol/m3 |
| molalidad de la sustancia soluto B | bB, mB | La cantidad de sustancia de soluto de la sustancia B en una solución dividida por la masa del solvente | mol por kilogramo | mol/kg |
| potencial químico de la sustancia B | mB | Para una mezcla con sustancias componentes B, C, . . ., mB = (¶G/¶nB)T, p,nC, . . . , en donde nB es la cantidad de la sustancia B; y G es la función Gibbs | joule por mol | J/mol |
| presión parcial de la sustancia B (en una mezcla gaseosa) | pB | Para una mezcla gaseosa, pB = xB·p en donde p es la presión | pascal | Pa |
| fugacidad de la sustancia B (en una mezcla gaseosa) | PB, fB | Para una mezcla gaseosa, fB es proporcional a la actividad absoluta B. El factor de proporcionalidad, que es función únicamente de la temperatura queda determinado por la condición de que a temperatura y composición constantes pB/pB tiende a 1 para un gas infinitamente diluido | pascal | Pa |
| presión osmótica | P | El exceso de presión que se requiere para mantener el equilibrio osmótico entre una solución y el disolvente puro, separados por una membrana permeable sólo para el disolvente | pascal | Pa |
| afinidad (de una reacción química) | A | A = -SvB·mB | joule por mol | J/mol |
| masa de una molécula | m | | kilogramo | kg |
| momento dipolo eléctrico de una molécula | r, m | El momento de dipolo eléctrico de una molécula es una magnitud vectorial cuyo producto vectorial con la intensidad de campo eléctrico es igual al par | coulomb metro | C·m |
| polarizabilidad eléctrico de una molécula | a | Momento de dipolo eléctrico inducido dividido por la intensidad de campo eléctrico | coulomb metro cuadrado por volt | C·m2/V |
| constante molar de los gases | R | La constante universal de proporcionalidad en la ley de un gas ideal pVm = RT R = (8,314 472 ± 0,000 015) J/(mol·K) | joule por mol kelvin | J/mol·K |
| constante de Boltzmann | k | k = R / NA k = (1,380 650 3 ± 0,000 002 4) ´ 10-23 J/K | joule por kelvin | J/K |
| trayectoria libre media | l , l | Para una molécula, la distancia promedio entre dos colisiones sucesivas | metro | m |
| coeficiente de difusión | D | CB (vB) =-D grad CB en donde CB es la concentración molecular local del constituyente B en la mezcla y (vB) es la velocidad media local de las moléculas de B | metro cuadrado por segundo | m2/s |
| coeficiente de difusión térmica | DT | DT = kT·D | metro cuadrado por segundo | m2/s |
| número atómico | Z | Número de protones contenidos en el núcleo de un elemento químico | | |
| carga elemental | e | La carga eléctrica de un protón La carga eléctrica de un electrón es igual a "-e" e = (1,602 176 462 ± 0,000 000 063) ´ 10-19 C | coulomb | C |
| número de carga de un ion, electrovalencia | z | Coeficiente entre la carga de un ion y la carga elemental | uno | 1 |
| constante de Faraday | F | F = NAe F = (96 485,341 5 ± 0,003 9) C/mol | coulomb por mol | C/mol |
| fuerza iónica | I | La fuerza iónica de una solución de define como I = (1/2) Szi2mi en donde la sumatoria incluye a todos los iones con molalidad mi | mol por kilogramo | mol/kg |
| conductividad electrolítica | x , s | La densidad de corriente electrolítica dividida por la intensidad de campo eléctrico | siemens por metro | S/m |
| conductividad molar | Lm | Conductividad dividida por la concentración | siemens metro cuadrado por mol | S·m2/mol |
| Magnitud | Símbolo de la magnitud | Definición de la magnitud | Unidad SI | Símbolo de la unidad SI |
| número atómico, número protónico | Z | Número de protones contenidos en el núcleo de un elemento químico | uno | 1 |
| número neutrónico | N | Número de neutrones contenidos en el núcleo de un núclido | uno | 1 |
| número nucleónico número másico | A | Número de nucleones contenidos en el núcleo de un núclido | uno | 1 |
| masa del átomo, masa nuclídica | ma, m(X) | Masa en reposo de un átomo en estado fundamental Para el 1H m(1H) = (1,673 534 0 ± 0,000 001 0) ´ 10-27 kg = (1,007 825 048 ± 0,000 000 012) u* | kilogramo unidad de masa atómica (unificada) | kg u* |
