PROYECTO de Modificación a la Norma Oficial Mexicana NOM-135-SEMARNAT-2004, Para la regulación de la captura para investigación, transporte, exhibición, manejo y manutención de mamíferos marinos en cautiverio, para quedar como Proyecto de Norma Oficial Mexicana PROY-NOM-135-SEMARNAT-2024, Para la regulación de la captura para investigación, transporte, exhibición, manejo y manutención de mamíferos marinos en cautiverio.

Al margen un sello con el Escudo Nacional, que dice: Estados Unidos Mexicanos.- Secretaría de Medio Ambiente y Recursos Naturales.

ALONSO JIMÉNEZ REYES, Subsecretario de Regulación Ambiental de la Secretaría de Medio Ambiente y Recursos Naturales y Presidente del Comité Consultivo Nacional de Normalización de Medio Ambiente y Recursos Naturales, con fundamento en los artículos 32 Bis, fracciones I, IV y V de la Ley Orgánica de la Administración Pública Federal; 3° y 4° de la Ley Federal de Procedimiento Administrativo; 1°, fracciones IV, V, VII, 5o., fracción V, 36, fracciones I y II, 37 TER, 84, 86, 87 Bis2 y 94 de la Ley General del Equilibrio Ecológico y la Protección al Ambiente; 5 fracción VIII, 9, fracción V, 26, 29, 30, 37 y 60 Bis de la Ley General de Vida Silvestre; 30, fracción XVI, de la Ley General de Cambio Climático; 10 fracción IX, 24, 29, párrafo tercero, 30, párrafos primero y segundo, 34, 35 fracciones III, IV y V, 37, 38, 39 segundo párrafo, 41 fracciones II y IV, y 69 de la Ley de Infraestructura de la Calidad; 33 del Reglamento de la Ley Federal sobre Metrología y Normalización y, 17, fracciones, VII, VIII y IX del Reglamento Interior de la Secretaría de Medio Ambiente y Recursos Naturales, y
CONSIDERANDO
Que es necesario establecer los criterios técnicos que enmarquen las actividades de captura para investigación científica de instituciones acreditadas, transporte, exhibición, manejo y manutención de mamíferos marinos en cautiverio, con el fin de evitar su maltrato, prever las condiciones idóneas para salvaguardar su integridad física, social y conductual, así como para fomentar su conservación y protección.
Que el artículo 5o., fracción VIII de la Ley General de Vida Silvestre establece que las autoridades deben prever el mejoramiento de la calidad de vida de los ejemplares de fauna silvestre en cautiverio, utilizando las técnicas y conocimientos biológicos y etológicos de cada especie.
Que en el Decreto por el que se reforman diversas disposiciones de la Ley General de Vida Silvestre publicado el 10 de enero de 2002 en el Diario Oficial de la Federación, se adicionó el artículo 60 Bis, que expresamente señala que ningún ejemplar de mamífero marino, cualquiera que sea la especie podrá ser sujeto de aprovechamiento extractivo, ya sea de subsistencia o comercial, con excepción de la captura que tenga por objeto la investigación científica y la educación superior de instituciones acreditadas.
Que con fecha 27 de agosto de 2004, se publicó en el Diario Oficial de la Federación la Norma Oficial Mexicana NOM-135-SEMARNAT-2004, Para la regulación de la captura para investigación, transporte, exhibición, manejo y manutención de mamíferos marinos en cautiverio, en lo sucesivo NOM-135-SEMARNAT-2004.
Que con fecha 6 de junio de 2012, se publicó en el Diario Oficial de la Federación la Ley General de Cambio Climático que establece en su artículo 30, fracción XVI que las dependencias y las entidades de la administración pública federal, las entidades federativas y los municipios, en el ámbito de sus competencias, implementarán acciones para identificar las medidas de gestión para lograr la adaptación de especies en riesgo y prioritarias para la conservación que sean particularmente vulnerables al cambio climático.
Que con fecha 16 de diciembre de 2014, se publicó en el Diario Oficial de la Federación el "Acuerdo que reforma, adiciona y deroga diversas disposiciones de la Norma Oficial Mexicana NOM-135-SEMARNAT-2004, Para la regulación de la captura para investigación, transporte, exhibición, manejo y manutención de mamíferos marinos en cautiverio, publicada el 27 de agosto de 2004", lo anterior con objeto de incorporar a los Predios o instalaciones que manejan vida silvestre de forma confinada, fuera de su hábitat natural (PIMVS) como sujetos regulados, actualizar los trámites vinculados a esta actividad, incorporar las restricciones para la importación, exportación y reexportación de ejemplares y las obligaciones de cumplir con el registro de espectáculos itinerantes, ambos establecidos en la Ley General de Vida Silvestre, así como la adecuación del PEC, entre otros.
Que mediante Decreto publicado en el Diario Oficial de la Federación el 26 de enero de 2015, se adicionó un párrafo al artículo 60 Bis de la Ley General de Vida Silvestre, que prohíbe la utilización de ejemplares de mamíferos marinos en espectáculos itinerantes.
Que los artículos 29, 30, 31, 32, 33, 34 y 37 de la Ley General de Vida Silvestre establecen que durante el aprovechamiento, traslado, exhibición, cuarentena y entrenamiento de fauna silvestre se debe evitar o disminuir la tensión, sufrimiento, traumatismo y dolor a los animales y se prohíbe expresamente todo acto de crueldad en contra de la fauna silvestre.
Aunado a lo anterior, y en virtud de que los mamíferos marinos son de particular interés para México y que se encuentran listados en las diferentes categorías de riesgo de la Norma Oficial Mexicana NOM-059-SEMARNAT-2010, es necesario fortalecer las medidas para su conservación y protección y para dar cumplimiento a los convenios internacionales en la materia, de los que México es parte.
Que corresponde a la Secretaría de Medio Ambiente y Recursos Naturales emitir Normas Oficiales Mexicanas en materia ambiental, para garantizar la sustentabilidad de las actividades económicas y el aprovechamiento sustentable de los recursos naturales.
Con la presente modificación a la NOM-135-SEMARNAT-2004 se busca contar con una regulación acorde con las disposiciones jurídicas-administrativas-normativas y operativas vigentes y que este instrumento resulte aplicable por parte de los usuarios de la Norma Oficial Mexicana, así como por las autoridades administrativas y de inspección y vigilancia, a efecto de garantizar la conservación y un trato digno y respetuoso de los mamíferos marinos que se encuentran en condiciones de cautiverio.
Entre los cambios más relevantes de la presente modificación, resaltan la actualización de las especificaciones derivada de las últimas reformas a la legislación ambiental que han sido referidas en los Considerandos anteriores; se acotó el número de especies que pueden ser mantenidas en cautiverio en nuestro país a aquellas que tienen distribución en las aguas de jurisdicción nacional y que hay evidencia científica de su adaptación a las condiciones de cautiverio así como a aquellas que actualmente se encuentran en cautiverio; además se actualizaron especificaciones técnicas eliminando aquellas que ya no son aplicables; se atendieron vacíos regulatorios de la Norma original así como aquellos relacionados con los cambios que ha sufrido la actividad desde la expedición de la Norma como son la diversificación de las actividades interactivas, la mayor oferta de contenedores para el transporte de mamíferos marinos disponible en el mercado y la necesidad de regular la reproducción en cautiverio. Adicionalmente se incluyeron especificaciones para mejorar las condiciones bajo las cuales se encuentran los mamíferos en cautiverio, complementando las especificaciones para la captura, alimentación, parámetros de calidad del agua y requerimientos para las actividades interactivas. También se hizo una revisión integral y reestructuración de la Norma, revisando y unificando el uso de la terminología empleada para un mejor entendimiento y aplicación.
Que la modificación a la Norma Oficial Mexicana NOM-135-SEMARNAT-2004 se inscribió como Tema inscrito por primera vez/ NOMs vigentes a ser modificadas en el Programa Nacional de Infraestructura de la Calidad 2024, publicado en el Diario Oficial de la Federación el 28 de febrero de 2023.
Que en cumplimiento a lo previsto en los artículos 29, último párrafo, 34 y 35, fracciones I, II y III de la Ley de Infraestructura de la Calidad, la Propuesta de Norma Oficial Mexicana fue presentada al Comité Consultivo Nacional de Normalización de Medio Ambiente y Recursos Naturales en su Primera Sesión Extraordinaria de 5 de abril de 2023, aprobándose la conformación del Grupo de Trabajo encargado del estudio y discusión del Anteproyecto de Norma Oficial Mexicana.
Que el presente Proyecto de Modificación a la Norma Oficial Mexicana NOM-135-SEMARNAT-2004, para la regulación de la captura para investigación, transporte, exhibición, manejo y manutención de mamíferos marinos en cautiverio, se sometió a la consideración y fue aprobado por el Comité Consultivo Nacional de Normalización de Medio Ambiente y Recursos Naturales en su Primera Sesión Extraordinaria celebrada el 22 de agosto de 2024, con el propósito de someterlo a consulta pública de conformidad con los artículos 35, fracción V y 38 de la Ley de Infraestructura de la Calidad, y a efecto de que los interesados, dentro de los siguientes 60 días naturales contados a partir de la fecha de su publicación en el Diario Oficial de la Federación, presenten sus comentarios ante el citado Comité, sito en Avenida Ejército Nacional número 223, Piso 16, Colonia Anáhuac, Alcaldía Miguel Hidalgo, código postal 11320, Ciudad de México, o al correo electrónico nom135.mamiferos.marinos@semarnat.gob.mx.
Que durante el plazo mencionado, el Análisis del Impacto Regulatorio a que se refiere el artículo 34, fracción X de la Ley de Infraestructura de la Calidad, estará a disposición del público para su consulta pública en el portal electrónico de la Comisión Nacional de Mejora Regulatoria.
Por lo expuesto y fundado he tenido a bien expedir el siguiente:
PROYECTO DE MODIFICACIÓN A LA NORMA OFICIAL MEXICANA NOM-135-SEMARNAT-2004, PARA
LA REGULACIÓN DE LA CAPTURA PARA INVESTIGACIÓN, TRANSPORTE, EXHIBICIÓN, MANEJO Y
MANUTENCIÓN DE MAMÍFEROS MARINOS EN CAUTIVERIO, PARA QUEDAR COMO PROYECTO DE
NORMA OFICIAL MEXICANA PROY-NOM-135-SEMARNAT-2024, PARA LA REGULACIÓN DE LA
CAPTURA PARA INVESTIGACIÓN, TRANSPORTE, EXHIBICIÓN, MANEJO Y MANUTENCIÓN DE
MAMÍFEROS MARINOS EN CAUTIVERIO
Prefacio
En la elaboración de la presente Norma Oficial Mexicana participaron las siguientes instancias:
·   Secretaría de Economía.
-      Dirección General de Normas.
·   Secretaría de Medio Ambiente y Recursos Naturales (SEMARNAT).
-      Dirección General de Recursos Naturales y Bioseguridad.
-      Dirección General de Vida Silvestre.
·   Procuraduría Federal de Protección al Ambiente (PROFEPA).
-      Dirección General de Inspección y Vigilancia de Vida Silvestre, Recursos Marinos y Ecosistemas Costeros.
-      Dirección General de Verificación e Inspección Ambiental en Puertos, Aeropuertos y Fronteras.
·   Comisión Nacional de Áreas Naturales Protegidas.
·   Comisión Nacional para el Conocimiento y Uso de la Biodiversidad (CONABIO).
·   AQUADEMIA Educación Continua S. C.
·   Alianza para la Defensa Ambiental, A.C.
·   Asociación de Especialistas en Mamíferos Marinos A.C.
·   Asociación Latinoamericana de Parques Zoológicos y Acuarios.
·   Asociación Mexicana de Hábitats para la Interacción y Protección de Mamíferos Marinos, A.C.
·   Asociación Mexicana de Médicos Veterinarios Especializados en Animales de Zoológico, Exóticos y Silvestres, A.C.
·   Dr. Benjamín Morales Vela, Investigador en retiro de ECOSUR.
·   Cabo Dolphins, S.A. de C.V.
·   MVZ David Berrón Hernández, consultor independiente.
·   Delphinus (Operadora Xuna, S.A. de C.V.)
·   Dolphin Adventure.
·   Producciones Serengueti, S.A. de C.V.
·   Promotora Xel-Há, S.A.P.I. de C.V.
·   Secretaría del Medio Ambiente de la Ciudad de México.
·   Sociedad Mexicana de Mastozoología Marina A.C.
·   The Dolphin Company.
·   Universidad Autónoma del Carmen.
-      Facultad de Ciencias Naturales.
·   Universidad Nacional Autónoma de México
-      Facultad de Ciencias.
·   Universidad Veracruzana.
-      Instituto de Investigaciones Biológicas.
·   Zoo Mundo Servicios S. de R. L. de C.V.
Índice del contenido
Introducción
1.     Objetivo y campo de aplicación.
2.     Objetivo legítimo de interés público.
3.     Referencias normativas.
4.     Términos y definiciones.
5.     Especificaciones.
5.1     Especificaciones Generales.
5.2     Captura con fines de investigación científica de instituciones acreditadas.
5.3     Transporte de ejemplares vivos.
5.4     Especificaciones para la construcción y operación de instalaciones.
5.5     Calidad del agua.
5.6     Manejo veterinario en confinamiento.
5.7     Alimentación.
5.8     Exhibición y actividades interactivas.
5.9     Bitácoras.
5.10    Régimen sanitario en confinamiento.
5.11    Personal.
6.     Procedimiento e infraestructura para la evaluación de la conformidad.
7.     Concordancia con Normas Internacionales.
8.     Vigilancia de esta Norma Oficial Mexicana.
9.     Referencia a estándares para su implementación.
Apéndice A (Normativo). Listado de especies de cetáceos y sirenios que se permiten mantener en cautiverio y la longitud promedio de los adultos.
Apéndice B (Normativo). Listado de especies de carnívoros que se permiten mantener en cautiverio y la longitud promedio de los adultos.
Apéndice C (Informativo). Medidas que se deben tomar a los mamíferos marinos capturados.
Apéndice D (Informativo) Ejemplos de área superficial mínima requerida para cada ejemplar de cetáceo.
Apéndice E (Informativo). Ejemplos de espacio mínimo requerido para los confinamientos primarios para cetáceos del Grupo I.
Apéndice F (Informativo). Imagen representativa del contenedor de transporte primario para el transporte de cetáceos.
Apéndice G (Informativo). Imagen representativa del contenedor de transporte primario o jaula para el transporte de pinnípedos.
Apéndice H (Informativo). Imagen representativa del contenedor de transporte primario o jaula para el transporte de nutria marina.
Apéndice I (Informativo). Imagen representativa del contenedor de transporte primario para sirenios.
10.   Referencias bibliográficas.
Transitorios.
Introducción
Los primeros delfinarios empezaron a funcionar en México a principios de los años 70 con la exhibición de delfines en el Acuario de Aragón y el Parque Atlantis, ambos en la Ciudad de México.
Dichos espacios brindan espectáculos para la exhibición de los animales, inicialmente solo delfines y lobos marinos, que realizaban acrobacias y otras actividades con fines de entretenimiento. Posteriormente se incorporaron actividades interactivas, como el nado, fotografías, saludos, sesiones de alimentación y terapias asistidas, en el caso particular de los delfines, el empuje de los pies de los participantes y el nado con un humano sujeto de sus aletas; algunas de estas actividades con el tiempo se han hecho extensivas a otros mamíferos marinos, incorporando un contenido educativo para los visitantes.
Otra actividad popular fue el uso de delfines y lobos marinos en espectáculos itinerantes, como ferias, lo que implicaba realizar el traslado y exhibición de los mismos en instalaciones temporales, actividad que fue prohibida en 2015 mediante una reforma a la Ley General de Vida Silvestre.
México se encuentra entre los cinco países con mayor número de delfines en cautiverio, ocupando el primer lugar en Latinoamérica, ya que concentra el 8% a nivel mundial de los dichos ejemplares, por lo que es relevante contar con un instrumento normativo que regule la actividad.
Actualmente, existe registro ante la Secretaría de Medio Ambiente y Recursos Naturales de seis especies de mamíferos marinos que se mantienen en Unidades de Manejo para la Conservación de Vida Silvestre (UMA) o Predios o Instalaciones que Manejan Vida Silvestre en Forma Confinada, Fuera de su Hábitat Natural (PIMVS), entre las que se incluyen: lobo marino californiano o de California (Zalophus californianus), lobo marino sudamericano (Otaria flavescens sin. Otaria byronia), foca común (Phoca vitulina), manatí del Caribe (Trichechus manatus manatus), tursión del Indopacífico (Tursiops aduncus) y tonina o delfín nariz de botella (Tursiops truncatus), siendo esta última la especie más abundante.
Las UMA y PIMVS que manejan a los mamíferos marinos cumplen diferentes objetivos en la conservación de los ejemplares, investigación, rescate, atención a varamientos, resguardo, rehabilitación, exhibición, recreación, educación ambiental y aprovechamiento sustentable, por lo que es importante actualizar su regulación a fin de establecer medidas que garanticen un trato digno y respetuoso de los ejemplares que se encuentren confinados en ellos.
1. Objetivo y campo de aplicación
La presente Norma Oficial Mexicana tiene por objeto establecer las especificaciones técnicas para la regulación de las actividades de captura para investigación científica, transporte, exhibición, manejo y manutención de mamíferos marinos en cautiverio.
Es de observancia obligatoria para toda persona física y moral que realice las actividades referidas en el párrafo anterior dentro del territorio nacional.
2. Objetivo legítimo de interés público
De acuerdo con la fracción IX del artículo 10 de la Ley de Infraestructura de la Calidad, el objetivo legítimo de interés público de la presente Norma Oficial Mexicana es el uso y aprovechamiento de los recursos naturales.
La Ley General de Vida Silvestre en su artículo 30 señala que el aprovechamiento de la fauna silvestre se debe llevar a cabo de manera que se eviten o disminuyan los daños a la misma, garantizando su trato digno y respetuoso; siendo las Normas Oficiales Mexicanas, uno de los instrumentos de política ambiental para el establecimiento de medidas necesarias para conservar a los ejemplares de mamíferos marinos que se encuentran en cautiverio y que requieren que se garanticen condiciones de manejo específicas para su bienestar, por lo que, se identifica que la presente regulación, atiende el objetivo de interés legítimo señalado en el párrafo anterior.
3. Referencias normativas
Los siguientes documentos referidos son indispensables para la aplicación de esta Norma Oficial Mexicana, o las que las sustituyan:
3.1 NOM-001-SEMARNAT-2021,      Que establece los límites permisibles de contaminantes en las descargas de aguas residuales en cuerpos receptores propiedad de la nación. Publicada en el Diario Oficial de la Federación el 11 de marzo de 2022.
3.2 NOM-002-SEMARNAT-1996,      Que establece los límites máximos permisibles de contaminantes en las descargas de aguas residuales a los sistemas de alcantarillado urbano o municipal. Publicada en el Diario Oficial de la Federación el 3 de junio de 1998.
3.3 NOM-059-SEMARNAT-2010,      Protección ambiental-Especies nativas de México de flora y fauna silvestres-Categorías de riesgo y especificaciones para su inclusión, exclusión o cambio-Lista de especies en riesgo. Publicada en el Diario Oficial de la Federación el 30 de diciembre de 2010, y su actualización del 14 de noviembre de 2019.
3.4 NOM-126-SEMARNAT-2000,      Por la que se establecen las especificaciones para la realización de actividades de colecta científica de material biológico de especies de flora y fauna silvestres y otros recursos biológicos en el territorio nacional. Publicada en el Diario Oficial de la Federación el 20 de marzo de 2001.
4. Términos y definiciones
Para los propósitos de esta Norma Oficial Mexicana, se aplican los términos y las definiciones contenidas en la Ley General de Vida Silvestre y su Reglamento, así como las siguientes definiciones:
4.1 Aislamiento
Separación física temporal de los animales para evitar el contacto directo entre ellos, mediante el uso de confinamientos secundarios o barreras físicas, garantizando la integridad de los mamíferos marinos.
4.2 Área de interacción o área interactiva
Zona dentro del confinamiento primario que se ocupa para las sesiones de contacto entre los visitantes y los mamíferos marinos en el contexto de los programas interactivos.
4.3 Bienestar animal
El estado en el que un animal enfrenta las condiciones en las que vive, incluyendo la forma en que satisface sus necesidades fisiológicas básicas de nutrición, salud y comportamiento.
4.4 Bitácoras
Documentos de archivo físico o en formato electrónico, con estructura cronológica y permanentemente actualizado para acreditar diferentes aspectos del manejo de los mamíferos marinos y las condiciones en que se encuentran.
4.5 Camilla
Armazón o estructura estrecha y portátil elaborada con material resistente, sin bordes ásperos y con tubos o barras rígidas de soporte, diseñado anatómicamente para el manejo y traslado seguro de mamíferos marinos.
4.6 Captura
Extracción de ejemplares de mamíferos marinos vivos del hábitat natural en que se encuentran, con fines de investigación o rescate.
4.7 Cautiverio
Situación donde un mamífero marino es mantenido en una UMA o PIMVS dependiendo parcial o completamente de los cuidados humanos.
4.8 Cetáceos
Mamíferos marinos del Orden Artiodactyla, Infraorden Cetacea, cuyo hábitat es el medio acuático y que incluye a las especies conocidas como ballenas, cachalotes, delfines oceánicos y de río, zífidos, marsopas, belugas y narvales.
4.9 Condicionamiento operante
Aprendizaje asociativo, basado en el desarrollo de conductas en función de las consecuencias o eventos que suceden, en donde se refuerzan de forma positiva ciertas conductas emitidas que se desea que repitan los animales.
4.10 Confinamiento primario
Alberca o infraestructura específicas ubicadas en instalaciones cerradas o abiertas, que cumple con los requerimientos establecidos en la presente Norma Oficial Mexicana y que son utilizadas como el espacio donde residen uno o más mamíferos marinos.
4.11 Confinamiento secundario
Alberca o infraestructura específicas ubicadas en instalaciones cerradas o abiertas, utilizada de forma provisional y por tiempos definidos a criterio del responsable técnico, exceptuando los programas de reproducción controlada que requieran de mayor tiempo de estancia.
4.12 Contenedor de transporte primario.
Estructura utilizada para el traslado de mamíferos marinos, pudiendo ser de tipo caja o jaula.
4.13 Contingencia o emergencia
Situación derivada de actividades humanas o fenómenos naturales perturbadores que ponen o podrían poner en peligro la integridad de los mamíferos marinos.
4.14 Cuarentena
Conjunto de medidas preventivas, restrictivas y actividades zoosanitarias que se desarrollan para evitar la propagación o introducción de una enfermedad.
4.15 Dimensión Horizontal Mínima
Distancia mínima de nado en línea recta representada como el diámetro mínimo de una alberca o confinamiento circular y en el caso de confinamientos rectangulares, oblongos, o con otra forma que no sea circular, es el diámetro del círculo más grande que se pueda insertar dentro de los límites de esa alberca o confinamiento.
4.16 Entrenamiento
Uso aplicado de métodos y técnicas de condicionamiento operante mediante refuerzo positivo aplicado por especialistas en cuidado animal, con objeto de moldear selectivamente el comportamiento de los ejemplares de mamíferos marinos, obteniendo de esa forma conductas voluntarias para la atención veterinaria, investigación, estimulación física y mental, educación, actividades de interacción y exhibición.
4.17 Espectáculo
