DECRETO por el que se expropia por causa de utilidad pública la superficie de 16-74-67 hectáreas del ejido "Piste", municipio de Tinum, estado de Yucatán, a favor de Fonatur Tren Maya, S.A. de C.V. y del Instituto Nacional de Antropología e Historia.
Al margen un sello con el Escudo Nacional, que dice: Estados Unidos Mexicanos.- Presidencia de la República.
ANDRÉS MANUEL LÓPEZ OBRADOR, presidente de los Estados Unidos Mexicanos, en ejercicio de la facultad que me confiere el artículo 89, fracción I, de la Constitución Política de los Estados Unidos Mexicanos, con fundamento en los artículos 27, párrafos primero y segundo, de la propia Constitución; 13, 41, 41 bis y 42 de la Ley Orgánica de la Administración Pública Federal; 93, fracciones I, VII y VIII, y 94 de la Ley Agraria; 1o., fracción IV, de la Ley de Expropiación; 2o. de la Ley Federal sobre Monumentos y Zonas Arqueológicos, Artísticos e Históricos; 2o, de Ley Orgánica del Instituto Nacional de Antropología e Historia; 60, 61 y 75 del Reglamento de la Ley Agraria en Materia de Ordenamiento de la Propiedad Rural, y
RESULTANDO
1. Que, mediante resolución presidencial publicada en el Diario Oficial de la Federación (DOF) el 26 de mayo de 1928, se dotó al pueblo "Pisté", municipio de Tinúm, ex departamento de Valladolid, estado de Yucatán, la superficie de 3,216-00-00 ha. Dicha resolución se ejecutó el 9 de agosto de 1928;
2. Que, mediante resoluciones presidenciales publicadas en el DOF el 22 de diciembre de 1942, 24 de noviembre de 1951 y 22 de mayo de 1980, respectivamente, se concedió por concepto de primera, segunda y tercera ampliación al poblado de "Piste", municipio de Tinum, estado de Yucatán, las superficies de 3,000-00-00 ha, 780-00-00 ha y 880-00-00 ha, respectivamente. Dichas resoluciones se ejecutaron el 21 de enero de 1949, 20 de noviembre de 1953 y 16 de diciembre de 1980, respectivamente
3. Que, el ejido "Piste", municipio de Tinum, estado de Yucatán, fue afectado por las siguientes acciones agrarias:
| Núm. | Resolución presidencial | Publicación en el DOF | Acción | Superficie (hectáreas) |
| 1. | 27 de octubre de 1992 | 2 de noviembre de 1992 | Expropiación | 00-06-80 |
| 2. | 24 de noviembre de 1993 | 7 de enero de 1994 | Expropiación | 57-20-34 |
| 3. | 4 de noviembre de 1994 | 10 de noviembre de 1994 | Expropiación | 04-14-57.51 |
4. Que, mediante asamblea general de ejidatarios de 21 de enero de 1999, se determinó la delimitación, destino y asignación de tierras del ejido "Piste", municipio de Tinum, estado de Yucatán;
5. Que, el 21 de mayo de 1999, el ejido "Piste", municipio de Tinum, estado de Yucatán, se inscribió en el sistema de inscripciones del Registro Agrario Nacional (RAN) con el folio de ejidos y comunidades 31091001126051928R;
6. Que, de conformidad con la reforma a la Ley Orgánica del Instituto Nacional de Antropología e Historia, publicada en el DOF el 12 de diciembre de 2015, el Instituto Nacional de Antropología e Historia (INAH) tiene personalidad jurídica propia y depende de la Secretaría de Cultura y, de conformidad con la Ley Federal sobre Monumentos y Zonas Arqueológicos, Artísticos e Históricos, el INAH es competente en materia de monumentos y zonas de monumentos arqueológicos e históricos;
7. Que, mediante escritura pública 98,727, de 5 de diciembre de 2018, se protocolizó el cambio de denominación de Fonatur Operadora Portuaria, S.A. de C.V., por el de FONATUR Tren Maya, S.A. de C.V. En la cláusula CUARTA de la citada escritura pública consta, como parte de su objeto social:
c) Tramitar todo tipo de asignaciones y permisos y ejecutar la construcción, operación, explotación, conservación y mantenimiento de vías férreas en el sureste de la República Mexicana.