| número atómico, número protónico | Z | Número de protones contenidos en el núcleo de un elemento químico | uno | 1 |
| número neutrónico | N | Número de neutrones contenidos en el núcleo de un núclido | uno | 1 |
| número nucleónico número másico | A | Número de nucleones contenidos en el núcleo de un núclido | uno | 1 |
| masa del átomo, masa nuclídica | ma, m(X) | Masa en reposo de un átomo en estado fundamental Para el 1H m(1H) = (1,673 534 0 ± 0,000 001 0) ´ 10-27 kg = (1,007 825 048 ± 0,000 000 012) u* | kilogramo unidad de masa atómica (unificada) | kg u* |
| constante de masa atómica (unificada) | mu | 1/12 de la masa en reposo de un átomo neutro del núclido 12C en el estado fundamental mu = (1,660 540 2 ± 0,000 001 0) ´ 10-27 kg = 1 u* ma / mu = se llama masa nuclídica relativa | | |
| masa (en reposo) del electrón | me | me = (9,109 381 88 ± 0,000 000 72) x 10-31 kg | kilogramo | kg |
| masa (en reposo) del protón | mp | mp = (1,672 621 58 ± 0,000 000 13) ´ 10-27 kg | | |
| masa (en reposo) del neutrón | mn | mn = (1,674 927 16 ± 0,000 000 13) x 10-27 kg | | |
| carga elemental | e | La carga eléctrica de un protón es: e = (1,602 176 462 ± 0,000 000 49) ´ 10-19 C | coulomb | C |
| constante de Plank | h | Cuanto elemental de acción h = (6,626 068 76 ± 0,000 000 52) ´ 10-34 J·s h = h/2p ![]() | joule segundo | J·s |
| radio de Bohr | a0 | a0 = (0,529 177 2083 ± 0,000 000 001924) ´ 10- 10 m | metro | m |
| constante de Rydberg | ![]() | ![]() = (10 973 731, 568 549 ± 0,000 083) m-1 | metro recíproco | m-1 |
| energía de Hartree | Eh | ![]() = (4,359 743 81± 0,000 000 34) ´ 10-18 J | joule | J |
| momento magnético de una partícula o núcleo | m | Valor medio del componente electromagnético en la dirección del campo magnético en el estado cuántico correspondiente al número cuántico magnético máximo | ampere metro cuadrado | A·m2 |
| magnetón de Bohr | mB | mB = eh /2me = (9,274 015 4 ± 0,000 003 1) x 10 -24 A·m2 | | |
| magnetón nuclear | mN | mN = eh /2mp = (me / mp) mB = (5,050 786 6 ± 0,000 0001 7) x 10-27 A·m2 | | |
| coeficiente giromagnético (razón giromagnética) | g | ![]() en donde J es el número cuántico del momento angular | ampere metro cuadrado por joule segundo | A·m2/(J·s) |
| factor g del átomo o del electrón | g | ![]() | uno | 1 |
| factor g del núcleo o de la partícula nuclear | g | ![]() | | |
| frecuencia angular de Larmor (frecuencia circular de Larmor) | wL | ![]() en donde B es la densidad de flujo magnético | radián por segundo | rad/s |
| frecuencia angular de precesión nuclear | wN | wN = gB | segundo recíproco | s-1 |
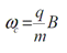
| frecuencia angular ciclotrónica (frecuencia circular ciclotrónica) | wC | ![]() en donde: q/m es la razón de carga a la masa de la partícula B es la densidad de flujo magnético | segundo recíproco | s-1 | |
| momento cuadrupolar nuclear | Q | Valor esperado de la magnitud ![]() en el estado cuántico con el espín nuclear en la dirección (z) del campo; r(x, y, z) es la densidad de carga nuclear y "e" es la carga elemental | metro cuadrado | m2 | |
| radio nuclear | R | El radio promedio del volumen en el que la materia nuclear es incluida | metro | m | |
| número cuántico de momento angular orbital, número cuántico secundario, número cuántico acimutal | li, L | | uno | 1 | |
| número cuántico de espín | si, S | | uno | 1 | |
| número cuántico de espín total | ji, J | | uno | | |
| número cuántico de espín nuclear | I | | uno | 1 | |
| número cuántico de estructura hiperfina | F | | uno | 1 | |
| número cuántico principal | n | | uno | 1 | |
| número cuántico magnético | mi, M | | uno | 1 | |
| radio del electrón | re | ![]() = 2,817 940 92 ± 0,000 000 38 1 ´ 10-15 m | metro | m |
| longitud de onda de Comptón | lC | lC = 2ph / mc = h/mc en donde m es la masa en reposo de la partícula | metro | m |
| exceso de masa | D | D = ma-Amu | kilogramo | kg |