Muestra o exposición pública que tiene lugar en una UMA o PIMVS en donde los mamíferos marinos realizan comportamientos dirigidos con el propósito de educar y entretener a los visitantes.
4.18 Estrés
Evidente estado de alteración conductual o fisiológica que presentan los animales para adaptase a diferentes situaciones. Éste debe ser determinado por el responsable técnico o un especialista.
4.19 Exhibición
Muestra o exposición de ejemplares de mamíferos marinos para observación de los visitantes, que no implica su participación en espectáculos o actividades de los programas interactivos.
4.20 Fenómeno Natural Perturbador
Agente perturbador producido por la naturaleza.
4.21 Incidente peligroso
Suceso entre mamíferos marinos en cautiverio y las personas que interactúan con ellos, que resulte en daños o lesiones que pudieran poner en peligro la integridad de cualquiera de las partes involucradas.
4.22 Instalaciones abiertas
Infraestructura necesaria para el confinamiento y mantenimiento de mamíferos marinos, las cuales recibe intercambio de agua del exterior, ya sea por flujo de mareas o por medio de un sistema de bombeo.
4.23 Instalaciones cerradas
Infraestructura destinada al confinamiento y mantenimiento de mamíferos marinos, sin contacto o comunicación directa con el mar, que cuentan con controles de entrada y salida de agua por medio de un sistema de bombeo y sistema de soporte de vida acuática.
4.24 Instalaciones de aclimatación
Aquellas utilizadas de forma temporal con el fin de que los mamíferos marinos que son capturados con la intención de ser mantenidos en cautiverio, se recuperen y se adapten al que será su nuevo entorno, permitiendo su monitoreo en todo momento.
4.25 Instalaciones de apoyo
Infraestructura complementaria para la manutención, atención y manejo de los mamíferos marinos en cautiverio así como para el personal de apoyo.
4.26 Luz de malla
La medida en línea recta de un nudo al siguiente adyacente de una red estirada.
4.27 Mamíferos marinos
Aquellas especies de mamíferos que están adaptados morfológica y fisiológicamente al medio marino o que habitan principalmente en éste o que forman parte de las cadenas tróficas marinas.
4.28 Manada
Grupo de mamíferos marinos de una misma especie, que realizan actividades en común dentro de una zona limitada y que están ligados por lazos de parentesco, sociales o conductuales.
4.29 Muestra biológica
Porción de material biológico proveniente de tejidos, fluidos o sus componentes, colectados para realizar análisis físicos, químicos, biológicos y médicos.
4.30 Muestra de agua
Porción de agua tomada de los confinamientos de los mamíferos marinos con el propósito de determinar sus características fisicoquímicas y biológicas.
4.31 PIMVS
Predio o Instalación que Maneja Vida Silvestre en Forma Confinada, Fuera de su Hábitat Natural.
4.32 Pinnípedos
Mamíferos marinos del Orden Carnivora, Superfamilia Pinnipedia, adaptados a la vida acuática marina y que incluye a lobos marinos, focas y morsas.
4.33 Procuraduría
Procuraduría Federal de Protección al Ambiente (PROFEPA).
4.34 Programa interactivo
Es aquel incluido en el plan de manejo de la UMA o PIMVS que tiene como objetivo la educación ambiental y la protección a los mamíferos marinos, con el propósito de poner a los visitantes en contacto directo con los animales bajo el control y guía de un especialista en cuidado animal.
4.35 Rescate
Conjunto de acciones de respuesta que llevan como fin salvaguardar la integridad física o la vida de cualquier mamífero marino que se encuentre ante un potencial peligro, estado de riesgo o con lesiones y/o enfermedad evidentes y que no pueda valerse por sí mismo.
4.36 Secretaría
Secretaría de Medio Ambiente y Recursos Naturales (SEMARNAT).
4.37 Sirenios
Mamíferos marinos herbívoros que pertenecen al Orden Sirenia y que viven en aguas costeras poco profundas, estuarios y ríos de aguas lentas en las zonas tropicales del mundo y que incluye a manatíes y dugongos.
4.38 Sistema de soporte de vida acuática
Aquel constituido por distintos componentes que permiten controlar las propiedades fisicoquímicas y microbiológicas del agua con la finalidad de mantener el control de su temperatura, remover patógenos y materia orgánica que puedan afectar la salud de los mamíferos marinos confinados en instalaciones cerradas.
4.39 UMA
Unidad de Manejo para la Conservación de Vida Silvestre.
4.40 Vehículo de transporte
Cualquier camión, camioneta, tráiler, avión, barco, embarcación o vagón de tren acondicionado para el transporte de mamíferos marinos.
5. Especificaciones
5.1 Especificaciones Generales
5.1.1 Las especies de mamíferos marinos que se permite mantener en cautiverio y que se regulan en la presente Norma Oficial Mexicana se enlistan en los Apéndices Normativos A y B.
5.1.2 Para la captura de mamíferos marinos, con fines de investigación científica, se debe contar con la licencia de colecta científica o con propósitos de enseñanza en materia de vida silvestre, expedida por la Secretaría y así como dar cumplimiento a lo que establece la NOM-126-SEMARNAT-2000 (ver 3.4).
5.1.3 Para la construcción y operación de las instalaciones para el confinamiento de ejemplares de mamíferos marinos se debe contar con el Registro como Unidad de Manejo para la Conservación de Vida Silvestre (UMA) o Predio o Instalación que Maneja Vida Silvestre en forma Confinada, fuera de su Hábitat Natural (PIMVS) en el padrón correspondiente, de conformidad a lo establecido en la Ley General de Vida Silvestre y su Reglamento.
5.2 Captura con fines de investigación científica de instituciones acreditadas
5.2.1 Para la captura de mamíferos marinos con fines de investigación científica se debe considerar lo siguiente:
5.2.1.1 Los ejemplares que sean capturados y mantenidos en cautiverio con fines de investigación científica por ningún motivo pueden ser utilizados para espectáculos ni para programas interactivos.
5.2.1.2 Los animales que no cumplan con las características estipuladas en la licencia de colecta científica o con propósitos de enseñanza o en la presente Norma Oficial Mexicana, se deben liberar lo antes posible en el mismo sitio de su captura.
5.2.1.3 Los ejemplares capturados se deben sexar, medir conforme a lo que establece la presente Norma Oficial Mexicana y, de ser posible, pesar.
5.2.1.4 Los organismos capturados que muestren un estado de estrés, tienen que ser liberados de manera inmediata en el mismo lugar de su captura.
5.2.1.5 Se debe contar con un botiquín de emergencias con materiales adecuados para la especie de mamífero marino de que se trate, a fin de atender cualquier contingencia o emergencia médica.
5.2.1.6 Para la captura de las especies de mamíferos marinos no contemplados en la presente Norma Oficial Mexicana, se debe solicitar la licencia de colecta científica o con propósitos de enseñanza en materia de vida silvestre, que expida la Secretaría con base al proyecto de investigación científica.
5.2.1.7 Después de la captura se deben tomar las muestras para realizar las pruebas de laboratorio y/o exámenes médicos vinculados a la licencia de colecta científica, o bien, aquellos que el responsable técnico considere procedentes para determinar el estado de salud de los ejemplares.
5.2.1.8 Tratándose de la captura de mamíferos marinos con fines de rescate, se debe considerar lo siguiente:
a)    Cuando la captura sea derivada de la atención a una contingencia ambiental o varamiento, las acciones se tienen que realizar conforme a lo previsto en el Protocolo de Atención para Varamiento de Mamíferos Marinos publicado en el Diario Oficial de la Federación el 17 de junio de 2014 o el que lo sustituya.
b)    En caso de que algún individuo requiera atención médico veterinaria y rehabilitación, su transporte debe realizarse conforme al numeral 5.3 de la presente Norma Oficial Mexicana.
5.2.2 Captura de cetáceos
5.2.2.1 Las tallas mínimas de captura deben corresponder a las de ejemplares jóvenes o adultos, de acuerdo con la especie de que se trate, mismas que se deben incluir en la licencia de colecta científica o con propósitos de enseñanza en materia de vida silvestre correspondiente.
5.2.2.2 Para los cetáceos capturados se deben tomar las siguientes medidas:
a)    Longitud total, desde la punta del rostro hasta la escotadura entre los lóbulos caudales, sobre la parte dorsal siguiendo el eje del cuerpo. En el caso particular de Globicephala macrorhynchus, la referencia a la punta del rostro no debe ser la punta del melón sino el rostro como tal.
b)    Circunferencia dorsal, que normalmente se ubica en la parte anterior a la aleta correspondiente.
En el Apéndice Informativo C se muestran las medidas referidas.
5.2.2.3 No se permite la captura de hembras en evidente estado de gravidez o con crías.
5.2.2.4 Se debe abstener de efectuar lances de red sobre manadas que contengan hembras con cría.
5.2.2.5 No se permite realizar lances sobre grupos mayores a cuatro animales.
5.2.2.6 Si algún animal se llegase a enredar debe ser asistido inmediatamente por una persona que lo mantenga en la superficie del agua o si esto no es posible, se debe cortar la red para su inmediata liberación.
5.2.2.7 Para el traslado de los animales, éstos deben ser colocados sobre una superficie plana acolchonada con una plancha de hule espuma gruesa y mojada, con un grosor calculado de tal manera que su cuerpo no se asiente en la superficie dura.
5.2.2.8 El personal que debe estar presente en todo el proceso de captura es el responsable técnico, quien debe asegurar la salud y el bienestar de los animales, y tiene que cumplir con los requisitos mínimos señalados en esta Norma Oficial Mexicana, así como personal de apoyo suficiente para asistir la captura y vigilar las instalaciones de aclimatación.
5.2.2.9 El equipo de captura con fines de investigación científica es el siguiente:
5.2.2.9.1 Las embarcaciones deben ser de eslora no menor a 8.53 m (28 ft), con manga suficiente para albergar a dos animales, con motor superior a los 40 Hp y contar con piso plano de fibra de vidrio o madera.
5.2.2.9.2 La red debe ser de tipo cerco y medir como mínimo 380 m de largo y con un peralte (caída) de 1 m más de profundidad que la profundidad en la zona de captura.
5.2.2.9.3 La camilla para transportar a los cetáceos capturados debe estar diseñada de acuerdo con la forma del cuerpo de la especie de que se trate, y tiene que ser de lona resistente, con las costuras necesarias para introducir en los extremos los tubos de soporte, sin bordes rasposos que entren en contacto con la piel del animal y contar con dos orificios para las aletas pectorales.
5.2.2.9.4 Se debe de contar con una colchoneta de hule espuma, una superficie plana, así como con utensilios de apoyo como cubetas, telas mojadas, ungüentos u otros aditamentos para mantener humectada la piel de los ejemplares.
5.2.2.10 Para la aclimatación de los ejemplares de cetáceos capturados se debe observar lo siguiente:
a)    El traslado de los organismos capturados a las instalaciones de aclimatación se debe realizar en el contenedor de transporte primario especificado en el numeral 5.3.3.1. Al llegar, se tiene que llevar a los cetáceos en camilla y posteriormente soltarlos en la instalación de aclimatación, bajo la supervisión del responsable técnico.
b)    Para realizar la aclimatación de los organismos capturados, se debe preferir el uso de corrales temporales en zonas cercanas al área de captura, o en el caso de que las condiciones naturales no lo permitan o representen un riesgo, se admite el uso de albercas portátiles o permanentes cercanas al sitio de captura, mismas que para albergar un ejemplar de cetáceo deben tener como dimensiones mínimas 1.00 m de profundidad o la mitad de la longitud corporal promedio del individuo, aplicando el valor que resulte más grande, y una distancia horizontal mínima de dos veces la longitud promedio de la especie conforme al Apéndice Normativo A.
c)    Para que los organismos reconozcan sus nuevos límites, es necesario que el responsable técnico o los especialistas en cuidado animal los guíen dentro de las instalaciones de aclimatación referidas en el numeral anterior. Posteriormente, se les debe soltar en el centro de las citadas instalaciones y si los animales presentan un comportamiento tranquilo, es señal de que el proceso de adaptación está progresando positivamente.
d)    Si los organismos se estrellan contra los límites del corral o alberca, se debe repetir el procedimiento anteriormente descrito hasta que los cetáceos se tranquilicen. En caso de que los animales no se calmen, se debe evitar que se infrinjan daño y se tienen que liberar en el sitio de captura.
e)    El periodo de adaptación al cautiverio en las instalaciones de aclimatación debe ser como mínimo de cuatro días.
f)     A criterio del responsable técnico se debe alimentar a los cetáceos durante los primeros días de su captura, preferentemente con especies provenientes de la zona de captura. Si se observa rechazo al alimento deben ser liberados en el mismo lugar en que fueron capturados, en un periodo no mayor de 72 horas posteriores a su captura.
g)    Durante el periodo de aclimatación se debe insertar el microchip de acuerdo con las recomendaciones del fabricante, de 15 a 20 cm en posición craneal respecto a la aleta dorsal y 15 a 20 cm lateral a la aleta dorsal, con ligera tendencia hacia el lado izquierdo del organismo, evitando la fascia media.
5.2.3 Captura de pinnípedos
5.2.3.1 Únicamente se pueden autorizar actividades de captura fuera de los periodos de apareamiento y nacimientos de las poblaciones, de acuerdo con la biología de cada especie.
5.2.3.2 Los sitios de captura se deben seleccionar con base en:
a)    El conteo de los pinnípedos presentes, realizado previo a la captura.
b)    La presencia de agrupaciones de animales con las características requeridas según las especificaciones de la licencia correspondiente.
c)    Los sitios donde los jóvenes representen al menos 20% del total de la colonia.
d)    Que sea preferentemente en zonas de playa de arena o en plataformas de piedra para mayor seguridad de los ejemplares capturados.
e)    La accesibilidad desde el sitio de desembarque.
f)     La posición del lugar con respecto a la dirección del viento, éste debe soplar en contra para evitar alertar a los animales de la presencia humana desde una distancia mínima de 50 m.
5.2.3.3 Se recomienda contar como mínimo con tres a cuatro ayudantes por red y un captor.
5.2.3.4 Durante el proceso de captura debe haber una persona encargada únicamente de vigilar y alertar a los ayudantes y captor sobre la presencia de algún animal que se pudiera aproximar por el lado ciego de éstos.
5.2.3.5 El responsable técnico debe organizar el procedimiento de captura procurando evitar que los ejemplares lleguen al mar y huyan.
5.2.3.6 Se debe omitir la presencia de personal ajeno a los conteos y la captura en un perímetro de 70 a 100 m; así como realizar conductas que motiven comportamiento en estampida, como por ejemplo la detección visual del personal de captura por parte de los animales.
5.2.3.7 No se permite realizar lances sobre grupos en los que haya animales jóvenes o crías, especialmente si son menores a un año, así como hembras grávidas, por lo que, en caso de ser capturados de forma accidental, tienen que ser liberados inmediatamente.
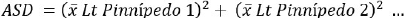
5.2.3.8 Se deben tomar las siguientes medidas de cada pinnípedo capturado:
a)    Longitud total, desde la punta de la nariz hasta la base de la cola, sujetando al animal en posición decúbito ventral.
b)    Circunferencia axilar, detrás de las aletas pectorales.
c)    Circunferencia abdominal a la altura del ombligo.
En el Apéndice Informativo C se muestran las medidas referidas.
Adicionalmente, se debe realizar el pesaje, de ser posible levantando en vilo al animal dentro de la red. Los ejemplares que cumplan con las características requeridas se deben meter en los contenedores de transporte primario o jaulas de transporte descritas en el numeral 5.3.2.6.
5.2.3.9 El animal atrapado tiene que ser trasladado del sitio de captura a las instalaciones de aclimatación dentro del contenedor de transporte primario referido en el numeral anterior.
5.2.3.10 El equipo de captura para especies de pinnípedos es el siguiente:
5.2.3.10.1 Para la captura de pinnípedos se pueden utilizar redes de tiro o camillas de red o redes de aro, cuyo diseño no dañe a los animales durante las maniobras que realicen los captores. Una vez capturados, y dependiendo de su talla, los ejemplares pueden ser controlados, tratándose de animales pequeños, por una o dos personas que sobre ellos aseguren su cabeza con ambas manos colocadas firmemente alrededor del cuello, sin producir asfixia y cuidando que no se lastimen con rocas o algún otro elemento bajo su tórax. En el caso de ejemplares grandes es posible que se requiera de varias personas para el control y para bloquear su ruta de escape.
5.2.3.10.2 Se permite el uso de tablas de pastoreo o escudos de protección para acorralar a los animales o para conducirlos dentro de los contenedores de transporte primario.
5.2.3.10.3 Se recomienda el uso de radios de intercomunicación entre el personal para apoyar la comunicación durante las maniobras de captura.
5.2.3.10.4 Se debe usar un contenedor de transporte primario o jaula transportadora que cumpla con las especificaciones descritas en el numeral 5.3.2.6 y el Apéndice Informativo G, de esta Norma Oficial Mexicana.
5.2.3.10.5 Es admisible encerrar hasta dos animales en el mismo contenedor de transporte primario, pero en caso de que manifiesten rechazo entre ellos, deben ser separados.
5.2.3.11 En las instalaciones de aclimatación el responsable técnico debe mantener bajo observación a los ejemplares y garantizar las siguientes condiciones:
a)    Los contenedores de transporte primario o jaulas transportadoras se deben agrupar de manera que los animales tengan contacto visual, olfativo y auditivo entre ellos, con el fin de disminuir el estrés del confinamiento.
b)    Los contenedores de transporte primario deben permitir una buena ventilación y estar protegidos contra los rayos del sol directo.
c)    Los ejemplares deben ser remojados constantemente con agua de mar o con agua dulce.
d)    Los contenedores de transporte primario deben mantenerse libres de excremento y de restos de comida.
e)    Los animales deben ser alimentados conforme a las recomendaciones del responsable técnico. Si por alguna circunstancia rechazan la comida se tienen que liberar en un periodo no mayor a las 72 horas posteriores a su captura en el mismo lugar de la misma
f)     Durante el periodo de aclimatación se debe colocar un microchip a cada ejemplar capturado, preferentemente entre las escápulas.
g)    El traslado después de la captura y estancia en las instalaciones de aclimatación se deben realizar dentro de los tres días posteriores a la captura.
5.2.4 Captura de sirenios
5.2.4.1 No se permite la captura de hembras en evidente estado de gravidez o con crías.
5.2.4.2 Si algún animal se llegase a enredar en la red de captura, debe ser asistido inmediatamente para mantenerlo en la superficie del agua; si esto no es posible, se debe cortar la red para su inmediata liberación.
5.2.4.3 La captura tiene que realizarse bajo la supervisión de un responsable técnico, contando con el apoyo mínimo de 15 personas de acuerdo con la talla del ejemplar. Se debe ser cuidadoso para evitar que el personal de apoyo se enrede en la red.
5.2.4.4 No se permite realizar la captura en zonas donde haya presencia de grupos de sirenios.
5.2.4.5 La captura de los sirenios se puede realizar en la zona cercana a la orilla de los cuerpos de agua o en la zona marina utilizando una embarcación.
5.2.4.6 El método de captura consiste en rodear al ejemplar con una red que es gradualmente arrastrada hacia la orilla hasta que el animal esté dentro de aguas someras para que los manejadores puedan contenerlo físicamente o, en el caso de la captura en la zona marina, la red debe ser arrastrada hacia la embarcación para poder subir el ejemplar a bordo. Una vez fuera del agua se recomienda cubrir sus ojos y enredar una pequeña porción de red sobre su hocico, cuidando de no obstruir su respiración.
5.2.4.7 El equipo de captura para los sirenios es el siguiente:
5.2.4.7.1 Para la captura desde la orilla se puede utilizar una red con luz de malla de 10 cm, con dimensiones de aproximadamente 30 a 35 m de largo y 4 m de ancho con una línea de plomos, con el fin de rodear al ejemplar a capturar. Es recomendable que la red cuente con una jareta sobre la línea de flotación que permita cerrar la red cuando se haya capturado a un ejemplar. El manejo de un sirenio adulto saludable puede requerir la intervención de un mínimo de 10 personas.
5.2.4.7.2 Para la captura desde una embarcación es importante que la altura de la red exceda la profundidad del agua de modo que se forme una bolsa en el fondo.
5.2.4.7.3 Una vez que el animal sea llevado a aguas someras o a bordo de la embarcación, debe ser colocado sobre su vientre en una superficie plana acolchonada y húmeda de hule espuma con un grosor mínimo de 15 cm, tan pronto como sea posible, asegurándolo mediante el uso de correas que no lastimen la piel del ejemplar, controlando antes que nada su cola, lo cual se puede hacer colocando un trozo de hule espuma grueso sobre la paleta y el peso de dos o tres personas. También se debe cuidar que las aletas pectorales queden libres y acomodadas confortablemente a sus costados.
5.2.4.7.4 Para mover a los ejemplares capturados se debe utilizar una camilla de aproximadamente 3.5 m de largo y lo suficientemente ancha como para dar cabida a la circunferencia de los animales.
5.2.4.8 Se deben tomar las siguientes medidas a los animales capturados:
a)    Longitud total, desde la punta del hocico hasta el borde externo de la aleta caudal, en línea recta por encima del cuerpo y no sobre el contorno de este.
b)    Circunferencia axilar, detrás de las aletas pectorales.
c)    Circunferencia abdominal a la altura del ombligo.
d)    Circunferencia a la altura de la apertura anal.
En el Apéndice Informativo C se muestran las medidas referidas.
5.2.4.9 El implante del microchip para el marcaje de los animales capturados se debe realizar de manera subcutánea en el dorso, entre la escápula y el occipital.
5.2.4.10 El traslado después de la captura se debe realizar como máximo dentro de los siguientes siete días, plazo que puede ser ampliado de acuerdo con la recomendación del responsable técnico, y conforme a lo establecido en el numeral 5.3.3 de esta Norma Oficial Mexicana.
5.3 Transporte de ejemplares vivos
5.3.1 Especificaciones generales para el equipo y manejo en el transporte de mamíferos marinos
5.3.1.1 Las personas que trasladen ejemplares vivos de mamíferos marinos que no cuenten con documentación para demostrar su legal procedencia, deben dar aviso previo a la Secretaría mediante la presentación de un escrito libre. El traslado se debe realizar hasta obtener la respuesta favorable por parte de dicha autoridad.
Los movimientos de ejemplares que se realicen deben quedar registrados en la bitácora de traslado a que se refiere el numeral 5.9.1 f).
5.3.1.2 Los mamíferos marinos sólo pueden ser transportados en contenedores de transporte primario y camillas que cumplan con las características que se detallan en la presente Norma Oficial Mexicana.