d) Tramitar todo tipo de asignaciones y permisos y prestar el servicio público de transporte ferroviario de pasajeros o de carga, por sí mismo mediante asignación o de manera conjunta con concesionarios.
e) Tramitar todo tipo de asignaciones y permisos para prestar servicios auxiliares ferroviarios, así como todo tipo de servicios relacionados con la infraestructura ferroviaria.
(...)
g) Celebrar todo tipo de actos jurídicos por los cuales otorgue o reciba el uso y aprovechamiento de bienes muebles e inmuebles, así como el adquirirlos o enajenarlos, comprendidos en instalaciones turísticas o inmobiliarias de cualquier naturaleza, en cualquier destino turístico, polos de desarrollo turístico, Centros Integralmente Planeados, y en Centros Turísticos Sustentables del Fondo Nacional del Fomento al Turismo (FONATUR), en el sureste de la República Mexicana.
8. Que FONATUR Tren Maya, S.A. de C.V., es una empresa de participación estatal mayoritaria sectorizada a la Secretaría de Turismo, como se indica en la "Relación de Entidades Paraestatales de la Administración Pública Federal", publicada en el DOF el 7 de agosto de 2023;
9. Que el Decreto para la entrega del Proyecto Tren Maya a Tren Maya S.A. de C.V. y demás acciones que se indican, publicado en el DOF el 1 de marzo de 2024, establece en su transitorio Decimoprimero que los procedimientos expropiatorios y de adquisición de bienes inmuebles para la ejecución del Proyecto Tren Maya que se encuentren en trámite, a la entrada en vigor del citado instrumento jurídico, deben continuar a cargo de FONATUR Tren Maya, S.A. de C.V. hasta su conclusión, en términos de las disposiciones jurídicas aplicables;
10. Que el Plan Nacional de Desarrollo 2019-2024, publicado en el DOF el 12 de julio de 2019, establece los programas y proyectos que constituyen las prioridades de atención estratégica a problemas públicos identificados. Asimismo, expone como una de las tareas centrales impulsar la reactivación de la economía, para que esta vuelva a crecer a tasas aceptables y se fortalezca el mercado interno y el empleo mediante programas sectoriales, proyectos regionales y obras de infraestructura;
11. Que el capítulo "Proyectos regionales" del plan nacional dispone:
1. El Tren Maya es el más importante proyecto de infraestructura, desarrollo socioeconómico y turismo del presente sexenio. Tendrá un recorrido de mil 525 kilómetros, pasará por los estados de Chiapas, Tabasco, Campeche, Yucatán y Quintana Roo e interconectará las principales ciudades y sitios turísticos de la Península de Yucatán...
El Tren Maya es un proyecto orientado a incrementar la derrama económica del turismo en la Península de Yucatán, crear empleos, impulsar el desarrollo sostenible, proteger el medio ambiente de la zona desalentando actividades como la tala ilegal y el tráfico de especies y propiciar el ordenamiento territorial de la región. Se procurará integrar a la obra y a sus beneficios a los pobladores; se gestionarán los derechos de vía que aún no se tengan mediante acuerdos con los propietarios de los terrenos respectivos; se buscarán acuerdos benéficos en los casos en los que las vías de propiedad federal se encuentren invadidas y se pedirá la aprobación de las comunidades y pueblos originarios mediante consultas.