| defecto de masa | B | B = Zm(1H) + Nmn-ma | | |
| exceso relativo de masa | Dr | Dr = D/mu | uno | 1 |
| defecto relativo de masa | Br | Br = B/mu | | |
| fracción de empaquetamiento | f | f = Dr /A | uno | 1 |
| fracción de enlace, energía de enlace por nucleón | b | b = Br /A | | |
| vida promedio | t | Para decaimiento exponencial, el tiempo promedio requerido para reducir el número N de átomos o núcleos de un estado específico hasta N/e | segundo | s |
| ancho de nivel | G | ![]() | joule | J |
| actividad (radiactividad) | A | El número promedio de transiciones nucleares espontáneas ocurridas en una cierta cantidad de un radionúclido dentro de un corto intervalo de tiempo, dividido por el valor de ese intervalo | becquerel | Bq |
| actividad específica en una muestra | a | La actividad de un núclido radioactivo presente en una muestra, dividida por la masa total de la muestra | becquerel por kilogramo | Bq/kg |
| constante de desintegración, constante de decaimiento | l | La constante de decaimiento es la probabilidad de decaimiento en un pequeño intervalo de tiempo dividido por este intervalo. dN/dt =-lN en donde: N es el número de átomos radiactivos en el tiempo t l = 1/t | segundo recíproco | s-1 |
| vida media | T½ | Para declinación exponencial, el tiempo promedio requerido para la desintegración de la mitad de los átomos de una muestra de un núclido radiactivo | segundo | s |
| energía de desintegración alfa | ![]() | La suma de la energía cinética de la partícula a producida en el proceso de desintegración y la energía residual del átomo producido en el marco de referencia en que el núcleo emisor está en reposo antes de su desintegración | joule | J |
| energía máxima de partícula beta | ![]() | La energía máxima del espectro de energía en un proceso de desintegración beta | joule | J |
| energía de desintegración beta | ![]() | La suma de la energía máxima de partícula beta y la energía residual del átomo producido en el marco de referencia en que el núcleo emisor se encuentra en reposo antes de su desintegración | joule | J |
| * Esta unidad no es del SI pero se permite su uso temporalmente. | ||||
| Magnitud | Símbolo de la magnitud | Definición de la magnitud | Unidad SI | Símbolo de la unidad SI |
| energía de reacción | Q | En una reacción nuclear, la suma de las energías cinética y radiante de los productos de la reacción, menos la suma de las energías cinética y radiante de los reactivos. | joule | J |
| energía de resonancia | Er , Eres | La energía cinética de una partícula incidente, en el marco de la referencia del objetivo, correspondiente a una resonancia en una reacción nuclear | joule | J |
| sección transversal | s | Para una entidad objetivo especificada y para una reacción o proceso especificado por partículas incidentes cargadas o descargadas de energía y tipo especificado, la sección transversal es el cociente de la probabilidad de esta reacción o proceso para esta entidad objetivo y la fluencia de partícula de las partículas incidentes | metro cuadrado | m2 |
| sección transversal total | stot , sT | La suma de todas las secciones transversales correspondientes a las diversas reacciones o procesos ocurridos entre la partícula incidente y la partícula objetivo | | |
| sección transversal angular | ![]() | Sección transversal necesaria para disparar o dispersar una partícula dentro de un elemento de ángulo sólido, dividido por dicho elemento ![]() | metro cuadrado por esterradián | m2/sr |
| sección transversal espectral | sE | Sección transversal para un proceso en el que la energía de la partícula disparada o dispersada está en un elemento de energía, dividida por ese elemento ![]() | metro cuadrado por joule | m2/J |
| sección transversal angular espectral | ![]() | Sección transversal necesaria para disparar o dispersar una partícula dentro de un elemento de ángulo sólido, con energía en un elemento de energía, dividida por el producto de estos dos elementos ![]() | metro cuadrado por esterradián joule | m2/(sr·J) |