Solo se admite transportar ejemplares de mamíferos marinos en condiciones distintas a las especificadas en la presente Norma Oficial Mexicana, por situaciones derivadas de atención a fenómenos naturales perturbadores que deriven en el varamiento de mamíferos marinos en vida libre, cuando éstos no puedan recibir atención médica in situ.
5.3.1.3 El transporte puede efectuarse por vía aérea, terrestre o marítima, escogiendo siempre la opción más rápida, eficiente y cómoda para los mamíferos marinos.
5.3.1.4 El transporte se debe realizar bajo la coordinación del responsable técnico, quien puede apoyarse de otros médicos veterinarios zootecnistas y auxiliados éstos por los especialistas en cuidado animal, quienes deben cuidar en todo momento su bienestar, vigilar su salud y brindar los cuidados veterinarios necesarios.
5.3.1.5 No se permite transportar a los mamíferos marinos con otro tipo de carga o con algún material, sustancia o artefacto que pueda ser perjudicial a su salud y bienestar.
5.3.1.6 El responsable técnico debe vigilar que ningún mamífero marino quede expuesto a temperaturas ambientales que puedan causarles hipotermia o hipertermia.
5.3.1.7 La temperatura alrededor de cualquier contenedor de transporte primario debe ser medida a una distancia máxima de 1 m de cualquiera de las paredes de los contenedores de transporte primario y al nivel medio dentro de instalaciones cerradas (entre el techo y el piso).
5.3.1.8 Se debe proteger a los contenedores de transporte primario de la exposición directa de los rayos solares, debiendo mantenerlos a la sombra.
5.3.1.9 Dependiendo de las características de la especie, se debe utilizar agua fría o hielo para refrescarlos y evitar un sobrecalentamiento o golpe de calor durante el traslado. En caso de que se utilice hielo como método de enfriamiento, éste nunca debe aplicarse directamente sobre la piel de los animales y por ningún motivo debe utilizarse hielo seco.
5.3.1.10 Durante el transporte se debe garantizar que los ejemplares cuenten con ventilación, sea natural o artificial, pero nunca se deben exponer a las corrientes de aire directas. En caso de bajas temperaturas, los animales y sus contenedores de transporte primario deben ser protegidos.
5.3.1.11 No es admisible exponer a los animales a ruidos estruendosos, sean súbitos o continuos, que los lleven a condiciones de estrés.
5.3.1.12 Los mamíferos marinos deben ser hidratados durante el transporte, en función de sus características biológicas.
5.3.1.13 Los contenedores de transporte primario y las camillas para mamíferos marinos tienen que cumplir con las siguientes especificaciones generales:
a)    Estar construidos con material durable, resistente, no tóxico y que no pueda ser mordido e ingerido por el animal.
b)    El material y el diseño deben aguantar el rigor normal de transporte.
c)    Su interior y las partes que pudieran estar en contacto con los animales tienen que estar libres de salientes, picos, ganchos o protuberancias que puedan lastimarlos.
d)    Estar diseñados de manera que ninguna parte del cuerpo del animal quede expuesta al exterior del contenedor de transporte primario y de modo que faciliten el acceso al personal veterinario y a los especialistas en cuidado animal para prestarles la atención necesaria.
e)    Estar equipados con asas o agarraderas y puntos de elevación que permitan levantarlos fácilmente sin inclinarlos innecesariamente y de manera que las personas que los manejen no entren en contacto directo con los ejemplares.
f)     Estar marcados en las cuatro paredes y en el techo con el letrero "ANIMAL VIVO-NO INCLINAR" en letras no menores de 3 cm de altura y poner en todos los puntos posibles flechas que indiquen la parte superior e inferior del contenedor.
g)    La copia de los documentos que acrediten la legal procedencia y transporte de los animales deben estar accesibles en la parte externa de los contenedores de transporte primario, dentro de un sobre resistente al agua y duradero, fijado firmemente al contenedor.
5.3.1.14 Los mamíferos marinos transportados en el mismo contenedor de transporte primario deben ser de la misma especie y compatibles. Los individuos que no han alcanzado la pubertad y dependan de sus madres, solo pueden ser transportados en un mismo contenedor con ellas, y de no ser factible deben ir solos. Los animales con algún vínculo familiar o socialmente relacionados tienen que ser transportados preferentemente de manera que se les permita contacto visual, auditivo y olfativo. Hembras de mamíferos marinos no pueden ser transportadas en el mismo contenedor en que se transporten machos adultos de la especie.
5.3.1.15 Los contenedores de transporte primario para cetáceos y pinnípedos deben ser aislados de los animales de otras especies.
5.3.1.16 Los contenedores de transporte primario y las camillas tienen que ser manejados con el cuidado necesario, evitando que se muevan o que estén en condiciones que puedan representar un riesgo para los mamíferos marinos o provocarles traumas físicos o estrés.
5.3.1.17 Es posible restringir el movimiento de los ejemplares cuando el responsable técnico juzgue que el libre movimiento constituye un peligro para los animales, sus cuidadores u otras personas.
5.3.1.18 Los vehículos utilizados en la transportación de mamíferos marinos deben cumplir con las siguientes especificaciones:
a)    Tener un espacio de carga que proteja la integridad y asegure el bienestar, salud, ventilación adecuada y comodidad de los animales ahí transportados.
b)    Contar con espacio suficiente para que los contenedores de transporte primario puedan estar ubicados dentro de los vehículos de transporte, de manera que tengan ventilación cruzada y que, en caso de emergencia, los animales puedan ser evacuados fácilmente.
c)    Se recomienda que, dentro del vehículo de transporte, los ejemplares sean colocados en posición transversal, y si esto no es posible, colocarlos con la cabeza hacia adelante.
d)    Los contenedores de transporte primario se deben fijar para evitar los efectos del movimiento del medio de transporte, y se deben mantener siempre en posición horizontal.
5.3.1.19 Para el movimiento de los mamíferos marinos en el interior del país, importación, exportación, reexportación e introducción procedente del mar con fines de investigación científica, sea temporal o definitiva, se debe cumplir con los siguientes requisitos:
a)    En el caso de instalaciones abiertas se debe observar que los mamíferos marinos pertenezcan a su zona de distribución natural considerando su cuenca de origen, por ejemplo, los mamíferos marinos del Atlántico (Golfo de México y Mar Caribe) deben ser albergados en instalaciones abiertas de la misma costa.
b)    Toda persona interesada en efectuar la importación, exportación, reexportación e introducción procedente del mar con fines de investigación científica, temporal o definitiva de ejemplares de mamíferos marinos para su confinamiento destinado a la investigación científica, debe realizar el trámite correspondiente ante la Secretaría: Autorización, permiso o certificado de importación, exportación, reexportación o introducción procedente del mar de ejemplares, partes y derivados de la vida silvestre incluidas en la Convención sobre el Comercio Internacional de Especies Amenazadas de Fauna y Flora Silvestre (CITES), y cumplir con las regulaciones que en éstos se establecen.
       En caso de que el transporte se realice por vía aérea, es necesario cumplir con las "Regulaciones para el Transporte de Animales Vivos" de la Asociación Internacional de Transporte Aéreo (IATA, por sus siglas en inglés).
c)    Para la importación de especies exóticas para México, el importador debe demostrar ante la Secretaría, previo a que los animales abandonen sus sitios de origen, que tiene disponibilidad de instalaciones con aislamiento total y adecuadas para una cuarentena, además de contar con registro de UMA o PIMVS con plan de manejo aprobado para la especie con fines de investigación.
5.3.2 Especificaciones para el transporte de pinnípedos y nutrias marinas.
5.3.2.1 Los contenedores de transporte primario pueden ser de madera, malla soldada, aluminio, otro metal resistente a la corrosión y/o barras de hierro.
5.3.2.2 El contenedor de transporte primario tiene que ser lo suficientemente grande como para permitir que el animal permanezca de pie en su posición normal y pueda girar su cuerpo 360° sin obstáculo dentro del contenedor. La medida diagonal del piso del contenedor debe permitir que el ejemplar pueda acostarse en forma cómoda.
5.3.2.3 Si el contenedor de transporte primario se acomoda junto a una pared, debe dejar un espacio mínimo de 5 cm entre éste y la pared, para asegurar una mínima ventilación. En el caso de transportar más de un contenedor, también se debe mantener dicha distancia entre contenedores.
5.3.2.4 Cuando el contenedor de transporte primario se fije dentro del espacio de carga del vehículo de transporte de manera que su parte frontal sea la única que permita la ventilación, esa pared frontal debe ser orientada a un pasillo sin obstrucciones. En este caso, la parte frontal de ventilación debe tener como mínimo el 90% cubierto con barrotes o malla de alambre o metal.
5.3.2.5 Los mamíferos marinos que presenten un comportamiento agresivo deben mantenerse dentro de su contenedor de transporte primario, excepto cuando haya una emergencia extrema y la liberación sólo pueden realizarla los especialistas en cuidado animal o el responsable técnico.
5.3.2.6 Para el caso de los pinnípedos, se debe realizar el transporte utilizando el contenedor de transporte primario o jaula transportadora que cumpla con las especificaciones establecidas en el numeral 5.3.1.13 (ver Apéndice Informativo G), además de las siguientes:
a)    La longitud y el ancho del contenedor de transporte primario deben tener 20 cm adicionales a lo que mide el animal en posición extendida y acostado o parado sobre sus aletas delanteras, según sea el caso.
b)    El contenedor de transporte primario debe proveer ventilación en todas sus paredes y a todos los niveles, con aberturas lo suficientemente estrechas para impedir que el animal introduzca su nariz para evitar posibles traumatismos, además debe permitir tener acceso visual dentro del contenedor para poder observar al animal por al menos dos caras del citado contenedor.
c)    Deben tener un piso falso de superficie lisa que permita el paso de los desechos. También se puede usar un piso sólido con una protección contra salpicaduras de 7.5 a 12.5 cm alrededor de la base del contenedor.
d)    El acceso tiene que estar ubicado en la parte frontal con la misma medida que tiene el armazón del contenedor de transporte primario, con una puerta corrediza, tipo guillotina o con bisagra, la cual, debe contar con un mecanismo para asegurarla y prevenir la abertura accidental. Este acceso tiene que permitir atender cualquier emergencia y si es necesario, poder sacar al animal de forma rápida.
5.3.2.7 Para el transporte de nutrias marinas se debe usar un contenedor de transporte primario o jaula transportadora que cumpla con las especificaciones establecidas en el numeral 5.3.1.13 (ver Apéndice Informativo H), además de lo siguiente:
a)    Debe ser capaz de soportar el peso de la nutria marina que sea transportada, así como el peso adicional de hielo o cualquier equipo necesario para regular su ambiente.
b)    Cumplir con las dimensiones para una nutria marina adulta que son de aproximadamente de 107 cm de largo por 81 cm de ancho y 71 cm de alto.
c)    Contar con un piso falso que permita el libre paso de las excretas, restos de comida o el agua producto del derretimiento del hielo; las cuales deben ser captadas por una charola removible para facilitar su limpieza.
d)    Tener orificios de ventilación en sus cuatro paredes, los cuales deben cubrir una superficie no menor al 20% de la superficie total y deben situarse cerca de donde se ubicará la cabeza de la nutria marina, tanto de pie como acostada, evitando que sus extremidades u hocico puedan asomarse. Se permite que los contenedores puedan llevar agujeros adicionales en el techo o los costados.
e)    Permitir el acceso visual dentro del contenedor para poder observar al animal.
f)     El acceso al contenedor tiene que ser a través de una puerta corrediza o tipo guillotina que pueda ser asegurada con objeto de evitar cualquier abertura accidental, que permita el acceso para la alimentación, inspección del interior y, en general, la atención del ejemplar transportado.
5.3.3 Especificaciones para el transporte de cetáceos y sirenios.
5.3.3.1 Los contenedores de transporte primario deben cumplir con las especificaciones señaladas en el numeral 5.3.1.13 (ver Apéndices Informativos F e I), además de lo siguiente:
a)    Pueden estar construidos con aluminio u otro metal resistente a la corrosión, lona, fibra de vidrio, hule espuma, plástico resistente, policloruro de vinilo (PVC) y/o madera.
b)    Ser a prueba de filtraciones y estar abiertos en su parte superior, pudiendo tener una abertura abatible en uno de sus extremos para facilitar la salida del animal. En su interior, el animal debe quedar suspendido en una camilla de lona, sujeta a una estructura tubular, la cual tiene que descansar sobre un hule espuma. La lona de la camilla debe tener cortes especiales para que las aletas pectorales asomen libremente a través de ellos sin ocasionar molestias al animal.
c)    En el caso de los cetáceos, el largo y el ancho del contenedor de transporte primario deben garantizar un espacio mínimo de 8 cm entre la cara interior del contenedor y la cabeza del animal y su cola; ese mismo espacio se debe garantizar entre la cara interna de los costados del contenedor de transporte primario y la armazón metálica de la camilla de lona.
d)    Estar equipado en su interior con un acolchonamiento de hule espuma mojado para prevenir trauma o heridas en puntos críticos del cuerpo donde la presión por el peso pueda causar lesiones, heridas, asfixia, estallamiento de vísceras o cualquier tipo de daño físico.
e)    De preferencia se debe realizar el transporte de los ejemplares en húmedo, para ello el agua debe cubrir aproximadamente dos tercios (2/3) del cuerpo del animal para proveerle un soporte parcial y facilitar su termorregulación.
f)     El transporte en seco es una opción siempre que los animales se mantengan humectados y se controle su temperatura corporal.
g)    En el caso específico de los sirenios, se admite el transporte sin uso de camilla; en este caso, el tamaño de la caja tiene que permitir que el animal haga ajustes posturales cómodamente, pero sin poder girarse. Una vez dentro, el ejemplar debe tener un espacio libre mínimo de 20 cm en la parte delantera, trasera y entre los lados. El contenedor de transporte primario debe estar forrado en su interior con una espuma gruesa de al menos 30 cm de espesor que cubra el fondo y lados de la caja. La espuma puede estar cubierta de un material impermeable. (Ver ap鮤ice informativo I).
5.3.3.2 Al igual que los contenedores de transporte primario y las camillas, los arneses y otro equipo de sujeción deben estar libres de salientes, picos, ganchos o protuberancia alguna que puedan lastimar a los animales, para lo cual deben ser de material acolchado y se debe evitar apretarlos demasiado.
5.3.3.3 En el caso de cetáceos y sirenios, no se permite asentar la camilla directamente sobre el suelo o cualquier superficie rígida.
5.3.3.4 En el caso de los sirenios es obligatorio el uso de sistemas de sujeción con el fin de evitar que el animal intente rodar.
5.3.3.5 En preparación para el transporte, el cuerpo del ejemplar puede ser cubierto con ungüento humectante en las regiones del dorso, laterales y abdomen con el fin de mantener la piel hidratada y protegerla contra abrasiones. Se debe abstener de cubrir con ungüento las aletas pectorales, dorsal y caudal para no interferir con la termorregulación, estas áreas se deben rociar con agua fría (10 a 15°C) constantemente y vigilar que se mantengan húmedas. Los sistemas de sujeción deben ser acolchados y colocados bajo la supervisión del responsable técnico.
5.3.3.6 Durante el transporte, el responsable técnico puede tener a su cargo un máximo de cuatro animales, a los cuales debe tener acceso permanente para mantenerlos húmedos, atender cualquier emergencia y garantizar que se mantengan asegurados. El responsable técnico puede ser auxiliado por otros médicos veterinarios zootecnistas.
5.3.3.7 Se debe tener disponible en todo momento un rociador mecánico o mantas humedecidas en agua, los cuales se tienen que utilizar evitando mojar la cabeza del animal y cerca de los orificios de respiración (respiráculo o fosas nasales).
5.3.3.8 En caso necesario, se debe cambiar de posición a los animales para prevenir necrosis en los puntos que soportan el peso del cuerpo.
5.4 Especificaciones para la construcción y operación de instalaciones
5.4.1 Todas las instalaciones cerradas y abiertas que alberguen mamíferos marinos deben cumplir con las siguientes especificaciones generales:
a)    Proveer espacio adecuado a la especie que se mantiene en cautiverio, tal como se describe en la presente Norma Oficial Mexicana, aclarando que, para este fin, el rotar a los animales entre los confinamientos primarios y confinamientos secundarios, así como entre los confinamientos de otros PIMVS o UMA, no es una práctica aceptable para cumplir con los requerimientos de espacio mínimo.
b)    Estar construidas con materiales y diseño que eviten el daño físico, así como el riesgo a enfermedades y con una estructura apropiada para los animales que tienen su permanencia parcial o total en el agua. Los materiales utilizados tienen que ser inoxidables, sin bordes ni superficies filosas con el fin de que se asegure la integridad física de la estructura y de los animales, además de que deben facilitar una limpieza y desinfección adecuadas.
c)    Contar al menos con un confinamiento primario al que tengan acceso los animales en todo momento, excepto cuando el responsable técnico determine una cuarentena o los animales estén separados en un confinamiento secundario.
d)    Contar con confinamientos secundarios para proporcionarles tratamiento médico hasta que se determine el buen estado de salud de los individuos, los cuales deben cumplir con lo establecido en el numeral 5.4.8.1.
e)    Todas las instalaciones deben contar con áreas de sombra natural o artificial para su protección, las cuales deben ser determinadas por el responsable técnico tomando en cuenta el número de ejemplares confinados.
f)     Deben ser mantenidas en buen estado para proteger y asegurar el bienestar de los animales, debiendo contar con un programa de mantenimiento continuo y adecuado, que incluya los edificios, las áreas para exhibición y espectáculos y las cercas o muros.
g)    Contar con los medios necesarios para garantizar que exista un suministro constante y confiable de energía eléctrica, así como de agua potable, incluyendo su abastecimiento en casos de emergencia.
h)    En instalaciones al aire libre, se debe asegurar que las condiciones de temperatura del agua y el aire no sean adversas al bienestar de los mamíferos marinos ahí confinados.
i)     En el caso de realizar la recreación de los hábitats naturales de los mamíferos marinos bajo confinamiento, éstos deben concordar con los hábitats reales de las especies y los elementos utilizados para tal fin, sean naturales o artificiales, deben prevenir riesgos o daños a la salud de los animales.
5.4.2 Adicional a lo establecido en el numeral 5.4.1, todas las instalaciones cerradas deben cumplir con las siguientes características:
5.4.2.1 Tener sistemas para regular las temperaturas del agua en las instalaciones cerradas, a fin de que éstas no suban o bajen más de lo que es compatible con la salud de los animales.
La temperatura del agua debe mantenerse considerando los siguientes rangos de referencia:
a)    Toninas, tursiones o delfines nariz de botella (Tursiops truncatus): entre 14°C y 32°C.
b)    Tursiones o delfines nariz de botella del Indopacífico (Tursiops. aduncus): entre 20°C y 32°C.
c)    Otáridos (Arctocephalus towsendi, Otaria flavescens, Zalophus californianus): entre 14°C y 32°C.
d)    Fócidos (Mirounga angustirostris, Phoca vitulina): inferior a 24°C.
e)    Manatíes (Trichechus manatus): entre 21°C y 32°C.
f)     Nutrias marinas (Enhydra lutris): entre 10°C y 18°C.
Tratándose de especies de cetáceos no incluidas en este numeral, la temperatura del agua debe mantenerse en un rango adecuado definido por el responsable técnico basado en estudios de tolerancia térmica o temperatura ambiental de la zona de origen reportados en literatura científica, para no afectar negativamente la salud de los ejemplares bajo confinamiento; en este último caso, debe quedar asentado en el plan de manejo correspondiente.
5.4.2.2 Ventilación constante y adecuada, ya sea natural o mecánica, para asegurar la salud y bienestar de los animales y del personal que labora en las instalaciones, para ello es posible usar ventanas, puertas, ventilas, ventiladores o aire acondicionado. Se deben tomar medidas para evitar corrientes de aire, malos olores y la condensación de humedad al interior.
5.4.2.3 Iluminación natural y eléctrica de buena calidad, con una exposición a la luz de acuerdo con el biorritmo del animal. La luz debe ser de suficiente intensidad para efectuar la revisión de los animales, limpieza y operaciones normales a cualquier hora del día.
5.4.2.4 Un sistema de drenaje efectivo y limpio para eliminar de forma eficiente el exceso de agua y líquidos de las instalaciones, evitar su infiltración o las inundaciones, el cual debe ser mantenido en buenas condiciones de funcionamiento y cumplir con la legislación vigente aplicable.
5.4.2.5 Sistema de soporte de vida acuática para el llenado y reciclamiento del agua.
5.4.3 En el caso de las instalaciones abiertas para mamíferos marinos, adicional a lo establecido en el numeral 5.4.1, se deben tener en cuenta los siguientes requerimientos:
5.4.3.1 Ningún mamífero marino puede ser confinado en instalaciones abiertas donde la temperatura del agua no corresponda al intervalo aceptado para su especie y zona geográfica, de acuerdo con lo que señala el numeral 5.4.2.1.
5.4.3.2 Las redes o mallas que se instalen para delimitar el confinamiento primario deben sujetarse mediante pilotes de material rígido y resistente, fijados en el fondo para asegurar la estabilidad de las construcciones. Estas estructuras no deben modificar de manera significativa la circulación del agua para evitar su estancamiento y degradación de su calidad.
5.4.4 Los confinamientos primarios para cetáceos, sean abiertos o cerrados, deben cumplir con un espacio mínimo requerido, calculado con base en cuatro factores principales:
a)    Dimensión horizontal mínima.
b)    Profundidad mínima.
c)    Volumen mínimo de agua.
d)    Área superficial mínima.
Los confinamientos primarios de cetáceos construidos en el mar deben cumplir con los espacios mínimos requeridos durante la marea baja.
5.4.4.1 Los confinamientos primarios deben garantizar una dimensión horizontal mínima atendiendo a los requerimientos de espacio de cada especie. Para el cálculo de la dimensión horizontal mínima se debe tomar en cuenta la longitud promedio de los adultos, de acuerdo con los Grupos de cetáceos que se incluyen en el Apéndice Normativo A, así como lo siguiente:
a)    Para los cetáceos que pertenezcan al Grupo I y tengan una talla menor o igual a 3.66 m, la dimensión horizontal mínima debe ser de 7.32 m.