12. Que el Gobierno federal otorgó, por la entonces Secretaría de Comunicaciones y Transportes, a la empresa de participación estatal mayoritaria FONATUR Tren Maya, S.A. de C.V., la asignación para construir, operar y explotar la vía general de comunicación ferroviaria denominada Tren Maya, la cual incluye la prestación del servicio público de transporte ferroviario de carga y de pasajeros, y los permisos para prestar los servicios auxiliares requeridos (DOF, 21 de abril de 2020);
13. Que los programas sectoriales de Desarrollo Agrario, Territorial y Urbano 2020-2024 y de Turismo 2020-2024, publicados en el DOF el 26 de junio y 3 de julio, de 2020, establecen que la construcción del Tren Maya es el compromiso más relevante de infraestructura para impulsar el desarrollo socioeconómico y turístico de la historia del sureste del país y fortalecer la integración de cadenas productivas en la península de Yucatán, así como para elevar la calidad de los servicios turísticos y fomentar la capacitación y profesionalización del capital humano que forma parte de esta industria;
14. Que el Programa Sectorial de Cultura 2020-2024, publicado el 3 de julio de 2020 en el DOF, señala en el objetivo prioritario 3 "Garantizar progresivamente el acceso a los bienes y servicios culturales a las personas, a través del incremento y diversificación de la oferta cultural en el territorio y del intercambio cultural de México con el extranjero";
15. Que el Programa Institucional 2020-2024 del Fondo Nacional de Fomento al Turismo, publicado el 20 de noviembre de 2020 en el DOF, señala en su numeral 7.1 "Relevancia del Objetivo prioritario 1: Desarrollar el Proyecto Regional Tren Maya en los estados de Chiapas, Tabasco, Campeche, Yucatán y Quintana Roo";
16. Que, en cumplimiento del Programa Institucional 2020-2024 del Fondo Nacional de Fomento al Turismo, FONATUR Tren Maya, S.A. de C.V. elaboró dictámenes técnicos de viabilidad del proyecto Tren Maya, en los que se concluye que es de primera necesidad contar con un servicio confiable, eficiente, cómodo y seguro que permita, por una parte, el transporte de mercancías y, por otra, movilizar a sus usuarios con altos estándares de calidad, acceso y cobertura en el área urbana y conurbada. Dichos dictámenes acreditan que el Proyecto Tren Maya satisface el interés colectivo, e impulsa las actividades económicas del sur-sureste del país que garantizan el derecho a la movilidad en condiciones de seguridad, accesibilidad, comodidad, eficiencia, calidad e igualdad. Asimismo, la construcción del Tren Maya permitirá el desarrollo socioeconómico y turístico; reducirá los niveles de pobreza que existen en la zona, y mejorará las condiciones de vida de quienes habitan y transitan por la zona;
17. Que el Programa Institucional 2020-2024 de FONATUR Tren Maya, S.A. de C.V., publicado el 24 de diciembre de 2020 en el DOF, tiene como uno de sus objetivos prioritarios en su numeral 6 "Relevancia del objetivo prioritario 1.- Ejecutar el Proyecto Prioritario Integral Tren Maya para mejorar la conectividad, movilidad y el desarrollo integral sostenible del sureste";
18. Que, el 28 de febrero y 23 de agosto, de 2022, el ejido "Piste", en asambleas generales, aprobó la celebración de los convenios de ocupación previa con FONATUR Tren Maya, S.A. de C.V., respecto de tierras de uso común, suscritos el 14 de marzo y 5 de septiembre, de 2022 por el comisariado ejidal. En sendos convenios, se autorizó ocupar a título gratuito las superficies objeto de los mismos hasta la expedición del decreto respectivo, así como realizar un pago inmediato como anticipo a cuenta de la indemnización que proceda una vez decretada la expropiación;