| sección transversal macroscópica, densidad de sección transversal | S | La suma de las secciones transversales de una reacción o proceso de un tipo específico, para todos los átomos de un volumen dado, dividida por ese volumen | metro recíproco | m-1 |
| sección transversal macroscópica total, densidad de sección transversal total | Stot, ST | La suma total de las secciones transversales para todos los átomos en un volumen dado, dividido por ese volumen | | |
| fluencia de partícula | F | En un punto dado del espacio, el número de partículas incidentes sobre una pequeña esfera en un intervalo de tiempo, dividido por el área de la sección transversal de esa esfera | metro cuadrado recíproco | m-2 |
| tasa de fluencia de partículas, densidad de flujo de partículas | j | ![]() | metro cuadrado recíproco por segundo | m-2/s |
| fluencia de energía | y | En un punto dado en el espacio, la suma de las energías, excluyendo la energía en reposo, de todas las partículas incidentes sobre una pequeña esfera en un intervalo de tiempo, dividida por el área seccional transversal de esa esfera | joule por metro cuadrado | J/m2 |
| tasa de fluencia de energía, densidad de flujo de energía | y | ![]() | watt por metro cuadrado | W/m2 |
| densidad de corriente de partículas | J, (S) | La integral de una magnitud vectorial cuya componente normal sobre cualquier superficie, es igual al número "neto" de partículas pasando a través de esa superficie en un pequeño intervalo de tiempo, dividido por ese intervalo | metro cuadrado recíproco por segundo | m-2/s |
| coeficiente de atenuación lineal | m, ml | ![]() en donde J es la densidad de corriente de un haz de partículas paralelo a la dirección x | metro recíproco | m-1 |
| coeficiente de atenuación másica | mm | El coeficiente de atenuación lineal dividido por la densidad de masa de la sustancia | metro cuadrado por kilogramo | m2/kg |
| coeficiente de atenuación molar | mc | mc = m/c en donde c es la concentración de cantidad de sustancia | metro cuadrado por mol | m2/mol |
| coeficiente de atenuación atómica | ma, mat | ma = m/n en donde n es la densidad numérica de átomos en la sustancia | metro cuadrado | m2 |
| espesor medio, valor medio de espesor, capa hemirreductora | d½ | El espesor de la capa atenuadora que reduce la densidad de corriente de un haz unidireccional a la mitad de su valor inicial | metro | m |
| potencia de detención lineal total, poder de frenado lineal total | S , S1 | Para una partícula cargada ionizante de energía E, moviéndose en la dirección x S =-dE/dx | joule por metro | J/m |
| potencia de detención atómica total, poder de frenado atómico total | Sa | Sa = S/n en donde n es la densidad numérica de átomos en la sustancia | joule metro cuadrado | J·m2 |
| potencia de detención másica total, poder frenado másico total | Sm | La potencia de detención lineal total dividida por la densidad de masa de la sustancia | joule metro cuadrado por kilogramo | J·m2/kg |
| alcance lineal medio | R , Rl | La distancia que una partícula penetra en una sustancia dada, bajo condiciones específicas promediadas de un grupo de partículas que tiene la misma energía | metro | m |
| alcance másico medio | ![]() | El alcance lineal medio multiplicado por la densidad de masa de la sustancia | kilogramo por metro cuadrado | kg/m2 |
| ionización lineal por una partícula | Nil | El número de cargas elementales del mismo signo, producidas en un elemento de la longitud de la trayectoria de una partícula cargada ionizante dividido por ese elemento | metro recíproco | m-1 |
| pérdida promedio de energía por par de iones formados | Wj | La energía cinética inicial de una partícula cargada ionizante, dividida por la ionización total de esa partícula | joule | J |
| movilidad | m | La velocidad de arrastre promedio impartida por un campo eléctrico o una partícula cargada en un medio, dividido por la intensidad del campo | metro cuadrado por volt segundo | m2/(V·s) |