       En donde:
DHM          es la dimensión horizontal mínima
b)    Para los cetáceos del Grupo I con una talla mayor a 3.66 m, la dimensión horizontal mínima debe corresponder a dos veces la longitud promedio del adulto de la especie más larga ahí confinada.

       En donde:
DHM          es la dimensión horizontal mínima
        es la longitud promedio del adulto
       En el Apéndice Informativo D se incluyen ejemplos de los requerimientos de la dimensión horizontal mínima para diferentes tallas de cetáceos del Grupo I.
c)    Para los cetáceos del Grupo II la dimensión horizontal mínima debe de corresponder a cuatro veces la longitud promedio del adulto de la especie más larga ahí confinada.

       En donde:
DHM          es la dimensión horizontal mínima
        es la longitud promedio del adulto
d)    Para una combinación de cetáceos de los Grupos I y II, la dimensión horizontal mínima debe ser cinco veces la longitud del animal más largo que se confine.

       En donde:
DHM          es la dimensión horizontal mínima
        es la longitud promedio del adulto
La longitud de los cetáceos se tiene que medir en línea recta paralela desde la punta de la mandíbula superior o rostro, o de la parte más anterior de la cabeza para los animales sin rostro aparente, hasta la hendidura de la cola.
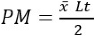
5.4.4.2 La profundidad mínima de los confinamientos primarios tanto para cetáceos del Grupo I como del Grupo II debe calcularse tomando en cuenta la longitud promedio de los adultos referidos en el Apéndice Normativo A, aplicando los siguientes criterios:
a)    Para los cetáceos que tengan una talla menor o igual a 3.66 m, la profundidad mínima debe ser de 2 m.

       En donde:
PM            es la profundidad mínima
b)    Para los cetáceos con una longitud promedio mayor a 3.66 m, la profundidad mínima debe ser la mitad de la longitud promedio de la especie más larga contenida en el confinamiento primario independientemente del Grupo al que pertenezca.

       En donde:
PM            es la profundidad mínima
        es la longitud promedio del adulto
       En el Apéndice Informativo E se incluyen ejemplos de la profundidad mínima para el Grupo I.
c)    Cuando el confinamiento primario albergue simultáneamente ejemplares de los Grupos I y II, la profundidad mínima debe ser equivalente a la longitud promedio del adulto de la especie más larga ahí confinada.
Los espacios del confinamiento primario que no cumplan con la profundidad, no deben ser incluidos en el cálculo total de requerimientos de espacio.
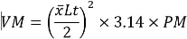
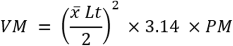
5.4.4.3 El volumen mínimo de agua requerido para los confinamientos primarios para cetáceos se debe calcular conforme a los siguientes criterios:
a)    Si el confinamiento primario para cetáceos cumple con los requerimientos de la dimensión horizontal mínima y la profundidad mínima, se puede garantizar que el volumen mínimo de agua y el área superficial mínima son suficientes para mantener en buen estado hasta dos ejemplares de cetáceos del Grupo I o hasta cuatro ejemplares del Grupo II. Para introducir ejemplares adicionales en el mismo confinamiento primario, el volumen y el área superficial mínima deben ser ajustados en la proporción que establecen los incisos b) y c) de este numeral y el numeral 5.4.4.4, de acuerdo con el Grupo que pertenezcan.
b)    El volumen mínimo de agua requerido para dos ejemplares del Grupo I se basa en la siguiente fórmula:

       En donde:
VM            es el volumen mínimo
DHM          es la dimensión horizontal mínima
PM            es la profundidad mínima
       Cuando haya más de dos ejemplares de cetáceos del Grupo I en el mismo confinamiento primario, el volumen mínimo de agua adicional necesario para cada ejemplar que se agregue al volumen calculado con la fórmula para dos ejemplares del Grupo I de este mismo inciso, se debe obtener de la siguiente manera:

       En donde:
VM            es el volumen mínimo
        es la longitud promedio del adulto
PM            es la profundidad mínima
       El Apéndice Informativo E incluye ejemplos del volumen mínimo de agua requerido por cada cetáceo adicional del Grupo I.
c)    El volumen mínimo de agua requerido para cuatro ejemplares del Grupo II se basa en la siguiente fórmula:

       En donde:
VM            es el volumen mínimo
DHM          es la dimensión horizontal mínima
PM            es la profundidad mínima
       Cuando haya más de cuatro cetáceos del Grupo II en el mismo confinamiento primario, el volumen de agua adicional necesario para cada ejemplar que se agregue al volumen calculado con la fórmula para cuatro ejemplares del Grupo II de este mismo inciso, se debe calcular de la siguiente manera:

       En donde:
VM            es el volumen mínimo
        es la longitud promedio del adulto
PM            es la profundidad mínima
d)    Cuando se encuentren en el mismo confinamiento primario una mezcla de cetáceos de los Grupos I y II, se deben obtener la dimensión horizontal mínima y la profundidad mínima como se describe en los numerales 5.4.4.1 y 5.4.4.2, respectivamente, y con esas medidas calcular el volumen para cada uno de los ejemplares confinados con la siguiente fórmula:

       En donde:
VM            es el volumen mínimo
DHM          es la dimensión horizontal mínima
PM            es la profundidad mínima
Posteriormente el volumen mínimo del tanque debe ser calculado sumando los volúmenes de tanque requeridos por cada ejemplar. Si la suma de estos datos es mayor al que se obtendría calculándolo con la dimensión horizontal mínima y la profundidad mínima, el volumen adicional se debe obtener aumentando las dimensiones laterales del confinamiento primario y/o su profundidad.
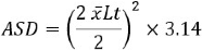
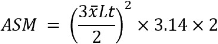
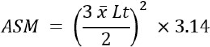
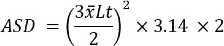
5.4.4.4 El área superficial mínima para el confinamiento primario de cetáceos se debe obtener conforme a las siguientes especificaciones:
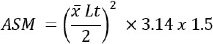
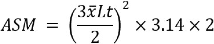
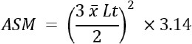
a)    El área superficial mínima por cada ejemplar albergado en un mismo confinamiento primario, independientemente de que se trate de cetáceos del Grupo I o del Grupo II, se debe calcular con la siguiente fórmula:

       En donde:
ASM          es el área superficial mínima
        es la longitud promedio del adulto
       El Apéndice Informativo D incluye ejemplos del área superficial mínima requerida para cada cetáceo.
       Para más de dos cetáceos del Grupo I o cuatro cetáceos del Grupo II, el área superficial para animales adicionales debe calcularse para cada uno de los ejemplares.
b)    Si en un mismo confinamiento primario se combinan distintas especies de mamíferos marinos de los Grupos I y II, deben cumplirse los requerimientos de dimensión horizontal mínima, profundidad mínima y volumen mínimo de agua.
       Posteriormente se debe determinar el área superficial mínima requerida para cada ejemplar que se albergue en dicho confinamiento y sumarse; esta suma se tiene que comparar con la obtenida mediante el cálculo con la dimensión horizontal mínima. La cantidad más grande tiene que ser la que se utilice para calcular el área superficial mínima de dicho confinamiento primario.
c)    Las superficies del confinamiento primario que no cumplan con la profundidad mínima, no pueden ser utilizadas para el cálculo del área superficial mínima.
5.4.4.5 Para realizar actividades del programa interactivo con delfines, además de los requerimientos de espacio descritos en la presente sección, el confinamiento primario debe cumplir con las siguientes especificaciones adicionales:
a)    Tener un área de interacción o área interactiva de fácil acceso para el ejemplar.
b)    La dimensión horizontal mínima (DHM) para cada área debe ser al menos cuatro veces la longitud promedio total del adulto de la especie más grande ahí confinada, de acuerdo con las tallas referidas en el Apéndice Normativo A.