19. Que FONATUR Tren Maya, S.A. de C.V., mediante oficio número FTM/AZH/2148/2022, de 18 de diciembre de 2022, solicitó al titular de la Secretaría de Desarrollo Agrario, Territorial y Urbano (Sedatu) la expropiación de la superficie de 16-74-40.93 ha del ejido "Piste", municipio de Tinum, estado de Yucatán, para destinarla a la construcción de obras de infraestructura ferroviaria y operación del proyecto Tren Maya. Tramo 4 Izamal-Cancún;
20. Que FONATUR Tren Maya S.A. de C.V., mediante oficio FTM/AZH/028-9/2023, de 6 de enero de 2023, comunicó que el destino de la superficie a expropiar es para "la construcción de obras de infraestructura ferroviaria, operación del Proyecto Tren Maya y sus obras complementarias";
21. Que la Dirección General de Ordenamiento de la Propiedad Rural (DGOPR) de la Sedatu, el 12 de enero de 2023, emitió acuerdo de instauración del procedimiento de expropiación con número de expediente DGOPR-DE/SOE-31YU/003FONATUR TREN MAYA, S.A. DE C.V/2023;
22. Que el comisionado técnico del RAN y el comisionado agrario de la Sedatu rindieron el "informe de comisión de Trabajos Técnicos e Informativos de Expropiación", de 9 de junio de 2023, en el que señalan que la superficie real a expropiar al ejido "Piste", municipio de Tinum, estado de Yucatán es de 16-74-67 ha de uso común;
23. Que al comisariado ejidal del "Piste" se les notificó el 10 de agosto de 2023, la solicitud de expropiación, el alcance a la solicitud de expropiación, el acuerdo de instauración y la superficie real a expropiar. Asimismo, se le informó que contaba con 10 días hábiles para que manifestara lo que a su interés conviniera. En dicho plazo no realizó manifestaciones;
24. Que la Dirección General de Ordenamiento Territorial de la Sedatu, el 22 de agosto de 2023, emitió opinión técnica condicionada número SOTA/DGOT/071/QROO YUC/FONATUR TM4/025/2023 respecto del presente procedimiento de expropiación, que incluye la superficie de 16-74-67 ha relativas al ejido "Piste", municipio de Tinum, estado de Yucatán;
25. Que, el 1 de septiembre de 2023, el Instituto de Administración y Avalúos de Bienes Nacionales (Indaabin) emitió el dictamen valuatorio y anexo único, con número secuencial 04-23-1658 y genérico G-35580-ZND, en el que determinó, con base en el valor comercial de la superficie a expropiar, que el monto total de indemnización asciende a $7,276,823.03 (siete millones doscientos setenta y seis mil ochocientos veintitrés pesos 03/100 M.N.);
26. Que FONATUR Tren Maya, S.A. de C.V, mediante oficio 11210.DGOPR.DCE.DE21239.2023 de 6 de noviembre de 2023, informó al INAH que dentro de la superficie materia de la expropiación se encuentra inmersa una superficie destinada a la construcción de un Centro de Atención a Visitantes (Catvis) colindante con la zona arqueológica de Chichen Itzá, lo anterior en virtud de que la Secretaría de Cultura, por conducto del INAH, encabeza la instalación de los mismos;
27. Que el INAH, mediante oficio número 401-1-313 de 6 de noviembre de 2023, y con fundamento en la Constitución Política de los Estados Unidos Mexicanos (CPEUM), la Ley Agraria, la Ley de Expropiación, la Ley Federal sobre Monumentos y Zonas Arqueológicos, Artísticos e Históricos y el Reglamento de la Ley Agraria en Materia de Ordenamiento de la Propiedad Rural (RLAMOPR) solicitó a la Sedatu adherirse a la presente expropiación toda vez que, al tratarse de la Zona de Monumentos Arqueológicos de Chichén Itzá, la relevancia cultural de la misma es innegable y por ende la protección al patrimonio arqueológico de la misma es imperativa por parte del Gobierno federal;