| densidad numérica de iones, densidad de iones | n+, n- | El número de iones positivos o negativos de un elemento de volumen, dividido por ese elemento | metro cúbico recíproco | m-3 |
| coeficiente de recombinación | a | Coeficiente en la Ley de recombinación ![]() | metro cúbico por segundo | m3/s |
| densidad numérica de neutrones | n | El número de neutrones libres en un elemento de volumen, dividido por ese elemento | metro cúbico recíproco | m-3 |
| rapidez del neutrón | v | La magnitud de la velocidad neutrónica | metro por segundo | m/s |
| densidad de flujo de neutrones, rapidez de flujo de neutrones | j | En un punto dado en el espacio, el número de neutrones incidentes sobre una pequeña esfera, en un pequeño intervalo de tiempo, dividido por el área de sección transversal de esa esfera y por el intervalo de tiempo | metro cuadrado recíproco por segundo | m-2/s |
| coeficiente de difusión, coeficiente de difusión para la densidad numérica de neutrones | D, Dn | Jx = -Dn¶n/¶x en donde: Jx es la componente x de la densidad de corriente de neutrones n es la densidad numérica de neutrones | metro cuadrado por segundo | m2/s |
| coeficiente de difusión para la densidad de flujo de neutrones, coeficiente de difusión para rapidez de fluencia de neutrones | ![]() | ![]() en donde: Jx es la componente x de la densidad de corriente neutrónica f es la densidad de flujo neutrónico | metro | m |
| densidad total de una fuente de neutrones | S | Razón de la producción de neutrones en un elemento de volumen, dividido por ese elemento | segundo recíproco metro cúbico recíproco | s-1·m-3 |
| densidad de frenado | q | La densidad numérica de neutrones retardados, pasando un valor de energía dado, durante un corto intervalo de tiempo, dividida por dicho intervalo | metro cúbico recíproco por segundo | m-3/s |
| probabilidad de escape a la resonancia | p | En medio infinito, probabilidad de que un neutrón, al frenarse a través de una zona energética donde existen resonancias, la rebase sin ser absorbido | uno | 1 |
| letargía | u | En el frenado de neutrones, logaritmo neperiano del cociente entre una energía de referencia E0, normalmente la máxima del neutrón, y la que este posee, E | uno | 1 |
| decaimiento logarítmico medio | x | Valor medio de la disminución del logaritmo neperiano de la energía de los neutrones en sus condiciones elásticas con núcleos cuya energía cinética es despreciable comparada con la de los neutrones | uno | 1 |
| trayectoria libre promedio | l, l | La distancia promedio que viaja una partícula entre dos reacciones o procesos específicos sucesivos | metro | m |
| área de retardamiento | L2s, L2sl | En un medio homogéneo infinito, la sexta parte de la distancia cuadrática media entre la fuente de un neutrón y el punto donde el neutrón alcanza una energía determinada | metro cuadrado | m2 |
| área de difusión | L2 | En un medio homogéneo infinito, la sexta parte de la distancia cuadrática media entre el punto donde el neutrón entra a una clase especificada y el punto donde abandona esta clase | | |
| área de migración | M2 | La suma del área de retardamiento de energía de fisión a energía térmica y el área de difusión para neutrones térmicos | | |
| longitud de retardamiento | Ls, Lsl | La raíz cuadrada del área de retardamiento | metro | m |
| longitud de difusión | L | La raíz cuadrada del área de difusión | | |
| longitud de migración | M | La raíz cuadrada del área de migración | | |
| rendimiento neutrónico de la fisión | v | En la fisión de un núclido determinado, promedio del número de neutrones, lo mismo inmediatos que diferidos, emitidos en cada fisión | uno | 1 |
| rendimiento neutrónico de la absorción | h | Promedio del número de neutrones de fisión, lo mismo inmediatos que diferidos, emitido por cada neutrón que se absorbe en un núclido fisionable o en un combustible nuclear, según se especifique | | |