       En donde:
DHM          es la dimensión horizontal mínima
        es la longitud promedio del adulto
c)    El área superficial mínima (ASM) requerida para cada área debe ser calculada para hasta dos ejemplares con la siguiente fórmula:

       En donde:
ASM          es el área superficial mínima
        es la longitud promedio del adulto
       Para 3 ejemplares, la fórmula a utilizar es la siguiente:

       En donde:
ASM          es el área superficial mínima
        es la longitud promedio del adulto
       Por cada animal adicional a tres, se debe calcular con la siguiente fórmula:

       En donde:
ASM          es el área superficial mínima
        es la longitud promedio del adulto
d)    La profundidad mínima (PM) para los encierros, lagunas y similares condiciones naturales en marea baja debe ser equivalente al tamaño del delfín más grande en el encierro como mínimo. Los encierros hechos por el hombre y otras estructuras no sujetas a las condiciones de la marea, deben tener una profundidad mínima de 3.0 m.
       Se permite que una porción de cada área pueda tener menor profundidad, sin embargo, esa porción no debe ser incluida en el cálculo de espacio mínimo.
e)    El volumen mínimo (VM) requerido para cada animal se calcula de la siguiente manera:

       En donde:
VM            es el volumen mínimo
ASM          es el área superficial mínima
        es la longitud promedio del adulto
5.4.5 El confinamiento primario para pinnípedos debe contener:
a)    Un área seca de descanso (ASD) o de actividad social, suficientemente cerca de la superficie del agua como para permitir el fácil ingreso o salida de la alberca.
b)    Para los mamíferos que se mantengan al aire libre, se debe incluir un refugio acorde a la especie en confinamiento, que les brinde protección contra los eventos atmosféricos, de otros ejemplares y de los visitantes.
c)    Por lo menos una alberca.
5.4.5.1 El cálculo del área seca de descanso o de actividad social debe basarse en la longitud promedio del adulto de cada especie de pinnípedo ahí confinado, de acuerdo con el Apéndice Normativo B, el cual debe ser medido en una posición horizontal o extendida, en línea recta de la punta de la nariz a la punta de la cola. El cálculo del área mínima de la zona de descanso y actividad social no incluye el tanque de agua, y debe ser obtenido con el siguiente método:
a)    Si sólo se cuenta con un ejemplar, el área seca de descanso o de actividad social se debe calcular como si fuera para un mínimo de dos ejemplares, aplicando la siguiente fórmula:

       En donde:
ASD          es el área seca de descanso
        es la longitud promedio del adulto
       Esta misma fórmula se utiliza para obtener el área seca de descanso o actividad social para dos ejemplares que pertenezcan a la misma especie.
b)    Para dos ejemplares o más de pinnípedos confinados en las mismas instalaciones, se debe calcular de manera individual el área mínima requerida para el área seca de descanso o actividad social, y al final sumar todos los valores obtenidos, conforme a la siguiente fórmula:

       En donde:
ASD          es el área seca de descanso
        es la longitud promedio del adulto
c)    Si dos o más machos sexualmente maduros se mantienen en las mismas instalaciones, el área seca de descanso o de actividad social debe ser dividida en dos o más áreas separadas mediante barreras visuales suficientes, tales como rejas, rocas o follaje, para no incitar comportamientos agresivos.
5.4.5.2 La alberca para pinnípedos debe cumplir con los siguientes requerimientos de espacio:
5.4.5.2.1 El área superficial mínima (ASM) de la alberca para pinnípedos debe tener como mínimo una superficie igual a la del área seca de descanso calculada conforme al numeral 5.4.5.1.
5.4.5.2.2 La dimensión horizontal mínima (DHM) de la alberca debe ser 1.5 veces la longitud promedio del adulto de la especie más grande ahí confinada:

       En donde:
DHM          es la dimensión horizontal mínima
        es la longitud promedio del adulto
5.4.5.2.3 La profundidad mínima (PM) de la alberca no debe ser menor a 1 m o la mitad de la longitud promedio del adulto de la especie más grande confinada; lo que resulte mayor.
5.4.5.2.4 Para realizar actividades del programa interactivo con pinnípedos, además de los requerimientos de espacio descritos en la presente sección, el confinamiento primario debe cumplir con las siguientes especificaciones adicionales:
a)    El confinamiento primario debe tener un área de interacción o área interactiva de fácil acceso para el ejemplar.
b)    El área seca de descanso (ASD) o de actividad social para dos ejemplares se debe calcular como si fuera para un mínimo de dos ejemplares, aplicando la siguiente fórmula:

En donde:
ASD          es el área seca de descanso
        es la longitud promedio del adulto
       Para tres ejemplares, la fórmula a utilizar es la siguiente:

       En donde:
ASD          es el área seca de descanso
        es la longitud promedio del adulto
       Por cada animal adicional a tres, se debe calcular con la siguiente fórmula:

       En donde:
ASD          es el área seca de descanso
        es la longitud promedio del adulto
c)    El área superficial mínima (ASM) debe tener como mínimo una superficie igual al área seca de descanso calculada conforme al inciso b) de este numeral.
d)    La dimensión horizontal mínima (DHM) de la alberca debe ser al menos tres veces la longitud promedio total del adulto de la especie más grande ahí confinada de acuerdo con las tallas referidas en el Apéndice Normativo B.

En donde:
DHM          es la dimensión horizontal mínima
        es la longitud promedio del adulto
e)    La profundidad mínima (PM) debe ser la establecida en el numeral 5.4.5.2.3.
       Se permite que una porción de cada área pueda tener menor profundidad, sin embargo, esa porción no debe ser incluida en el cálculo de espacio mínimo.
f)     El volumen mínimo (VM) requerido se calcula con la siguiente fórmula:

En donde:
VM            es el volumen mínimo
ASM          es el área superficial mínima
        es la longitud promedio del adulto
5.4.6 El confinamiento primario para sirenios puede ser solo una alberca o un tanque de agua. Las especificaciones de espacio mínimo que debe cumplir son las siguientes:
5.4.6.1 El diámetro horizontal mínimo (DHM) debe ser dos veces mayor a la longitud promedio del adulto de la especie más larga ahí confinada de acuerdo con el Apéndice Normativo A. La longitud debe medirse desde la punta de la nariz hasta el punto más distal de la cola redondeada de los manatíes.
5.4.6.2 La profundidad mínima (PM) del confinamiento primario para los sirenios debe ser la mitad de la longitud promedio del adulto. Aquellas partes del confinamiento primario donde no se cumpla con los requerimientos de profundidad mínima, no deben ser tomadas en cuenta para el cálculo de otros requerimientos espaciales.
5.4.6.3 Un confinamiento primario que satisfaga los requerimientos de dimensión horizontal mínima y profundidad mínima es adecuado para uno o dos ejemplares de sirenios.
5.4.6.4 El volumen mínimo (VM) de agua y de área superficial mínima (ASM) requeridos para ejemplares adicionales, deben ser calculados usando las fórmulas establecidas en los numerales 5.4.4.3 y 5.4.4.4 para cetáceos del Grupo I, excepto por la cifra de la profundidad mínima requerida, la cual debe ser la referida en el numeral 5.4.6.2.
5.4.6.5 Para realizar actividades del programa interactivo con manatíes, además de los requerimientos de espacio descritos en la presente sección, el confinamiento primario debe cumplir con las siguientes especificaciones adicionales:
a)    Tener un área de interacción o área interactiva de fácil acceso para el ejemplar.
b)    La dimensión horizontal mínima (DHM) para cada área debe ser al menos tres veces la longitud promedio total del adulto de la especie más grande ahí confinada de acuerdo con las tallas referidas en el Apéndice Normativo A.

En donde:
DHM          es la dimensión horizontal mínima
        es la longitud promedio del adulto
c)    El área superficial mínima (ASM) requerida para cada área debe ser calculada para hasta dos ejemplares con la siguiente fórmula:

       En donde:
ASM          es el área superficial mínima
        es la longitud promedio del adulto
Para tres ejemplares, la fórmula a utilizar es la siguiente:

En donde:
ASM          es el área superficial mínima
        es la longitud promedio del adulto
Por cada animal adicional a tres, se debe calcular con la siguiente fórmula:

En donde:
ASM          es el área superficial mínima
        es la longitud promedio del adulto
d)    La profundidad mínima (PM) debe ser la establecida en el numeral 5.4.6.2.
       Se permite que una porción de cada área pueda tener menor profundidad, sin embargo, esa porción no debe ser incluida en el cálculo de espacio mínimo.
e)    El volumen mínimo (VM) requerido se calcula de la siguiente manera:

       En donde:
VM            es el volumen mínimo
ASM          es el área superficial mínima
        es la longitud promedio del adulto
Adicionalmente se debe contar con una zona de descanso dentro del confinamiento primario de los manatíes, sin acceso a los visitantes, la cual debe estar delimitada visualmente en la superficie.
5.4.7 El confinamiento primario para nutrias marinas debe contar con un área seca de descanso (ASD) y una alberca que cumplan con las siguientes especificaciones:
5.4.7.1 El área seca de descanso mínima para una o dos nutrias marinas debe calcularse con la siguiente fórmula:

       En donde:
ASD          es el área seca de descanso
        es la longitud promedio del adulto
Por cada nutria marina adicional a las contempladas por la fórmula anterior, se debe sumar una superficie de 1.96 m2 al área seca de descanso.
5.4.7.2 La dimensión horizontal mínima (DHM) para la alberca debe ser tres veces la longitud promedio del adulto que, para efecto de la norma será de 1.25 m, de acuerdo con el Apéndice Normativo B, medidos en línea recta de la punta de la nariz a la punta de la cola.
5.4.7.3 La profundidad mínima de la alberca debe ser de 1 m.
5.4.7.4 El volumen mínimo (VM) de la alberca para hasta dos individuos debe ser de 4.9 m3. Para cada nutria marina adicional se debe aumentar 2.23 m3 al volumen.
5.4.8 Como infraestructura de apoyo, las instalaciones abiertas o cerradas para mamíferos marinos deben contar con:
5.4.8.1 Confinamientos secundarios necesarios para el aislamiento físico de los mamíferos marinos, que deben ubicarse en el mismo sitio que el resto de las instalaciones y estar disponibles para satisfacer las necesidades de separación, tratamiento médico, entrenamiento médico, reproducción, preparación para el traslado y cuarentena, permitiendo el acceso y manejo veterinario sin poner en riesgo al animal ni al personal que realiza su manejo. Adicional a lo anterior, los confinamientos secundarios para cuarentena deben estar en albercas separadas del resto de los confinamientos.
5.4.8.2 Áreas de almacenamiento y preparación de alimentos, protegidas para evitar su deterioro, descomposición o contaminación por plagas, que cuenten con buena ventilación, agua potable corriente y a presión, drenaje, suministro de electricidad, iluminación adecuada, congeladores y/o refrigeradores, temperatura controlada, medidas para evitar la fauna nociva y un programa sanitario.
En el caso de las especies carnívoras, se debe contar con equipo de congelación con capacidad para guardar alimento suficiente para cubrir las necesidades alimenticias de la totalidad de los animales por un periodo mínimo de 30 días.
5.4.8.3 Es necesario que tengan servicios sanitarios y lavabos suficientes para mantener la limpieza del personal que atiende y cuida a los animales.
5.4.8.4 Un área para el almacenamiento y manejo de los residuos orgánicos e inorgánicos, a fin de evitar la generación de plagas, olores desagradables y riesgos para la salud tanto para los animales como para el personal que labora en las instalaciones. Se deben cumplir las especificaciones señaladas en las normas oficiales mexicanas y la legislación vigente sobre residuos.
5.4.8.5 Planta de energía eléctrica de emergencia para asegurar la operación de la infraestructura de apoyo.
5.5 Calidad del agua
5.5.1 La calidad del agua de los confinamientos para mamíferos marinos en instalaciones cerradas debe reunir las siguientes características:
a)    Salinidad entre 18 ppm (partes por mil) y 36 ppm.
b)    Potencial de hidrógeno (pH) entre 6.5 y 8.5 unidades.
c)    La temperatura del agua debe cumplir con lo establecido en el numeral 5.4.2.1 de esta Norma Oficial Mexicana.
d)    Nitratos en concentraciones iguales o menores a 100 mg/L.
e)    En el caso de que se utilice cloro, los niveles de cloro total no deben exceder 1 ppm con una cantidad de cloro libre de aproximadamente el 50% del total. Se debe cuidar que la variación de cloro total de un día para otro no sobrepase 0.2 ppm.
f)     Si se utiliza ozono para mantener la calidad del agua, el agua en contacto directo con los animales debe estar libre de este compuesto.
5.5.2 En instalaciones cerradas, los parámetros referidos en el numeral 5.5.1 y los de otros productos químicos que se agreguen al agua, deben monitorearse como mínimo tres veces por día.
Las instalaciones que utilicen agua de mar pueden estar exentas de muestreo de pH y salinidad, esta condición aplica para el pH únicamente en el caso de que no se añadan productos químicos para mantener la calidad del agua. Adicionalmente se deben realizar determinaciones periódicas de algunas sustancias contaminantes en la zona como metales pesados y organoclorados, entre otros.
El registro de los parámetros debe asentarse en bitácoras conforme a lo establecido en el numeral 5.9. Los registros deben conservarse por un periodo mínimo de cinco años y estar a disponibilidad de las autoridades competentes que los soliciten.
5.5.3 La turbidez del agua en instalaciones cerradas debe ser óptima para poder observar la interacción entre los humanos y los mamíferos marinos cuando estas ocurran.
5.5.4 Se deben realizar análisis del agua de los estanques quincenalmente (confinamientos primarios, secundarios y de cuarentena) incluyendo un análisis de bacterias coliformes. El número máximo permitido de bacterias coliformes es de 1,000 NMP (número más probable) o el equivalente en UFC (unidades formadoras de colonias) por cada 100 ml de agua; si se excede este número, se deben tomar dos muestras más a intervalos de 48 horas cada una, cuyos resultados se tienen que promediar con el de la primera muestra, y si el resultado total excede el máximo permitido, se considera que la calidad del agua es insatisfactoria, debiendo tomar medidas inmediatas para corregir esta condición.
5.5.5 El agua de las albercas debe mantener su calidad preferentemente por medio de sistemas de soporte de vida acuática, aunque se admite el uso de productos químicos si es necesario. En caso de utilizar productos químicos, éstos deben ser suministrados por personal capacitado de manera que no cause daño o malestar a los animales.
5.5.6 Se debe limpiar el agua de las albercas de forma manual retirando toda materia orgánica e inorgánica visible; así como de las paredes y el fondo de éstas. En los encierros ubicados en el mar, se deben limpiar las redes o mallas y otras estructuras, con la frecuencia que sea necesaria, para prevenir el crecimiento de algas que obstaculicen el flujo de agua marina.
5.5.7 Para la descarga de aguas residuales al drenaje municipal se debe dar cumplimiento a lo establecido en la Norma Oficial Mexicana NOM-002-SEMARNAT-1996 (ver 3.2). En el caso de descargar a cuerpos de agua de jurisdicción federal, se debe cumplir con lo establecido en la NOM-001-SEMARNAT-2021 (ver 3.1).
5.6 Manejo veterinario en confinamiento
5.6.1 Los animales de reciente ingreso que no cuenten con historia clínica en los términos de los numerales 5.6.8 y 5.6.9 de esta Norma Oficial Mexicana, deben ser sometidos a una revisión clínica en un periodo no mayor a tres días naturales contados a partir de su llegada.
5.6.2 No se permite el contacto directo entre animales de nuevo ingreso y los del grupo ya establecido, cuando los primeros no cuenten con historia clínica en los términos de los numerales 5.6.8 y 5.6.9 de esta Norma Oficial Mexicana o presenten síntomas evidentes de alguna enfermedad contagiosa; lo anterior hasta que se hayan realizado todos los exámenes físicos y clínicos pertinentes que permitan determinar el buen estado de salud de los recién llegados.
5.6.3 Como método de identificación de los ejemplares se debe utilizar la fotoidentificación y, a partir de los 24 meses de edad, se tiene que usar de manera adicional y permanente el marcaje con microchip, lo cual debe ser informado a la Secretaría en la actualización del inventario a través del trámite correspondiente.
5.6.4 El titular de la UMA o PIMVS debe notificar a la Secretaría mediante el trámite correspondiente, el alta en el inventario de los ejemplares que sean producto de la reproducción controlada, para lo cual se debe anexar una constancia de nacimiento con la siguiente información mínima:
a)    Nombre y clave de registro de la UMA o PIMVS.
b)    Lugar y fecha de nacimiento.
c)    Especie del ejemplar nacido.
d)    Imágenes que correspondan a la fotoidentificación del ejemplar nacido y/o número de su microchip.
e)    Sexo del ejemplar nacido.
f)     Sistema y número de marca de los progenitores.
g)    Nombre y firma del responsable técnico de la UMA y PIMVS.
5.6.5 Los mamíferos marinos que no sean compatibles biológica o socialmente o que tengan riesgo de hibridación, deben mantenerse en estanques separados.
5.6.6 Los confinamientos primarios y secundarios para cetáceos y pinnípedos deben estar aislados de animales de otras especies.
5.6.7 El movimiento de los mamíferos marinos en los confinamientos primarios no debe ser restringido en ninguna forma, solo se puede aislar a un ejemplar de forma temporal y justificada en los confinamientos secundarios por prescripción del responsable técnico.
5.6.8 Se debe realizar una evaluación médica a cada mamífero marino cuando menos una vez por mes, que incluya un examen físico general, revisión de las bitácoras individuales del programa de alimentación, de comportamiento y otros registros médicos. El resultado de la evaluación debe quedar asentado en la bitácora veterinaria en un reporte que refiera el estado fisiológico de cada animal.
5.6.9 Cada seis meses como mínimo se debe realizar de manera preventiva una evaluación médica completa a cada individuo, que debe incluir: medidas morfométricas (diámetro torácico y longitud total del ejemplar); peso físico o calculado; comportamiento; condición física de la piel, ojos, boca, espiráculo, pezones y genitales; exámenes de biometría hemática completa; química sanguínea con perfiles renales y hepáticos; coproparasitoscópicos; citología de vías respiratorias y contenido gástrico.
En caso de ser indicado por el responsable técnico, las evaluaciones médicas deben complementarse con otros estudios.
5.6.10 Aquellos organismos que presenten algún signo de enfermedad, lesiones o comportamiento anormal, deben ser atendidos en forma inmediata. El responsable técnico se debe encargar de que reciban la atención veterinaria y/o terapéutica del caso.
5.6.11 En el caso que la UMA o PIMVS pretenda realizar la reproducción controlada se debe contar con un programa específico, el cual debe estar incluido en el plan de manejo y describir la siguiente información:
a)    Técnicas de selección de ejemplares y en su caso, estudios para detección de celo.
b)    Manejo de ejemplares previo a la reproducción.
c)    Método de reproducción (monta natural o reproducción asistida).
d)    Cuidados durante el periodo de gestación.
e)    Procedimientos durante el proceso de parto.
f)     Tipo de crianza y situaciones donde se usa la crianza asistida.
g)    Cuidados de la cría al destete.
h)    Edad de destete.
5.6.12 El entrenamiento debe hacerse sin aplicación de castigos físicos u otra clase de abusos que vayan en contra del trato digno y respetuoso de los ejemplares e incluir el entrenamiento médico del animal para permitir las revisiones veterinarias y su identificación.
5.6.13 Cualquier instalación cerrada utilizada para fines médicos que haya contenido animales con enfermedades infecto-contagiosas debe ser limpiada y/o sanitizada de acuerdo con las indicaciones del responsable técnico.
El equipo utilizado para alimentar, cuidar y enriquecer a los animales referidos en este numeral debe utilizarse sólo con ellos, y si esto no es posible, deben ser desinfectados antes de su uso con otros animales residentes.
5.6.14 En el caso de fallecimiento de algún mamífero marino, se tiene que realizar una necropsia, así como estudios histopatológicos y microbiológicos, bajo la supervisión directa del responsable técnico. La necropsia debe realizarse en las instalaciones de la UMA o del PIMVS o bien en el departamento de veterinaria de una institución académica. Los resultados de la necropsia y de los estudios histopatológicos y microbiológicos deben estar avalados por la institución, el responsable técnico o el patólogo que los realiza y deben determinar la causa de la muerte.
5.6.15 Los resultados preliminares de los estudios referidos en el numeral anterior y el diagnostico presuntivo de la necropsia tienen que ser enviados a la Secretaría acompañados de la siguiente información: fotografías de la cabeza, aleta dorsal, aleta caudal, cuerpo y órganos internos, número de cédula profesional del responsable técnico o patólogo responsable, número de microchip y de ser posible el microchip del animal, fotografías de la necropsia y copia del certificado de defunción, todo esto en un plazo no mayor a 10 días hábiles. Una vez que se cuente con los resultados finales de los estudios y análisis realizados, éstos deben ser remitidos a la Secretaría después de su emisión por parte del laboratorio encargado, acompañados por el diagnóstico final y copia del certificado de defunción.
Los documentos se deben conservar por un periodo mínimo de cinco años y ponerlos a disponibilidad de las autoridades competentes que los soliciten.
5.7 Alimentación
5.7.1 El responsable técnico debe elaborar una guía de manejo del alimento, que incluya las disposiciones de la presente Norma Oficial Mexicana, la cual debe estar disponible para todo el personal que tenga contacto con los mamíferos marinos, a fin de que se aplique.
5.7.2 Los animales en cautiverio que comen pescados u otros productos pesqueros tienen que ser alimentados con productos descongelados.
5.7.3 Los alimentos que se suministren a los mamíferos marinos deben estar en buen estado y libres de contaminación, para lo cual se deben realizar análisis microbiológicos de forma aleatoria o ante la sospecha de posible contaminación. Se debe ofrecer alimento a los mamíferos marinos de acuerdo con las indicaciones por escrito del responsable técnico.
5.7.4 Los animales deben tener una dieta balanceada dependiendo de la especie de mamífero marino de que se trate, tomando como referencia su dieta en estado silvestre. La dieta debe ser variada, se puede ofrecer una sola especie de pescado de forma estacional, variando las especies que se suministren a lo largo del año; otra opción es proporcionar una dieta anual balanceada con diferentes especies, con opción de enriquecimiento con suplementos alimenticios o multivitamínicos.
5.7.5 Las dietas deben diseñarse individualmente con base en la talla, edad y peso del animal, su estado fisiológico, actividad física y mediante el uso de escalas alométricas, para cubrir los requerimientos nutricionales diarios de cada individuo.
5.7.6 Se debe colocar un tapete sanitario en todos los accesos a las áreas de manejo de alimento con el fin de evitar contaminación procedente del exterior.
5.7.7 El almacenamiento del alimento debe realizarse bajo las siguientes condiciones:
5.7.7.1 Previo al almacenamiento, se debe inspeccionar que los alimentos estén en buen estado. El pescado descongelado o fresco debe estar turgente, no pastoso, tener las agallas rojas y al presionar la superficie del cuerpo con el dedo no debe quedar marca.
5.7.7.2 La refrigeración y congelación son obligatorias para los alimentos perecederos como pescados y mariscos. Para el caso de los frutas y verduras que consumen los sirenios, éstas se deben almacenar en habitaciones que las protejan de la contaminación bacteriana o de algún tipo de plaga, así como del deterioro, para lo cual se puede requerir el uso de refrigeradores.
5.7.7.3 Todo alimento almacenado debe estar marcado con la fecha de entrada y asegurarse de que esté en buenas condiciones para el consumo.
5.7.7.4 El almacenamiento de alimentos congelados se debe efectuar de manera que se minimice la contaminación, asegurándose que conserve su valor nutritivo y su buena calidad. Una vez descongelado debe mantenerse en refrigeración y ser utilizado dentro de las 24 horas siguientes.
5.7.7.5 Se debe mantener fuera de los refrigeradores y congeladores designados para almacenar los alimentos, toda sustancia que pueda ser tóxica o dañina para los mamíferos marinos.
5.7.7.6 En todas las áreas de congelado y refrigeración donde se almacene o descongele el alimento, se debe asegurar el flujo adecuado de aire frío para mantener una temperatura uniforme. Es preciso revisar que los ductos que conducen el aire frío al área de almacenamiento estén libres de obstrucciones.
5.7.7.7 Las temperaturas para refrigerar y congelar el alimento son: de 4 °C a 6 °C para los refrigeradores y -30 °C a -18 °C o menores para congeladores. El alimento puede ser almacenado en el refrigerador por un periodo máximo de 24 horas y en el congelador de las instalaciones por un periodo no mayor a 90 días si el pescado es de tipo macarela o de 180 días si es otro tipo de pescado. Si el pescado viene empaquetado y congelado de origen, se debe respetar el periodo de congelación máximo especificado por el proveedor en su etiqueta.
5.7.7.8 Se debe tener un control de las temperaturas y las fechas en las que se congela o almacena el alimento.
5.7.7.9 La humedad relativa debe mantenerse entre 85% a 90% en los espacios de refrigeración.
5.7.8 Para la preparación y suministro del alimento se tienen que seguir el siguiente procedimiento:
5.7.8.1 El proceso de descongelación del pescado debe llevarse a cabo en un refrigerador, no al aire libre, o en una habitación con temperatura controlada no mayor a los 10°C para evitar la pérdida de propiedades nutricionales, la peroxidación lipídica, la proliferación de microorganismos y la pérdida de sabor.
5.7.8.2 El pescado descongelado puede mantenerse en hielo por periodos máximos de tres horas o refrigerado hasta 24 horas antes de ser suministrado o hasta 48 horas después, únicamente si se utiliza el método de descongelado lento, minimizando el periodo en que permanecerá a temperatura ambiente durante su preparación. Se debe abstener de realizar la ruptura de los bloques de pescado para buscar un
descongelado más rápido.
5.7.8.3 El alimento que no sea utilizado durante los periodos citados en el numeral anterior, debe ser desechado.
5.7.8.4 No se permite que el alimento descongelado sea recongelado.
5.7.8.5 Para su preparación, los alimentos deben ser manejados de manera higiénica, minimizando la contaminación bacteriana o química y asegurándose de su buen estado y valor nutritivo.
5.7.8.6 En los confinamientos para manatíes que contengan agua salada, se debe contar con una fuente de agua dulce, sea de manera natural o artificial, con acceso libre y permanente para los animales.
5.7.8.7 El alimento de cada ejemplar se debe manejar por separado en hieleras herméticas.
5.7.8.8 Se debe llevar una bitácora individual del programa de alimentación de la cantidad y tipo de alimento consumido diariamente por cada animal, debiendo conservar la información de los últimos cinco años.
5.7.9 El régimen sanitario para el manejo y preparación del alimento se debe apegar a las siguientes especificaciones:
5.7.9.1 Los utensilios, tablas para cortar, mesas, envases que contengan el alimento, cubetas, tinas, tanques, hieleras, cuchillos y otro equipo utilizado para descongelar, preparar o cortar alimento, tienen que ser lavados previo y posteriormente a su uso y por último desinfectados al menos una vez al día, de preferencia después del último suministro.
5.7.9.2 Las cocinas, cuartos húmedos y cualquier otra área de manejo y preparación de alimentos deben ser limpiados y desinfectados cuando menos una vez al día, evitando el uso de productos químicos que dejen residuos que puedan ser tóxicos para los mamíferos marinos.
5.7.9.3 Adicional a la limpieza referida en los numerales 5.7.9.1 y 5.7.9.2, mínimo una vez a la semana se debe realizar el lavado con agua y detergente de los receptáculos de comida y agua, las superficies donde se maneja el alimento, los pisos y los utensilios. Después del lavado se debe aplicar un desinfectante.
5.7.9.4 Los métodos de desinfección a utilizar pueden ser los siguientes:
a)    Contacto con una solución de 100 ppm de cloro por 20 segundos o 50 ppm por un minuto.
b)    Contacto con una solución de 25 ppm de yodo por un minuto.
c)    Contacto con una solución de 200 ppm de amonio cuaternario por un minuto.
5.7.9.5 Las sustancias destinadas al lavado y desinfección de las instalaciones y utensilios para el manejo de los alimentos, así como otras sustancias tóxicas que pudieran utilizarse, deben estar etiquetadas y almacenadas apropiadamente, en gavetas o lugares cerrados y alejados de los alimentos, para prevenir su contaminación o la de las superficies de preparación.
5.7.9.6 Los residuos sólidos derivados de la preparación de los alimentos deben ser dispuestos en contenedores cerrados e impermeables, a prueba de ratas e insectos y que aíslen los malos olores.
5.8 Exhibición, espectáculos y programas interactivos
5.8.1 La exhibición, espectáculos y los programas interactivos con mamíferos marinos se deben realizar conforme a lo siguiente:
5.8.1.1 Durante el entrenamiento para la exhibición, los espectáculos y los programas interactivos se debe evitar interferir con la salud y bienestar de los mamíferos marinos, así como evitar riesgos para los animales, los especialistas en cuidado animal, los ayudantes y los visitantes.
5.8.1.2 Los individuos que participen en espectáculos y programas interactivos deben tener un tiempo sin interacción pública del doble de duración del total de las sesiones que hayan realizado.
5.8.1.3 No se permite el maltrato o abuso físico como método de entrenamiento o de manejo de los animales, tampoco se les debe privar del alimento o agua o suministrar medicamentos (tranquilizantes) con dicho fin. Se deben utilizar técnicas de condicionamiento operante con refuerzo positivo para el entrenamiento, a fin de mantener a los animales en forma y motivados para su bienestar.
5.8.1.4 Los mamíferos marinos que participen en espectáculos y programas interactivos deben estar saludables; en el caso de animales enfermos o bajo tratamiento veterinario, si su participación en dichos programas representa un riesgo para su salud, éstos deben ser excluidos de estas actividades.
5.8.1.5 El responsable técnico debe determinar la posibilidad de la participación en espectáculos o en programas interactivos de animales jóvenes, hembras en gestación y crías, cuidando en todo momento su bienestar físico o comportamiento, determinando los tiempos y condiciones para realizarlo.
5.8.1.6 Tanto en las actividades de exhibición como en los espectáculos y programas interactivos se debe minimizar la exposición de los animales a sonidos que puedan causarles incomodidad o estrés.
5.8.2 Los espectáculos y el programa interactivo deben tener como objetivo principal la educación ambiental que incluya temas relacionados con la biología de los mamíferos marinos, su estado en vida libre, el cambio climático u otras amenazas que enfrentan ellos y sus hábitats así como la importancia de su conservación, entre otros. Adicionalmente, se recomienda que se contemplen programas educativos para las escuelas de las comunidades más cercanas, a tarifas y precios preferenciales.
5.8.3 El programa interactivo debe apegarse a las siguientes especificaciones:
5.8.3.1 Los mamíferos marinos que participen en los programas interactivos deben estar saludables; aquellos que estén enfermos y/o bajo tratamiento veterinario deben ser excluidos de dichos programas, a menos que el responsable técnico lo autorice.
5.8.3.2 Todos los mamíferos marinos que participen en un programa interactivo deben estar entrenados y condicionados adecuadamente para llevar a cabo una convivencia controlada y segura con los humanos, a fin de que en todo momento puedan responder a las indicaciones de los especialistas en cuidado animal y sus ayudantes. Los programas interactivos no deben restringir o coaccionar a los animales cuando éstos no deseen la interacción y se alejen del área.
5.8.3.3 Únicamente se pueden realizar aquellas actividades interactivas que hayan sido previamente autorizadas como parte del plan de manejo.
5.8.3.4 Las UMA o PIMVS deben contar con un plan de manejo que incluya un programa interactivo aprobado por la Secretaría, el cual debe incluir la siguiente información:
a)    Objetivos educativos del programa y forma de evaluación de la recepción del mensaje por parte de los visitantes.
b)    Listado de los ejemplares incluidos en el programa al momento de presentarlo a la Secretaría, incluyendo para cada ejemplar sistema de marca, número de microchip, sexo y edad, y en su caso, nombre artístico.
c)    Descripción detallada de las actividades interactivas que realizan tanto el mamífero marino como el visitante durante la interacción.
d)    Instrucciones para los visitantes para orientar la interacción antes y durante el programa interactivo, así como las restricciones de contacto físico que se establecen.
e)    Descripción del confinamiento primario y área de interacción o área interactiva en la que se realizarán las actividades.
f)     Descripción del programa de entrenamiento, señalando claramente el tiempo que los animales dedican a esta actividad independientemente de las sesiones de interacción.
g)    Número promedio estimado de visitantes que participan en el programa interactivo por bimestre.
h)    Currículum vitae del especialista en cuidado animal responsable del programa, y en su caso, de los demás especialistas en cuidado animal que participen en éste y del responsable técnico.
La UMA o PIMVS deben presentar ante la Secretaría las actualizaciones o modificaciones al programa interactivo a través del trámite de registro o actualización en el padrón de PIMVS o modificación de datos del registro de las UMA, según corresponda.
5.8.3.5 Previo a cada participación en los programas interactivos, los visitantes deben ser instruidos de forma oral sobre las reglas a seguir para el desarrollo de las actividades de interacción, adicionalmente las reglas deben ser expuestas por medio de señalética en un sitio visible en la que también se incluyan los datos de contacto de la Secretaría y de la Procuraduría para reportar cualquier herida, molestia o queja que surja durante el desarrollo de las actividades de los citados programas.
5.8.3.6 Durante las actividades contempladas en los programas interactivos no se permite que los visitantes se sujeten al animal o que restrinjan su movimiento, a menos que el comportamiento esté relacionado directamente con la actividad autorizada como parte del programa interactivo; tampoco se permite que los visitantes toquen el área de los ojos y respiráculo o nariz de los mamíferos marinos, ni cualquier otra actividad que pueda repercutir en algún daño físico o en su salud.
5.8.3.7 En las actividades del programa interactivo que se realicen dentro de los confinamientos primarios o sus plataformas, los visitantes deben utilizar chaleco salvavidas en todo momento.
5.8.3.8 Los especialistas en cuidado animal y sus ayudantes deben controlar en todo momento el tipo y periodo de interacción de los mamíferos marinos con los visitantes.
5.8.3.9 El tiempo de interacción de los mamíferos marinos con los visitantes durante las actividades del programa interactivo debe tener una duración total máxima de cuatro horas por día.
5.8.3.10 Cada sesión del programa interactivo debe estar a cargo de un especialista en cuidado animal o ayudante que puede tener a su cargo un máximo de dos ejemplares, dependiendo del tipo de actividad que se realice. El número de mamíferos marinos que puede participar en cada sesión depende de los espacios con que cuente cada UMA o PIMVS, conforme a lo que establecen los numerales 5.4.4.5, 5.4.5.2.4 y 5.4.6.5. Una sesión interactiva puede estar conformada por alguna de las siguientes opciones:
Número de especialistas en
Número de ejemplares
Tiempo
Número máximo
comportamiento
animal o ayudantes por sesión
de mamíferos marinos
(minutos)
de visitantes
1
1
30
10
1
2
30
20
1
1
45
8
1
2
45
16
 