28. Que, el 13 de noviembre de 2023, la DGOPR emitió acuerdo que regulariza el procedimiento expropiatorio y señala que "se tiene por adherido al presente procedimiento expropiatorio al Instituto Nacional de Antropología e Historia (INAH) relativo a una superficie de 16-74-67 hectáreas de terrenos de uso común", y ordenó notificar dicho acuerdo a los integrantes del comisariado ejidal, al INAH y a FONATUR Tren Maya, S.A. de C.V.;
29. Que la Sedatu notificó a FONATUR Tren Maya, S.A. de C.V., al INAH y a los integrantes del comisariado del ejido "Piste" entre el 21 y 24 de noviembre y 12 de diciembre, todas de 2023, el acuerdo de regularización de 13 de noviembre de 2023, de igual manera se hizo del conocimiento al ejido el dictamen valuatorio y anexo único con número secuencial 04-23-1758 y genérico G-35580-ZND. Asimismo, se les informó que contaban con 10 días hábiles para que manifestaran lo que a sus intereses conviniera. En dicho plazo no realizaron manifestaciones;
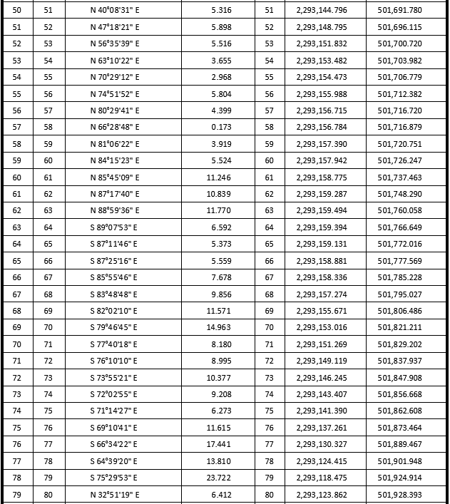
30. Que la DGOPR, el 4 de diciembre de 2023, emitió opinión técnica en la que señala que "Derivado de los "Trabajos Técnicos e Informativos" de la expropiación, resultaron 10 polígonos que cumplen con lo requerido para la continuación del Trámite, de los cuales: Del polígono I al IX pertenecen al derecho de vía del Tren Maya. El polígono X pertenece y cumple con los requisitos para ser un Centro de Atención a Visitantes (CATVIS)", lo cual se describe en los siguientes planos y cuadros de construcción:
Polígono general del ejido el "Piste"
Polígonos a expropiar a favor de FONATUR Tren Maya, S.A. de C.V.
Polígono a expropiar a favor del Instituto Nacional de Antropología e Historia
*Meridiano central de referencia 88° 36'
31. Que la DGOPR, el 11 de diciembre de 2023, emitió acuerdo mediante el cual aclara en contenido del dictamen de 1 de diciembre de 2023 para señalar que determina procedente la expropiación de la superficie a que se refieren los numerales 22 y 30, de las cuales 11-85-21 ha son a favor de FONATUR Tren Maya, S.A. de C.V. y serán destinadas a la construcción de obras de infraestructura ferroviaria y operación del Proyecto Tren Maya, y 04-89-46 ha son a favor del Instituto Nacional de Antropología e Historia para la construcción de un Centro de Atención a Visitantes;
32. Que FONATUR Tren Maya, S.A. de C.V., mediante oficio FTM/EDVPP/061/2024 de 12 de enero de 2024, informó que el pago realizado al ejido "Piste" como anticipo a cuenta de la indemnización que proceda una vez decretada la expropiación señalado en los convenios de ocupación previa, se realizó con recursos de FONATUR Tren Maya, S.A. de C.V., y
CONSIDERANDO
I. Que de conformidad con los artículos 27, párrafos primero y segundo, de la CPEUM; 93, fracciones I, VII y VIII, y 94 de la Ley Agraria; 1o., fracción IV, de la Ley de Expropiación; 2o. de la Ley Federal sobre Monumentos y Zonas Arqueológicos, Artísticos e Históricos, y 75 del RLAMOPR, procede, mediante indemnización y previo decreto expedido por el titular del Ejecutivo Federal y publicado en el DOF, la expropiación por causa de utilidad pública, como lo es la construcción de obras de infraestructura ferroviaria y operación del Proyecto Tren Maya y sus obras complementarias; la conservación de los monumentos arqueológicos, y la protección, conservación, restauración y recuperación de los monumentos arqueológicos y de las zonas de monumentos; II. Que la superficie de 16-74-67 ha de uso común, pertenecientes al ejido "Piste", municipio de Tinum, estado de Yucatán, se solicitó para