| factor de fisión rápida | e | Para un medio infinito, razón entre el número medio de neutrones producidos por todas las fisiones y el de neutrones producidos exclusivamente por las fisiones térmicas | uno | 1 |
| factor de utilización térmica | f | Para un medio infinito, razón entre el número de neutrones térmicos absorbidos en un combustible nuclear, según se especifique, y el número total de neutrones térmicos absorbidos | uno | 1 |
| probabilidad de permanencia | L | Probabilidad de que un neutrón no escape del núcleo de un reactor durante el proceso de moderación o el de difusión en la zona térmica | uno | 1 |
| factor de multiplicación | k | Para un medio multiplicativo, razón entre el número total de neutrones producidos durante un intervalo de tiempo y el número total de neutrones perdidos por absorción y escape durante el mismo intervalo | uno | 1 |
| factor de multiplicación infinito, factor de multiplicación de un medio infinito | ![]() | Factor de multiplicación de un medio sin fugas neutrónicas | | |
| factor de multiplicación efectivo | keff | Factor de multiplicación correspondiente a un medio finito | | |
| reactividad | r | En un medio multiplicativo, medida de la desviación entre el estado del medio y su estado crítico ![]() | uno | 1 |
| constante de tiempo del reactor | T | El tiempo requerido para que la densidad de flujo neutrónico de un reactor cambie en un factor "e" cuando la densidad de flujo aumenta o disminuye exponencialmente | segundo | s |
| actividad | A | El número promedio de transacciones nucleares espontáneas ocurridas en una cierta cantidad de un radionúclido, dentro de un corto intervalo de tiempo, dividido por el valor de ese intervalo | becquerel | Bq |
| energía impartida | e | La energía impartida por radiación ionizante a la materia en un volumen, es, la diferencia entre la suma de las energías de todas las partículas directamente ionizantes (cargadas) e indirectamente ionizantes (sin carga) que han ocupado el volumen y la suma de las energías de todas aquellas que han salido de él, menos la energía equivalente de cualquier incremento de la masa en reposo que tenga lugar en reacciones de partículas elementales o nucleares | joule | J |
| energía impartida media | ![]() | El promedio de la energía impartida | joule | J |
| energía específica impartida | z | Para cualquier radiación ionizante la energía impartida a un elemento de materia irradiada, dividida por la masa de ese elemento | gray | Gy |
| dosis absorbida | D | Para cualquier radiación ionizante, la energía media impartida a un elemento de materia irradiada, dividida por la masa de este elemento | | |
| dosis equivalente | H | La dosis equivalente es el producto de D, Q, y N en el punto de interés, en donde D es la dosis absorbida, Q es el factor de calidad y la N es el producto de otros factores determinantes cualesquiera H = D·Q·N | sievert | Sv |
| rapidez de dosis absorbida | | Dosis absorbida en un pequeño intervalo de tiempo, dividida por este intervalo | gray por segundo | Gy/s |
| transferencia lineal de energía | L | Para una partícula cargada ionizante, la energía local impartida a una masa, a través de una pequeña distancia, dividida por esa distancia | Joule por metro | J/m |
| kerma | K | Para partículas indirectamente ionizantes (sin carga), la suma de las energías cinéticas iniciales de todas las partículas cargadas liberadas en un elemento de materia, dividida por la masa de ese elemento kerma en un pequeño intervalo de tiempo, dividido por ese intervalo | gray | Gy |
| rapidez de kerma | ![]() | ![]() | gray por segundo | Gy/s |
| coeficiente de transferencia de energía másica | mtr/r | Para un haz de partículas indirectamente ionizante (sin cargas) ![]() en donde y es la densidad de flujo de energía | metro cuadrado por kilogramo | m2/kg |