Las sesiones interactivas que se realicen de forma simultánea deben tener al menos un miembro del equipo supervisando las actividades.
5.8.3.11 No se permite la alimentación de los mamíferos marinos por parte de los visitantes, ésta solo debe realizarse por los especialistas en cuidado animal o sus ayudantes.
5.8.3.12 Cualquier visitante que incumpla las especificaciones de esta Norma Oficial Mexicana y no acate las reglas a que se hace referencia en el numeral 5.8.3.5, debe ser retirado de la sesión y de las instalaciones.
5.8.3.13 Los animales participantes en una sesión interactiva que presenten precursores o comportamientos no deseados o peligrosos, como morder, intento de contacto sexual con humanos, empujar si no está previsto en la actividad interactiva, entre otros, deben ser retirados de la sesión o darse por concluida la actividad, lo cual debe ser determinado por el especialista en cuidado animal responsable o especialista en cuidado animal. Sólo el especialista en cuidado animal responsable puede determinar si es seguro reanudar la sesión.
5.8.3.14 Toda contingencia o emergencia ocurrida durante las sesiones del programa interactivo, debe ser informada a la Secretaría en un plazo no mayor de tres días hábiles, mediante el trámite correspondiente. El reporte debe contener una breve descripción de los hechos y los datos de los animales involucrados, la descripción de las medidas que se tomaron y el resultado de su aplicación y, en su caso, la descripción de las medidas adicionales que se realizaron o propuesta de las medidas adicionales que se requieran.
5.9 Bitácoras
5.9.1 El manejo de mamíferos marinos en condiciones de cautiverio debe quedar registrado en bitácoras, las cuales deben ser conservadas por lo menos cinco años y estar disponibles para su revisión por el personal de la Secretaría y la Procuraduría cuando se requiera, sin embargo se recomienda que las bitácoras se conserven por tiempo indefinido para los efectos que se consideren procedentes.
Las bitácoras son las siguientes:
a)    Bitácora de trabajo: Incluye la descripción de las actividades del programa interactivo y horarios en los que cada animal es sujeto de entrenamiento, sesiones del programa interactivo, espectáculos y exhibición.
b)    Bitácora veterinaria: Debe contener el protocolo de visitas y monitoreo veterinario. Para cada animal se deben reportar los datos de todo examen realizado como parte de las evaluaciones médicas mensual y semestral o cualquier examen adicional, incluyendo resultados de análisis de laboratorio y tratamientos médicos y en su caso, los resultados de la necropsia a los que se refiere los numerales 5.6.14 y 5.6.15.
c)    Bitácora individual del programa de alimentación: Se tiene que realizar atendiendo al apartado 5.7 de esta Norma Oficial Mexicana.
d)    Bitácora de calidad del agua: Se tiene que realizar atendiendo el apartado 5.5 de esta Norma Oficial Mexicana.
e)    Bitácora de comportamiento: Se deben registrar cualquier desvío de la conducta habitual de los ejemplares, incidentes peligrosos, eventualidades, traumatismos o accidentes. Tratándose de contingencias o emergencias referidas en el numeral 5.8.3.14, se debe incluir la fecha de reporte a la Secretaría.
f)     Bitácora de traslado: Debe contener el registro de los traslados que se realicen. Para cada ejemplar se debe reportar la fecha del traslado, el lugar de origen y el de destino, datos de identificación del ejemplar a trasladar (especie, nombre, edad, sexo, número de microchip), propósito del traslado, número de oficio de respuesta de la Secretaría, nombre del responsable técnico y en su caso el médico veterinario responsable del traslado incluyendo el número de cédula profesional, firma, hora de salida de los ejemplares del agua, tiempo total de traslado, hora de entrada de los ejemplares al agua, método de traslado (seco o húmedo) y descripción del contenedor de transporte primario en el que se realizó, medio de trasporte (terrestre, aéreo o marítimo), reporte de monitoreo de frecuencia respiratoria y temperatura corporal, medicamentos utilizados en caso de ser necesarios y observaciones o comentarios generales.
5.10 Régimen sanitario en confinamientos
5.10.1 Todas las áreas donde se exhiban, mantengan, transporten o se confinen mamíferos marinos, incluyendo las áreas verdes y de oficinas circundantes, se deben mantener limpias y en buenas condiciones para proteger a los animales de daños físicos y para facilitar el cuidado de los mismos.
5.10.2 Se deben tomar previsiones para el manejo diario o cuantas veces sea necesario, de los residuos de animales o de alimentos, animales muertos, basura y otros residuos, para prevenir la contaminación de los confinamientos y minimizar los riesgos de enfermedades. Los depósitos de los residuos deben estar ubicados, diseñados y ser operados de manera que se evite o minimice la proliferación de fauna nociva, olores o cualquier otra forma de daño potencial a los animales y al ambiente. El manejo y disposición final de los residuos debe sujetarse a las regulaciones federales y locales vigentes que sean aplicables.
5.10.3 Durante las actividades de limpieza de los confinamientos, se deben mantener fuera de éstos a los mamíferos marinos para evitar su contacto con el agua a presión o con sustancias nocivas.
5.10.4 Los confinamientos o jaulas que hayan contenido animales con enfermedades infecto-contagiosas deben ser lavados con agua, jabón o detergente en solución, seguido de la aplicación de un desinfectante efectivo que no deje residuos que puedan ser tóxicos para los mamíferos marinos.
5.10.5 Se debe contar con un programa efectivo sobre el control de insectos, ectoparásitos y plagas de aves y mamíferos. Para este caso no se deben utilizar insecticidas ni sustancias químicas a menos que el responsable técnico lo apruebe por escrito.
5.11 Personal
5.11.1 La UMA o PIMVS debe contar con el personal suficiente para cubrir los requerimientos de atención a los animales y operación adecuada de las instalaciones.
5.11.2 El personal destinado al cuidado y manejo de mamíferos marinos debe contar con las competencias necesarias para realizar esas labores, además de que la UMA o PIMVS debe mantener un programa de capacitación permanente del personal que tiene contacto directo con los mamíferos marinos.
5.11.3 El personal necesario en la UMA o PIMVS para la atención de los mamíferos marinos debe incluir:
a)    Responsable técnico: Médico veterinario zootecnista con cédula profesional y experiencia mínima de siete años en el manejo y salud de mamíferos marinos. Es el responsable del bienestar, la salud y tratamiento médico de los mamíferos marinos. Puede apoyarse de otros médicos veterinarios zootecnistas o técnicos para el desempeño de sus funciones.
b)    Especialista en cuidado animal responsable: Profesional capacitado con experiencia mínima comprobable de cinco años en el cuidado de mamíferos marinos, con conocimientos en gestión del comportamiento, entrenamiento y biología de mamíferos marinos. Es responsable del entrenamiento de los mamíferos marinos y también tiene a su cargo la capacitación del personal que supervisa e interviene en las actividades de exhibición, espectáculos y del programa interactivo. Debe estar presente en todo momento supervisando las rutinas de programas interactivos incluidas las sesiones simultáneas.
c)    Especialista en cuidado animal: Miembro del equipo de entrenamiento con al menos tres años de experiencia comprobable en el cuidado de mamíferos marinos que está a cargo de la supervisión del programa interactivo in situ y del monitoreo de los ayudantes en cada sesión, además apoyar en otras actividades. Se puede contar con el número de especialistas en cuidado animal que se considere necesario.
d)    Ayudante: Miembro del equipo que está capacitado para apoyar en las actividades de cuidado, alimentación, observación de comportamiento y entrenamiento de los animales, así como en las sesiones del programa interactivo y espectáculos. Se puede contar con el número de ayudantes que se considere necesario, y ellos deben estar bajo la responsabilidad del responsable técnico o de los especialistas en cuidado animal.
6. Procedimiento e infraestructura para la evaluación de la conformidad
6.1 La evaluación de la conformidad de la presente Norma Oficial Mexicana se realizará por la Procuraduría o a través de Unidades de Inspección debidamente acreditadas por una Entidad de Acreditación o por la Procuraduría, mismas que se darán a conocer a través de la página de internet de la Secretaría o sus oficinas de representación en los estados.
6.2 La evaluación de la conformidad de la presente Norma Oficial Mexicana no es obligatoria, se llevará a cabo únicamente a petición de parte, por lo que los particulares podrán solicitarla mediante el escrito libre, proporcionando la siguiente información mínima:
a)    Nombre de la Norma Oficial Mexicana.
b)    Nombre o razón social de la UMA o el PIMVS.
c)    Número y fecha de registro ante la Secretaría.
d)    Domicilio, teléfono y correo electrónico de contacto.
e)    Ejemplares que mantienen en cautiverio, incluyendo el número y especie de estos.
f)     Actividades para evaluar de acuerdo con el numeral 6.5.
g)    Fecha de la solicitud.
6.3 La Procuraduría o las Unidades de Inspección tienen un término de 10 días hábiles para dar contestación a la solicitud de los particulares, así como para solicitar al representante de la UMA o PIMVS toda aquella información adicional que les permita llevar a cabo el Procedimiento para la Evaluación de la Conformidad.
6.4 La evaluación de la conformidad puede realizarse por la totalidad de las actividades que contempla la Norma Oficial Mexicana o de manera parcial para las actividades que se señalan en la tabla del numeral 6.6, de acuerdo con lo solicitado por los particulares y las especies de mamíferos marinos que se encuentren en la UMA o el PIMVS.
6.5 A fin de determinar el grado de cumplimiento de esta Norma Oficial Mexicana se efectuará la evaluación de la conformidad mediante la inspección por parte de los inspectores de la Procuraduría o de las personas acreditadas, pudiendo abarcar el cumplimiento total o parcial de la Norma Oficial Mexicana, conforme a las siguientes actividades:
a)    En los sitios de captura de los mamíferos marinos que sean autorizados por la Secretaría, la duración de esta etapa debe ser acorde a lo establecido en la licencia de colecta científica o con propósitos de enseñanza en materia de vida silvestre correspondiente, incluyendo el protocolo completo al que hace referencia el artículo 60 Bis segundo párrafo de la Ley General de Vida Silvestre.
b)    Durante el transporte de los mamíferos marinos, incluyendo desde los preparativos previos al traslado en el punto de origen hasta el punto de destino, la duración de esta etapa dependerá de la distancia de traslado y el medio de transporte a utilizar.
c)    Tratándose de la infraestructura y la operación de las instalaciones destinadas a albergar mamíferos marinos en cautiverio, la visita de inspección debe tener una duración acorde al tamaño de las instalaciones a verificar y al número de ejemplares con que cuente la UMA o PIMVS, sin embargo, la duración de la visita no puede exceder un tiempo máximo de 7 días naturales.
d)    Durante la realización de las actividades de exhibición, espectáculos o programas interactivos, incluyendo el entrenamiento que reciben los mamíferos marinos con dicha finalidad, la inspección puede durar un máximo de 2 o 3 días naturales.
6.6 De acuerdo con las opciones descritas en el numeral anterior y las especies de mamíferos marinos que se encuentren en cautiverio, así como atendiendo a las especificaciones de la presente Norma Oficial Mexicana, se debe realizar la verificación de la conformidad para cada tipo de actividad de acuerdo con la siguiente tabla:
Actividad
Numerales a cumplir
Descripción
Captura con fines de
investigación
científica de
instituciones
acreditadas
5.1.1 Apéndices
Normativos A y B
Especies de mamíferos marinos.
5.1.2
Licencia de colecta científica o con propósitos de enseñanza
en materia de vida silvestre y protocolo referido en el artículo
60 Bis de la Ley General de Vida Silvestre.
5.2 - 5.2.1.7
Condiciones generales para la captura.
5.2.1.8
Rescate.
5.2.2 - 5.2.2.10
Captura de cetáceos.
5.2.3 - 5.2.3.11
Captura de pinnípedos.
5.2.4 - 5.2.4.10
Captura de sirenios.
Apéndice Informativo C
Medidas que se deben tomar a los mamíferos marinos
capturados
Transporte de
ejemplares vivos
5.1.1 Apéndices
Normativos A y B
Especies de mamíferos marinos.
5.3 - 5.3.1.19
Condiciones generales de transporte para todos los
mamíferos marinos.
En el caso de movimientos transfronterizos se debe poner
especial atención a lo establecido en el inciso b) del numeral
5.3.1.19.
5.3.2 - 5.3.2.6
Transporte de pinnípedos.
5.3.2-5.3.2.5, 5.3.2.7
Transporte de nutrias marinas.
5.3.3-5.3.3.8
Transporte de cetáceos y sirenios.
5.9.1 f)
Bitácora de traslado
Apéndices Informativos
F, G, H e I
Imágenes representativas del tipo de contenedores de
transporte primario para el transporte de mamíferos marinos.
Especificaciones
para la construcción
y operación de
instalaciones.
5.1.3
Registro como UMA o PIMVS.
5.4.1
Especificaciones generales para la construcción y operación
de instalaciones.
5.4.2-5.4.2.5
Especificaciones generales para instalaciones cerradas.
5.4.3-5.4.3.2
Especificaciones generales para instalaciones abiertas.
5.4.4-5.4.4.4
Confinamientos primarios para Cetáceos.
5.4.5-5.4.5.2.3
Confinamiento primario para Pinnípedos.
5.4.6-5.4.6.4
Confinamiento primario para sirenios.
5.4.7-5.4.7.4
Confinamiento primario para nutrias.
5.4.8-5.4.8.5
Infraestructura de apoyo en instalaciones abiertas o
cerradas para todas las especies.
5.5-5.5.7
Calidad del agua
5.6-5.6.15
Manejo veterinario en confinamiento.
5.7-5.7.9.6
Alimentación.
5.9.1 b), c), d) y e)
Bitácoras veterinaria, individual del programa de
alimentación, de calidad del agua y de comportamiento.
5.10-5.10.5
Régimen sanitario en confinamiento.
5.11-5.11.3
Personal.
5.1.1 Apéndices
Normativos A y B
Especies de mamíferos marinos.
Apéndices Informativos
D y E
Ejemplos de área superficial mínima requerida para cada
ejemplar de Cetáceo y espacio mínimo requerido para los
confinamientos primarios para Cetáceos del Grupo I.
Exhibición,
espectáculos y
programas
interactivos
5.4.4.5
Especificaciones sobre el espacio requerido para actividades
del programa interactivo con delfines.
5.4.5.2.4
Especificaciones sobre el espacio requerido para actividades
del programa interactivo con pinnípedos.
5.4.6.5
Especificaciones sobre el espacio requerido para actividades
del programa interactivo con manatíes.
5.8 - 5.8.3.14
Exhibición y programas interactivos.
5.9.1. a)
Bitácora de trabajo.
 
6.7 Para la importación, exportación y reexportación de ejemplares de mamíferos marinos objeto de la presente Norma, el exportador o reexportador y/o agente aduanal o su representante debe presentarse ante el personal oficial de la Procuraduría adscrito a la Aduana por la que se pretenda realizar el movimiento transfronterizo, el cual debe realizar la verificación conforme a lo establecido en el "Manual de procedimientos para la importación y exportación de vida silvestre, productos y subproductos forestales, y materiales y residuos peligrosos, sujetos a regulación por parte de la Secretaría de Medio Ambiente y Recursos Naturales" publicado en el Diario Oficial de la Federación el 29 de enero de 2004 o el que lo sustituya.
6.8 Los inspectores de la Procuraduría o personas acreditadas que realicen la evaluación de la conformidad deben elaborar un informe por escrito en formato libre en hoja membretada, denominado "Resultado de la Evaluación de la Conformidad", que tiene que contener los resultados detallados de la inspección realizada y las evidencias que les fueron presentadas, conforme a lo siguiente:
a)    Nombre o razón social de la UMA o el PIMVS.
b)    Número y fecha de registro ante la Secretaría.
c)    Nombre del responsable técnico de la UMA o el PIMVS.
d)    Fecha o periodo de evaluación.
e)    Actividades objeto de evaluación.
f)     Descripción detallada del resultado obtenido para cada actividad objeto de evaluación.
g)    Resultado de la evaluación de la conformidad.
h)    Nombre y firma de la persona responsable de la evaluación.
i)     Evidencia fotográfica.
j)     Anexos (en caso de ser necesario).
6.9 El Resultado de la Evaluación de la conformidad se da a conocer mediante un Dictamen que, en caso de ser positivo, comprobará el cumplimiento de la presente Norma Oficial Mexicana, con una vigencia de un año calendario a partir de la emisión del Dictamen correspondiente. Este documento debe contener la siguiente información:
a)    Nombre o razón social de la UMA o el PIMVS.
b)    Número de registro ante la Secretaría.
c)    Resultado de la evaluación de la conformidad por cada actividad verificada de acuerdo con lo descrito en los numerales 6.5 y 6.6.
d)    Nombre y firma de quién expide el Dictamen.
e)    Fecha de expedición y vigencia.
6.10 El Resultado de la Evaluación de la Conformidad, se debe entregar al solicitante para los fines que a éste convengan en un plazo máximo de 20 días hábiles.
6.11 De ser favorable la inspección del cumplimiento de la Evaluación de la Conformidad de acuerdo con la Tabla del numeral 6.6 de la presente Norma Oficial Mexicana, se extenderá un Dictamen de Evaluación de la Conformidad de la presente Norma, cuya vigencia será de un año.
Tratándose de la Evaluación de la conformidad de más de una de las actividades descritas en el numeral 6.6, para poder obtener el Dictamen referido en el párrafo anterior se debe obtener un resultado positivo para cada una de estas.
6.12 En caso de que el resultado de la Evaluación de la Conformidad sea desfavorable para el interesado, éste podrá solicitar una nueva Evaluación.
La Unidad de Inspección o en su caso la Procuraduría, deben asignar a una persona distinta a la que elaboró la primera Evaluación de la Conformidad.
6.13 El Dictamen de esta segunda evaluación, anulará el resultado obtenido en la primera evaluación de la conformidad.
7. Concordancia con Normas Internacionales
Esta Norma Oficial Mexicana no es equivalente (NEQ) con ninguna Norma Internacional, por no existir esta última al momento de su elaboración.
8. Vigilancia de esta Norma Oficial Mexicana
8.1 La vigilancia de la presente Norma Oficial Mexicana le corresponde a la Secretaría a través de la Procuraduría y a la Secretaría de Marina en el ámbito de sus respectivas atribuciones y competencias.
8.2 El incumplimiento a la presente Norma Oficial Mexicana se debe sancionar de conformidad con la Ley General de Vida Silvestre, la Ley General del Equilibrio Ecológico y la Protección al Ambiente, la Ley de Infraestructura de la Calidad y demás disposiciones jurídicas aplicables.
8.3 El incumplimiento de la presente Norma Oficial Mexicana se considerará como antecedente para condicionar el otorgamiento de cualquier otro permiso.
9. Referencia a estándares para su implementación.
La presente Norma Oficial Mexicana no hace referencia a estándares para su implementación.
Apéndice "A"
(Normativo)
Listado de especies de cetáceos y sirenios que se permiten mantener en cautiverio y la longitud
promedio de los adultos.
Familia
Especie
Nombre común
Longitud
promedio m
Cetáceos Grupo I
Delphinidae
Globicephala macrorhynchus*
Calderón de aletas cortas, ballena piloto, calderón
5.49
Delphinidae
Grampus griseus*
Delfín de Risso, delfín chato, delfín gris, grampo
3.66
Delphinidae
Pseudorca crassidens*
Falsa orca
4.35
Delphinidae
Tursiops aduncus
Tursión del Indopacífico o delfín nariz de botella del Indopacífico
2.6
Delphinidae
 
Tursiops truncatus (Atlántico) *
Tonina, tursión, delfín nariz de botella.
2.74
Delphinidae
Tursiops truncatus (Pacífico)*
Tonina, tursión del Pacífico, delfín nariz de botella
3.05
Phocoenidae
Phocoena phocoena
Marsopa común
1.68
Cetáceos Grupo II
Delphinidae
Delphinus delphis*
Delfín común, delfín común de rostro corto
2.59
Delphinidae
Lagenorhynchus acutus
Delfín de costados blancos del Atlántico
2.90
Delphinidae
Stenella attenuata*
Delfín manchado pantropical, delfín moteado pantropical
2.29
Delphinidae
Steno bredanensis*
Delfín de dientes rugosos
2.44
Delphinidae
Stenella frontalis*
Delfín moteado del Atlántico, delfín embriado
2.29
Delphinidae
Stenella longirostris*
Delfín tornillo
2.13
Sirenios
Trichechidae
Trichechus manatus*
Manatí del Caribe
3.51
* Especies con distribución en México, listadas en la NOM-059-SEMARNAT-2010, Protección ambiental-Especies nativas de México de flora y fauna silvestres-Categorías de riesgo y especificaciones para su inclusión, exclusión o cambio-Lista de especies en riesgo.
Apéndice "B"
(Normativo)
Listado de especies de carnívoros que se permiten mantener en cautiverio y la longitud promedio de
los adultos.
Familia
Especie
Nombre común
Longitud promedio del
adulto
m
Macho
Hembra
Pinnípedos
Otariidae
Arctocephalus philippii townsendi o Arctocephalus townsendi*
Lobo fino de Guadalupe
1.85
1.30
Otariidae
Otaria flavescens
(sin. Otaria byronia)
Lobo marino
sudamericano o lobo
común del sur
2.40
2.00
Otariidae
Zalophus californianus*
Lobo marino californiano
o de California
2.24
1.75
Phocidae
Mirounga angustirostris*
Elefante marino del
norte
3.96
2.49
Phocidae
Phoca vitulina*
Foca común o de puerto
1.70
1.50
Mustélidos
Mustelidae
Enhydra lutris*
Nutria marina
1.25
1.25
* Especies con distribución en México, listadas en la NOM-059-SEMARNAT-2010, Protección ambiental-
Especies nativas de México de flora y fauna silvestres-Categorías de riesgo y especificaciones para su inclusión, exclusión o cambio-Lista de especies en riesgo.
Apéndice C
(Informativo)
Medidas que se deben tomar a los mamíferos marinos capturados.



Apéndice "D"
(Informativo)
Ejemplos de área superficial mínima requerida para cada ejemplar de cetáceo.
Longitud promedio del adulto de las especies de
cetáceos
Área superficial mínima requerida para
cada cetáceo
m
m2
1.68
3.32
2.13
5.34
2.29
6.17
2.59
7.90
2.74
8.84
3.05
10.95
3.66
15.77
4.35
22.28
5.49
35.49
Apéndice "E"
(Informativo)
Ejemplos de espacio mínimo requerido para los confinamientos primarios para cetáceos del Grupo I.
Longitud Promedio
Dimensión horizontal
mínima (DMH)
Volumen por cada
cetáceo adicional
Profundidad Mínima
m
m
m3
m
1.68
7.32
4.43
2.0
2.29
7.32
8.23
2.0
2.74
7.32
11.79
2.0
3.05
7.32
14.60
2.0
3.66
7.32
21.03
2.0
4.35
8.7
31.64
2.18
5.49
10.98
64.83
2.74
 
Apéndice "F"
(Informativo)
Imagen representativa del contenedor de transporte primario para el transporte de cetáceos.

Apéndice "G"
(Informativo)
Imagen representativa del contenedor de transporte primario o jaula para el transporte de pinnípedos.

Apéndice "H"
(Informativo)
Imagen representativa del contenedor de transporte primario o jaula para el transporte de nutria
marina.

Apéndice "I"
(Informativo)
Imagen representativa del contenedor de transporte primario para sirenios.