destinarse a la construcción de obras de infraestructura ferroviaria, operación del Proyecto Tren Maya y sus obras complementarias, como lo es la construcción de un Catvis, así como a la prestación del servicio público de transporte de carga ferroviaria y de pasajeros. Como consecuencia, se acreditan las causas de utilidad pública del establecimiento, explotación o conservación de un servicio o función públicos; de la construcción de puentes, carreteras, ferrocarriles y demás obras que faciliten el transporte; la conservación de monumentos arqueológicos, así como la investigación, protección, conservación, restauración y recuperación de los monumentos arqueológicos, previstas en el artículo 93, fracciones I, VII y VIII, de la Ley Agraria; 1o., fracción IV, de la Ley de Expropiación y 2o. de la Ley Federal sobre Monumentos y Zonas Arqueológicos, Artísticos e Históricos;
III. Que la construcción de obras de infraestructura ferroviaria, operación del Proyecto Tren Maya y sus obras complementarias son acordes con el Plan Nacional de Desarrollo 2019-2024, toda vez que se prestará un servicio público de transporte de pasajeros para el beneficio del turismo nacional y extranjero, así como de transporte de carga ferroviario para acelerar el comercio de la península, lo que facilitará el intercambio de mercancías con el resto del país y diversificará los puntos turísticos de la región para generar una derrama económica. Como consecuencia, se generarán oportunidades laborales y se redistribuirá la riqueza a lo largo de la península; se dará protección y rehabilitación a las áreas naturales protegidas y a los sitios patrimoniales. De igual forma, el Tren Maya funcionará como corredor humanitario por medio del cual se entregarán apoyos alimentarios, médicos, etc. para las comunidades indígenas y pueblos marginados del sureste mexicano; tendrá un flujo constante, y solo por su conducto, se podrá llegar a dichos poblados de manera pronta y eficaz; su ubicación geográfica es fundamental para salvaguardar las costas y la zona fronteriza con Centroamérica;
IV. Que un Centro de Atención a Visitantes es una obra complementaria del Proyecto Tren Maya, su finalidad, entre otras, es fungir como área de interpretación arqueológica y su construcción se realizará por el INAH toda vez que, en términos de lo establecido en el artículo 2 de Ley Orgánica del Instituto Nacional de Antropología e Historia, es el encargado de la conservación y restauración del patrimonio cultural arqueológico e histórico, así como el paleontológico, y tiene como actividades el de la protección, conservación, restauración y recuperación de ese patrimonio y la promoción y difusión en dicha materia;
V. Que, de diversos documentos contenidos en el expediente de expropiación número DGOPR-DE/SOE-31YU/003FONATUR TREN MAYA, S.A. DE C.V/2023, se advierte que la superficie que se solicitó expropiar al ejido "Piste" fue 16-74-40.93 ha; sin embargo, una vez realizados los trabajos técnicos, resultó que la superficie real es de 16-74-67 ha de terrenos de temporal de uso común, como consta en el informe de comisión de Trabajos Técnicos e Informativos de Expropiación, ya referido, motivo por el cual la superficie a expropiar al ejido "Piste", municipio de Tinum, estado de Yucatán debe ser 16-74-67 ha;
VI. Que se otorgó garantía de audiencia al órgano de representación del ejido "Piste", municipio de Tinum, estado de Yucatán, como se acredita con las constancias que obran en el expediente DGOPR-DE/SOE-31YU/003FONATUR TREN MAYA, S.A. DE C.V/2023, con lo que se dio cumplimiento a los artículos 14 y 16 de la CPEUM y 65 del RLAMOPR;