| exposición | X | Para radiación X o gamma, la carga eléctrica total de los iones del mismo signo producidos cuando todos los electrones liberados (negativos y positivos) por fotones en un elemento de aire son detenidos en el aire, dividida por la masa de ese elemento | coulomb por kilogramo | C/kg |
| rapidez de exposición | | Exposición en un pequeño intervalo de tiempo, dividida entre ese intervalo | coulomb por kilogramo segundo | C/(kg·s) |
| Número atómico | Nombre | Símbolo | |
| 1 | hidrógeno | H | |
| 2 | helio | He | |
| | |||
| 3 | litio | Li | |
| 4 | berilio | Be | |
| 5 | boro | B | |
| 6 | carbono | C | |
| 7 | nitrógeno | N | |
| 8 | oxígeno | O | |
| 9 | flúor | F | |
| 10 | neón | Ne | |
| | |||
| 11 | sodio | Na | |
| 12 | magnesio | Mg | |
| 13 | aluminio | Al | |
| 14 | silicio | Si | |
| 15 | fósforo | P | |
| 16 | azufre | S | |
| 17 | cloro | Cl | |
| 18 | argón | Ar | |
| | |||
| 19 | potasio | K | |
| 20 | calcio | Ca | |
| 21 | escandio | Sc | |
| 22 | titanio | Ti | |
| 23 | vanadio | V | |
| 24 | cromo | Cr | |
| 25 | manganeso | Mn | |
| 26 | hierro | Fe | |
| 27 | cobalto | Co | |
| 28 | níquel | Ni | |
| 29 | cobre | Cu | |
| 30 | zinc, cinc | Zn | |
| 31 | galio | Ga | |
| 32 | germanio | Ge | |
| 33 | arsénico | As | |
| 34 | selenio | Se | |
| 35 | bromo | Br | |
| 36 | criptón, kriptón | Kr | |
| | |||
| 37 | rubidio | Rb | |
| 38 | estroncio | Sr | |
| 39 | ytrio, itrio | Y | |
| 40 | circonio | Zr | |
| 41 | niobio | Nb | |
| 42 | molibdeno | Mo | |
| 43 | tecnecio | Tc | |
| 44 | rutenio | Ru | |
| 45 | rodio | Rh | |
| 46 | paladio | Pd | |
| 47 | plata | Ag | |
| 48 | cadmio | Cd | |
| 49 | indio | In | |
| 50 | estaño | Sn | |
| 51 | antimonio | Sb | |
| 52 | teluro, telurio | Te | |
| 53 | yodo | I | |
| 54 | xenón | Xe | |
| | |||
| 55 | cesio | Cs | |
| 56 | bario | Ba | |
| 57 | lantano | La | |
| 58 | cerio | Ce | |
| 59 | praseodimio | Pr | |
| 60 | neodimio | Nd | |
| 61 | prometio | Pm | |
| 62 | samario | Sm | |
| 63 | europio | Eu | |
| 64 | gadolinio | Gd | |
| 65 | terbio | Tb | |
| 66 | disprosio | Dy | |
| 67 | holmio | Ho | |
| 68 | erbio | Er | |
| | |||
| 69 | tulio | Tm | |
| 70 | iterbio | Yb | |
| 71 | lutecio | Lu | |
| 72 | hafnio | Hf | |
| 73 | tántalo, tantalio | Ta | |
| 74 | volframio, wolframio | W | |
| 75 | renio | Re | |
| 76 | osmio | Os | |
| 77 | iridio | Ir | |
| 78 | platino | Pt | |
| 79 | oro | Au | |
| 80 | mercurio | Hg | |
| 81 | talio | Tl | |
| 82 | plomo | Pb | |
| 83 | bismuto | Bi | |
| 84 | polonio | Po | |
| 85 | ástato | At | |
| 86 | radón | Rn | |
| 87 | francio | Fr | |
| 88 | radio | Ra | |
| 89 | actinio | Ac | |
| 90 | torio | Th | |
| 91 | protactinio | Pa | |
| 92 | uranio | U | |
| 93 | neptunio | Np | |
| 94 | plutonio | Pu | |
| 95 | americio | Am | |
| 96 | curio | Cm | |
| 97 | berquelio, berkelio | Bk | |
| 98 | californio | Cf | |
| 99 | einstenio | Es | |
| 100 | fermio | Fm | |
| 101 | mendelevio | Md | |
| 102 | nobelio | No | |
| 103 | lawrencio | Lr | |
| 104 | Rutherfordio | Rf | |
| 105 | Dubnio | Db | |
| 106 | Seaborgio | Sg | |
| 107 | Bohrio | Bh | |
| 108 | Hassio | Hs | |
| 109 | Meitnerio | Mt | |
| 110 | Darmstatio | Ds | |
| 111 | Roentgenio | Rg | |
| 112 | Copernicio | Cn | |
| 113 | Nihonio | Nh | |
| 114 | Flerovio | Fl | |
| 115 | Moscovio | Mc | |
| 116 | Livermorio | Lv | |
| 117 | Teneso | Ts | |
| 118 | Oganesón | Og | |
| Magnitud | Unidad | Símbolo | Equivalencia |
| | área | a | 1 a = 102 m2 |
| superficie | hectárea | ha | 1 ha = 104 m2 |
| | barn | b | 1 b = 10-28 m2 |
| longitud | angströn | Å | 1 Å = x 10-10 m |
| longitud | milla náutica | | 1 milla náutica = 1852 m |
| presión | bar | bar | 1 bar = 100 kPa |
| velocidad | nudo | | 1 nudo = (0,514 44) m/s |
| dosis de radiación | röntgen | R | 1 R =2,58 x 10-4 C/kg |
| dosis absorbida | rad* | rad (rd) | 1 rad = 10-2 Gy |
| radiactividad | curie | Ci | 1 Ci = 3,7 x 1010 Bq |
| aceleración | gal | Gal | 1 gal = 10-2 m/s2 |
| dosis equivalente | rem | rem | 1 rem = 10-2 Sv |