9. Referencias bibliográficas
9.1 Acuerdo mediante el cual se expide el Protocolo de atención para varamiento de mamíferos marinos. Diario Oficial de la Federación, 17 de junio de 2014.
9.2 ALANIS PASINI Y. y ROJAS ORTEGA, L. (2007). Delfinarios. 1ª ed. México: AGT Editor, S.A. ISBN 968-463-134-0.
9.3 ALANIS PASINI Y. y ROJAS ORTEGA, L. (2008). Los delfinarios. En: La Jornada Ecológica [en línea] [consulta: 14 de enero 2021] Disponible en: https://www.jornada.com.mx/2008/01/28/eco-c.html.
9.4 Alliance of Marine Mammals Parks and Aquariums. AMMPA Accreditation Standards and Guidelines. Febrero 2020. District of Columbia USA: AMMPA, 2020 [consulta: 3 de marzo de 2021]. Disponible en: https://www.ammpa.org/membership/standards-guidelines
9.5 Argentina. Resolución 351/95 - Mamíferos Marinos. Protección. 18 de septiembre de 1995. [consulta: 2 de febrero de 2021] Disponible en: http://argentinambiental.com/legislacion/nacional/resolucion-35195-mamiferos-marinos-proteccion/
9.6 AZA Marine Mammal Tag. Sea Otter (Enhydra lutris) Care Manual. Association of Zoos and Aquariums, Silver Spring, MD. 2018 [consulta: 11 de enero de 2021]. Disponible en: https://assets.speakcdn.com/assets/2332/sea_otter_care_manual_2019.pdf
9.7 BERGFELT, D. R., et al. (2018). Preliminary Analysis of the Proteome of Exhaled Breath Condensate in Bottlenose Dolphins (Tursiops truncatus). Aquatic Mammals, 2018, vol. 44, no 3.
9.8 BERGFELT, D. R., et al. (2023). Circulating Concentrations of Cortisol Encompassing Controlled Cessation of Suckling During Weaning Under Managed Care in Cow and Calf Bottlenose Dolphins (Tursiops truncatus). Aquatic Mammals, 2023, vol. 49, no 4.
9.9 BRANDO, S., et al. (2018). Optimal marine mammal welfare under human care: Current efforts and future directions. Behavioural Processes, 2018, vol. 156, p. 16-36.
9.10 BONDE, R. K., et al. (2012). Biomedical health assessments of the Florida manatee in Crystal River - providing opportunities for training during the capture, handling, and processing of this endangered aquatic mammal. Journal of Marine Animals and Their Ecology [en línea]. Vol. 5 No. 2 [Consulta: 3 de marzo de 2021] Disponible en: https://www.researchgate.net/publication/255181317_Biomedical_health_assessments_of_the_Florida_manatee_in_Crystal_River_-_providing_opportunities_for_training_during_the_capture_handling_and_processing_of_this_unique_aquatic_mammal
9.11 CLEGG, I. L. K. y DELFOUR, F. (2018). Can we assess marine mammal welfare in captivity and in the wild? Considering the example of bottlenose dolphins. Aquatic Mammals, 2018, vol. 44, no 2.
9.12 COAKLEY, J. y R.L. CRAWFORD. (1998). Marine Mammal Water Quality: Proceedings of a Symposium. Animal and Plant Health Inspection Service, United States Department of Agriculture. Technical Bulletin No. 1868.
9.13 Comisión Nacional de Áreas Naturales Protegidas. Protocolos estandarizados para la atención de crías abandonadas, rehabilitación y necropsias de manatí. Revisión 2015. Responsable: Morales Vela Benjamín México.
9.14 Convención sobre el Comercio Internacional de Especies Amenazadas de Fauna y Flora Silvestres. Directivas para el transporte y la preparación para el transporte de animales y plantas silvestres vivos. [consulta 3 de marzo de 2021] Disponible en: https://cites.org/sites/default/files/esp/resources/transport/S-
TranspGuide.pdf.
9.15 CRISSEY, S.D. y SPENCER, B. S. (1998). Handling Fish Fed to Fish-Eating Animals. A manual of standard operating procedures. Animal and Plant Health Inspection Service, United States Department of Agriculture. [consulta 31 de agosto de 2023] Disponible en: chrome-extension://efaidnbmnnnibpcajpcglclefindmkaj/https://nagonline.net/wp-content/uploads/2013/12/Crissey-and-Spencer-1998-Handling-fish-fed-to-fish-eating-animals-a-manual.pdf
9.16 DE LA LANZA ESPINO, G. J., et al. (1991). Oceanografía de mares mexicanos. 1991. AGT Editor. México, DF.
9.17 Department for Environment and Water. Use of microchips for marking wildlife policy. En: Government of South Australia. Department for environment and Water. [en línea]. [consulta: 2 de febrero de 2021]. Disponible en: https://www.environment.sa.gov.au/topics/plants-and-animals/animal-welfare/Animals_in_research_teaching/Animal_ethics_committees/policies-for-wildlife-research
9.18 DEMASTER, D. y J.K. DREVENAK. (1988). Survivorship patterns in three species of captive cetaceans. Marine Mammal Science 4(4):497-311.
9.19 European Association of Zoos and Aquaria. Marine Mammal. EAZA Standards for the Accommodation and Care of Animals in Zoos and Aquaria. Approved by Council 27 September 2014. [consulta 17 de febrero 2021]. Disponible en: https://www.eaza.net/assets/Uploads/Standards-and-policies/Standards-for-the-Accommodation-and-Care-of-Animals-2014.pdf
9.20 European Association of Zoos and Aquaria y European Association of Aquatic Mammals. Best Practice Guidelines for Otariidae and Phocidae. Approved August 2018. Compiladores Gili Claudia, Meijer Gerard y Lacave Geraldine. 1a ed.2018. [consulta: 16 de febrero de 2021] Disponible en: https://www.eaza.net/assets/Uploads/CCC/EAZA-EAAM-PinnipedGuidelines-approved.pdf
9.21 European Association of Zoos and Aquaria. EAZA Best Practice Guidelines Antillean Manatee (Trichechus manatus manatus). Editores: Von Fersen, Lorenzo y Walb Robin. 2a ed. 2018. [consulta: 23 de febrero de 2021] Disponible en: https://www.eaza.net/assets/Uploads/CCC/2018-Antillean-Manatee-EAZA-Best-Practice-Guidelines-Approved.pdf
9.22 European Association of Zoos and Aquaria. Marine Mammal Demonstration and Public Interaction Guidelines. Approved by EEP Committee 29 March 2019. [consulta: 17 de febrero de 2021]. Disponible en: https://www.eaza.net/assets/Uploads/CCC/2019-EAZA-BPG-Marine-Mammal-Demonstration-Guidelines-approved.pdf
9.23 European Association of Aquatic Mammals. Standards and Guidelines for the management of aquatic mammals under human care. Versión marzo, 2019. [consulta: 15 de febrero de 2021]. Disponible en: https://eaam.org/wp-content/uploads/2019/06/EAAM-Standards-and-guidelines-2019.pdf
9.24 Florida Fish and Wildlife Conservation Commission. How do we track manatees? En: Florida Fish and Wildlife Conservation Commission [en línea] [consulta: 2 de marzo de 2022] Disponible en: https://myfwc.com/research/manatee/research/radiotelemetry-tracking/process/
9.25 GAGE L.J. (2008) Thermoregulation in California Sea Lions. International Association for Aquatic Animal Medicine. [consulta 3 de agosto de 2023] Disponible en: https://www.vin.com/apputil/project/defaultadv1.aspx?pid=11259&catid=&id=3863172&meta=&authorid=.
9.26 GERACI, J. R. y LOUNSBURY, V. J. (1993). Marine Mammals Ashore. A Field Guide for Strandings. ed. Galveston, Texas: Texas A&M University Sea Grant College Program. ISBN1-883550-01-7
9.27 GULLAND, F. M., DIERAUF, L. A. y WHITMAN, K. L. (3a Ed.). (2018). CRC handbook of marine mammal medicine. CRC Press.
9.28 HANSEN S. y LAVIGNE D.M. (1997) Ontogeny of the thermal limits in the harbor seal (Phoca vitulina). Physiological Zoology 70(1): 85-92. DOI 10.1086/639549. [consulta 4 de agosto de 2023] Disponible en: https://pubmed.ncbi.nlm.nih.gov/9231380/.
9.29 HEATH M.E. y RIDGWAY S.H. (1999) How dolphins use their blubber to avoid heat stress during encounters with warm water. American Journal of Physiology 276: R1188-R1194. [consulta 3 de agosto de 2023] Disponible en: https://pubmed.ncbi.nlm.nih.gov/10198402/.
9.30 JAAKKOLA, K. y WILLIS, K. (2019). How long do dolphins live? Survival rates and life expectancies for bottlenose dolphins in zoological facilities vs. wild populations. Marine Mammal Science, 2019, vol. 35, no 4, p. 1418-1437.
9.31 JEFFERSON, T. A., WEBBER, M. A. y PITMAN, R.L. (eds). (2015). Marine Mammals of the World: A Comprehensive Guide to their Identification. Second Edition, Academic Press, San Diego CA, USA. 608 p.
9.32 LAUDERDALE, L.K., et al. (2021). Bottlenose dolphin habitat and management factors related to activity and distance traveled in zoos and aquariums. PLoS ONE 16(8): e0250687. [consulta: 8 de septiembre de 2023] Disponible en: https://doi.org/10.1371/journal.pone.0250687
9.33 LAUDERDALE, L.K., et al. (2021). Habitat characteristics and animal management factors associated with habitat use by bottlenose dolphins in zoological environments. PLoS ONE 16(8): e0252010. [consulta: 8 de septiembre de 2023] Disponible en: https://doi.org/10.1371/journal.pone.0252010
9.34 LAUDERDALE, L. K., et. al. (2021). Towards understanding the welfare of cetaceans in accredited zoos and aquariums. PLoS ONE 16(8): e0255506. [consulta: 8 de septiembre de 2023] Disponible en: https://doi.org/10.1371/journal.pone.0255506.
9.35 LIWANAG H.E.M., et. al. (2009). The effects of water temperature on the energetic costs of juvenile and adult California sea lions (Zalophus californianus): the importance of skeletal muscle thermogenesis for thermal balance. The Journal of Experimental Biology 212: 3977-3984. DOI 10.1242/jeb.033282. [consulta 4 de agosto de 2023] Disponible en: https://journals.biologists.com/jeb/article/212/24/3977/9613/The-effects-of-water-temperature-on-the-energetic.
9.36 Marine Mammal Protection Act of 1972. Modificada el 20 de diciembre de 2022. consulta: 23 de mayo de 2023] Disponible en: chrome-extension://efaidnbmnnnibpcajpcglclefindmkaj/https://www.govinfo.gov/content/pkg/COMPS-1679/pdf/COMPS-1679.pdf
9.37 MASLANKA, M., et. al. (2023). Handling Fish Fed to Fish-Eating Animals. 2a Edición revisada en Agosto de 2023. [consulta: 5 de septiembre de 2023] Disponible en: chrome-extension://efaidnbmnnnibpcajpcglclefindmkaj/https://www.aphis.usda.gov/animal_welfare/downloads/fish-fed-to-fish-eating-animals.pdf
9.38 MEDRANO GONZÁLEZ L. y URBÁN RAMÍREZ J. (2019). Mamíferos marinos: identidad, diversidad y conservación. Ciencia 70(3): 8-19. ISSN: 1405-6550. [consulta: 13 de junio de 2023] Disponible en: https://www.amc.edu.mx /revistaciencia/index.php/vol-70-numero-3/480-mamiferos-marinos-identidad-diversidad-y-conservacion.
9.39 MELLOR, D. J., HUNT, S. y GUSSET, M. (eds) (2015). Cuidando la fauna silvestre: La Estrategia Mundial de Zoológicos y Acuarios para el Bienestar Animal. Gland: Oficina Ejecutiva de WAZA: 94 pp. [consulta: 18 de septiembre de 2023] Disponible en: chrome-extension://efaidnbmnnnibpcajpcglclefindmkaj/https://www.waza.org/wp-content/uploads/2019/03/WAZA-Animal-Welfare-Strategy-2015_Spanish.pdf
9.40 MILLER, B. A., et al. (2017). Plasma Proteome and Clinical Biochemistry Associated with Performance-Based Physical Activity in Bottlenose Dolphins (Tursiops truncatus). Aquatic Mammals, 2017, vol. 43, no 5.
9.41 MILLER, L.J., et. al. (2021). Behavioral diversity as a potential positive indicator of animal welfare in bottlenose dolphins. PLoS ONE. [consulta: 8 de septiembre de 2023] Disponible en: 16(8): e0253113. https://doi.org/10.1371/journal.pone.0253113.
9.42 Ministerio de Medio Ambiente y Desarrollo Sostenible de Colombia. Guía para la atención de varamientos de mamíferos acuáticos en Colombia. 2017. [consulta: 10 de febrero de 2021] ISBN: versión digital: 978-958-8901-29-9 Disponible en: https://www.minambiente.gov.co/images/NegociosVerdesysostenible/pdf/boletines/VARAMIENTOS_BAJA_CON_ANEXO_2.pdf
9.43 OKRUCKY, R. S. y VELA, B. M. (2016). Niveles de cortisol en delfines Tursiops truncatus vinculados a programas interactivos con humanos. REDVET. Revista Electrónica de Veterinaria, 2016, vol. 17, no 9, p. 1-9.
9.44 Ontario Regulation 60/09 Ontario Society for the Prevention of Cruelty to Animals Act. Standards of Care and Administrative Standards. 17 de diciembre de 2019. [consulta: 1 de marzo de 2021] Disponible en: https://www.ontario.ca/laws/regulation/090060
9.45 Parc National de la Guadeloupe. Protocol for Transportation of Manatees. 2014. https://www.guadeloupe-parcnational.com/IMG/pdf/protocols__transportation_2014_final.pdf.
9.46 PROTHERO, D. R., et. al. (2022). On the unnecessary and misleading taxon "Cetartiodactyla". Journal of Mammalian Evolution 29:93-97. [consulta: 14 de junio de 2021] Disponible en: https://marinemammalscience.org/science-and-publications/list-marine-mammal-species-subspecies/
9.47 RAMIREZ, K. y AQUARIUM, S. (2019). Animal training: successful animal management through positive reinforcement. Aquarium Society.
9.48 República Dominicana. Resolución No. 01/2008 que aprueba el Reglamento sobre la Tenencia, Manejo y Exhibición de Especies de Mamíferos Marinos en la República Dominicana. 2008. [consulta: 22 de febrero de 2021] Disponible en: https://ambiente.gob.do/transparencia/base-legal/reglamentos/
9.49 ROBERTS, S.P. y D.P. DEMASTER. (2001). Pinniped survival in captivity: annual. survival rates of six species. Marine mammal science, vol. 17, no 2, p. 381-387.
9.50 STOCKTON-TEKESTE S.B. (2016). A Predictive Thermal Habitat Model for Harbor Seals in the Northwest Atlantic. MSc thesis. Duke University. Durham, NC. [consulta 2 de agosto de 2023] Disponible en: chrome-extension://efaidnbmnnnibpcajpcglclefindmkaj/https://dukespace.lib.duke.edu/dspace/bitstream/handle/10161/12674/stocktontekeste_mastersproject.pdf?sequence=1&isAllowed=y
9.51 Survival rates of six species. Marine Mammal Science, 17(2):381-387.
9.52 SAMUELS, A. y T. SPRADLIN. (1994). Quantitative behavioral study of bottlenose dolphins in Swim-
with-the-dolphin Programs in the United States. Final Report to National Marine Fisheries Service, Office of Protected Resources.
9.53 SMALL, J.R. y D. DEMASTER. (1995). Acclimation to captivity: a quantitative estimate based on survival of bottlenose dolphins and California sea lions. Marine Mammal Science.11(4):510-519.
9.54 SMALL, J.R. y D. DEMASTER. (1995) Survival of five species of captive marine mammals. Marine Mammal Science. 11(2):209-226.
9.55 SPOTTE, S. (1991) Sterilization of Marine Mammal Pool Waters. Theoretical and health considerations. Technical Bulletin No. 1797 Animal and Plant Health Inspection Service. United States Department of Agriculture.
9.56 The capture process of Sirenians Manatees. En Journey North. Tracking migrations and seasons. [consulta: 28 de enero de 2021]. Disponible en: https://journeynorth.org/tm/manatee/Capture.html.
9.57 United States Department of Agriculture. USDA Animal Care. Animal Welfare Act and Animal Welfare Regulations. 1° de enero de 2018. [consulta: 13 de enero de 2021] Disponible en: chrome-extension://efaidnbmnnnibpcajpcglclefindmkaj/https://www.aphis.usda.gov/animal_welfare/downloads/AC_BlueBook_AWA_508_comp_version.pdf.
9.58 WILLIAMS T.M., et. al. (1992). Assessing the thermal limits of bottlenose dolphins: a cooperative study by trainers, scientists and animals. IMATA Soundings Fall 16-17.
9.59 WORTHY G.A.J., MICULKA T. y SAMUEL A. (1999). Thermoregulatory capabilities of the West Indian manatee (Trichechus manatus). Mote Technical Report 750. Sarasota, FL. [consulta 2 de agosto de 2023] Disponible en: https://dspace.mote.org/handle/2075/3093
9.60 YEATS L.C. y HOUSER D.S. (2008). Thermal tolerance in bottlenose dolphins (Tursiops truncatus). The Journal of Experimental Biology 211: 3249-3257. DOI 10.1242/jeb.020610. [consulta 3 de agosto de 2023] Disponible en: https://journals.biologists.com/jeb/article/211/20/3249/17705/Thermal-tolerance-in-bottlenose-dolphins-Tursiops.
9.61 ZAVALA-HIDALGO J., et. al. (2006). Seasonal Upwelling on the Western and Southern Shelves of the Gulf of Mexico. Ocean Dynamics. DOI 10.1007/s10236-006-0072-3. [consulta 4 de agosto de 2023] Disponible en: https://www.researchgate.net/publication/225663441_Seasonal_upwelling_on_the_Western_and_Southern_Shelves_of_the_Gulf_of_Mexico
TRANSITORIOS
PRIMERO.- La presente Norma Oficial Mexicana entrará en vigor a los 180 días naturales siguientes de su publicación en el Diario Oficial de la Federación.
SEGUNDO.- Con la publicación y entrada en vigor de la presente norma, quedan sin efectos la Norma Oficial Mexicana NOM-135-SEMARNAT-2004, Para la regulación de la captura para investigación, transporte, exhibición, manejo y manutención de mamíferos marinos en cautiverio, publicada en el Diario Oficial de la Federación el 27 de agosto de 2004, así como el Acuerdo que reforma, adiciona y deroga diversas disposiciones de dicha Norma Oficial Mexicana NOM-135-SEMARNAT-2004, publicado en el Diario Oficial de la Federación el 16 de diciembre de 2014.
TERCERO.- Los planes de manejo de mamíferos marinos de las UMA y PIMVS autorizados con anterioridad a la fecha de publicación de la presente Norma Oficial Mexicana continuarán vigentes hasta su entrada en vigor, sin perjuicio de que se solicite ante la Secretaría la actualización o modificación correspondiente conforme a las disposiciones establecidas en el presente instrumento, dentro del plazo señalado en el Artículo Primero Transitorio.
CUARTO.- Las solicitudes de actualización o modificación de planes de manejo de UMA y PIMVS en proceso de registro ingresadas a la Secretaría previo a la entrada en vigor de la presente Norma Oficial Mexicana, continuarán su evaluación bajo las disposiciones establecidas en la Norma Oficial Mexicana NOM-135-SEMARNAT-2004, con la obligatoriedad de dar cumplimiento a lo establecido en los Artículos Primero, Tercero y Quinto Transitorios.
QUINTO.- Para la implementación de las especificaciones identificadas en los numerales 5.4.5.2.4 y 5.4.6.5 de la presente Norma Oficial Mexicana relativas a los espacios para la realización de actividades interactivas con pinnípedos y manatíes, se establece un plazo máximo adicional de 180 días naturales a partir de su entrada en vigor.
SEXTO.- A efecto de dar cumplimiento a lo previsto en los artículos 68, último párrafo, y 78 de la Ley General de Mejora Regulatoria, publicada en el Diario Oficial de la Federación (DOF) el 18 de mayo de 2018, el cual determina que para la expedición de Regulaciones, los Sujetos Obligados deberán indicar expresamente en su Propuesta Regulatoria, las obligaciones regulatorias o actos a ser modificados, abrogados o derogados, con la finalidad de reducir el costo de cumplimiento de los mismos en un monto igual o mayor al de las nuevas obligaciones de la Propuesta Regulatoria que se pretenda expedir y que se refiera o refieran a la misma materia o sector regulado, se derogan obligaciones regulatorias por la modificación de los numerales 5.2.5, 7.3.1.1, 7.7.6.1, 8.4.4, 8.5.3, 13.3.6, 8.1.2 y por la eliminación del numeral 10.1.6, y se realiza un acto de simplificación administrativa en los numerales 3.3, 10.1, 10.1.1 a), 10.1.2 b), 10.1.3 c), 10.1.4 d) y 10.1.5 e) de la "Norma Oficial Mexicana NOM-135-SEMARNAT-2004, Para la regulación de la captura para investigación, transporte, exhibición, manejo y manutención de mamíferos marinos en cautiverio", publicada en el DOF el 27 de agosto de 2004.
Ciudad de México, a los treinta días del mes de agosto de 2024.- El Subsecretario de Regulación Ambiental de la Secretaría de Medio Ambiente y Recursos Naturales y Presidente del Comité Consultivo Nacional de Normalización de Medio Ambiente y Recursos Naturales, Alonso Jiménez Reyes.- Rúbrica.