VII. Que queda acreditado, asimismo, que se ha cumplido con lo dispuesto en los artículos 94 de la Ley Agraria y 70 del RLAMOPR, ya que el Indaabin emitió dictamen valuatorio, el 1 de septiembre de 2023, en el cual determinó que el monto de indemnización, con base al valor comercial de la superficie a expropiar, es de $7,276,823.03 (siete millones doscientos setenta y seis mil ochocientos veintitrés pesos 03/100 M.N.). Con base en dicho avalúo, procede pagar la indemnización al ejido por las tierras de uso común, en la que debe considerarse el pago anticipado que se haya hecho, en la inteligencia de que los bienes objeto de la expropiación solo podrán ser ocupados de manera definitiva, mediante el pago que se efectúe al ejido o a las personas que acrediten tener derecho sobre tierras de uso común en la proporción que corresponda;
VIII. Que, de conformidad con el artículo 97 de la Ley Agraria, en caso de que los bienes expropiados se destinen a un fin distinto al señalado en el decreto respectivo, o si transcurrido un plazo de 5 años no se ha cumplido con la causa de utilidad pública, el Fideicomiso Fondo Nacional de Fomento Ejidal podrá ejercer las acciones necesarias para reclamar la reversión parcial o total, según corresponda, de los bienes expropiados, y operar la incorporación de estos a su patrimonio, y
IX. Que, al quedar plenamente acreditado que el procedimiento de expropiación se ha tramitado ante la Sedatu y son justificadas las causas de utilidad pública que se hacen valer, se ha cumplido con los artículos 93, 94 y 95 de la Ley Agraria, 1º de la Ley de Expropiación; 2o. de la Ley Federal sobre Monumentos y Zonas Arqueológicos, Artísticos e Históricos, y 60, 61, 63, 65, 67, 70, 72, 73, 74 y 75 del RLAMOPR, he tenido a bien expedir el siguiente
DECRETO
PRIMERO. Se expropia por causa de utilidad pública la superficie de 16-74-67 ha de uso común del ejido "Piste", municipio de Tinum, estado de Yucatán, de la cual 11-85-21 ha serán a favor de FONATUR Tren Maya, S.A. de C.V. para destinarlas para la construcción de obras de infraestructura ferroviaria, operación del Proyecto Tren Maya, y 04-89-46 ha a favor del Instituto Nacional de Antropología e Historia para destinarla a la construcción de un Centro de Atención a Visitantes como obra complementaria del Proyecto Tren Maya.
SEGUNDO. Queda a cargo de FONATUR Tren Maya, S.A. de C.V. pagar por concepto de indemnización por la superficie que se expropia la cantidad de $7,276,823.03 (siete millones doscientos setenta y seis mil ochocientos veintitrés pesos 03/100 MN) señalada en el avalúo emitido por el Instituto de Administración y Avalúos de Bienes Nacionales, y en los términos señalados en la parte considerativa del presente decreto.
TERCERO. Cuando FONATUR Tren Maya, S.A. de C.V. haya acreditado el pago o depósito de la indemnización señalada en el numeral anterior, la Secretaría de Desarrollo Agrario, Territorial y Urbano y el Instituto Nacional de Antropología e Historia procederán a su ejecución.
CUARTO. Publíquese en el Diario Oficial de la Federación e inscríbase en el Registro Agrario Nacional, en el Registro Público de la Propiedad Federal y en el Registro Público de la Propiedad estatal o municipal correspondiente. Notifíquese y ejecútese.
Dado en la residencia del Poder Ejecutivo Federal, en Ciudad de México a 2 de mayo de 2024.- Andrés Manuel López Obrador.- Rúbrica.- Secretario de Desarrollo Agrario, Territorial y Urbano, Román Guillermo Meyer Falcón.- Rúbrica.- Secretaria de Cultura, Alejandra Frausto Guerrero.- Rúbrica.- Secretario de Turismo, Miguel Tomás Torruco Marqués.- Rúbrica.