DECRETO por el que se expropia por causa de utilidad pública la superficie de 02-89-57 hectáreas del ejido "NCPA. Div. del Norte y sus Anexos", municipio de Escárcega, estado de Campeche, a favor de Tren Maya, S.A. de C.V.
Al margen un sello con el Escudo Nacional, que dice: Estados Unidos Mexicanos.- Presidencia de la República.
CLAUDIA SHEINBAUM PARDO, Presidenta de los Estados Unidos Mexicanos, en ejercicio de la facultad que me confiere el artículo 89, fracción I, de la Constitución Política de los Estados Unidos Mexicanos, con fundamento en los artículos 27, párrafos primero y segundo, y 92 de la propia Constitución; 13, 29 y 41 de la Ley Orgánica de la Administración Pública Federal; 93, fracciones I y VII, y 94 de la Ley Agraria, y 60, 61 y 75 del Reglamento de la Ley Agraria en Materia de Ordenamiento de la Propiedad Rural, y
RESULTANDO
1. Que, mediante resolución presidencial publicada en el Diario Oficial de la Federación (DOF) el 11 de abril de 1964, se creó y dotó al nuevo centro de población agrícola denominado División del Norte y sus anexos La Sauceda, Miguel Hidalgo, Guayaro del Origel, Miguel Hidalgo y Costilla, Colonia Emiliano Zapata, Crispín Durán Zamorano y Miguel Hidalgo, municipio de El Carmen, estado de Campeche, la superficie de 30,156.10 hectáreas. Dicha resolución se ejecutó el 30 de enero de 1981;
2. Que, el Congreso Constitucional del Estado Libre y Soberano de Campeche, mediante decreto número 50, publicado en el Periódico Oficial del Estado el 19 de julio de 1990, creó el municipio Libre de Escárcega;
3. Que, mediante asamblea general de ejidatarios de 11 de diciembre de 2004, se determinó la delimitación, destino y asignación de las tierras del ejido denominado "División del Norte", municipio de Escárcega, estado de Campeche;
4. Que, el 20 de diciembre de 2004, el ejido "NCPA. Div. del Norte y sus Anexos", municipio de Escárcega, estado de Campeche, se inscribió en el Padrón e Historial de Núcleos Agrarios del Registro Agrario Nacional (RAN) con el folio de ejidos y comunidades 04009011111041964R;
5. Que, el ejido "NCPA. Div. del Norte y sus Anexos", municipio de Escárcega, estado de Campeche, fue afectado por las siguientes acciones agrarias:
| Núm. | Resolución Presidencial | Publicación en el DOF | Acción | Superficie (hectáreas) |
| 1 | 2 de junio de 2023 | 2 de junio de 2023 | Expropiación | 11-90-97 |
| 2 | 12 de febrero de 2026 | 16 de febrero de 2026 | Expropiación | 01-30-57 |
| 3 | 13 de febrero de 2026 | 17 de febrero de 2026 | Expropiación | 00-45-90 |
| 4 | 13 de febrero de 2026 | 17 de febrero de 2026 | Expropiación | 04-47-03 |
| 5 | 13 de febrero de 2026 | 17 de febrero de 2026 | Expropiación | 39-13-81 |
6. Que, mediante escritura pública 98,727, de 5 de diciembre de 2018, otorgada ante el Licenciado Carlos Antonio Morales Montes de Oca, notario público 227 de la Ciudad de México, se protocolizó el cambio de denominación de Fonatur Operadora Portuaria, S.A. de C.V., por el de FONATUR Tren Maya, S.A. de C.V. En la cláusula CUARTA de la citada escritura pública consta, como parte de su objeto social:
c) Tramitar todo tipo de asignaciones y permisos y ejecutar la construcción, operación, explotación, conservación y mantenimiento de vías férreas en el sureste de la República Mexicana.
d) Tramitar todo tipo de asignaciones y permisos y prestar el servicio público de transporte ferroviario de pasajeros o de carga, por sí mismo mediante asignación o de manera conjunta con concesionarios.
e) Tramitar todo tipo de asignaciones y permisos para prestar servicios auxiliares ferroviarios, así como todo tipo de servicios relacionados con la infraestructura ferroviaria.
(...)
g) Celebrar todo tipo de actos jurídicos por los cuales otorgue o reciba el uso y aprovechamiento de bienes muebles e inmuebles, así como el adquirirlos o enajenarlos, comprendidos en instalaciones turísticas o inmobiliarias de cualquier naturaleza, en cualquier destino turístico, polos de desarrollo turístico, Centros Integralmente Planeados, y en Centros Turísticos Sustentables del Fondo Nacional del Fomento al Turismo (FONATUR), en el sureste de la República Mexicana.
7. Que, mediante publicación en el DOF el 21 de abril de 2020, el Gobierno federal otorgó, por conducto de la entonces Secretaría de Comunicaciones y Transportes, a la empresa de participación estatal mayoritaria FONATUR Tren Maya, S.A. de C.V., la asignación para construir, operar y explotar la vía general de comunicación ferroviaria denominada Tren Maya, la cual incluye la prestación del servicio público de transporte ferroviario de carga y de pasajeros, y los permisos para prestar los servicios auxiliares requeridos;
8. Que, FONATUR Tren Maya, S.A. de C.V., elaboró dictámenes técnicos de la viabilidad del Proyecto Tren Maya, en los que se concluye que es de primera necesidad contar con un servicio confiable, eficiente, cómodo y seguro que permita, por una parte, el transporte de mercancías y, por otra, movilizar a sus usuarios con altos estándares de calidad, acceso y cobertura en el área urbana y conurbada;
9. Que, los dictámenes antes referidos, acreditan que el Proyecto Tren Maya satisface el interés colectivo, e impulsa las actividades económicas del sur-sureste del país que garantizan el derecho a la movilidad en condiciones de seguridad, accesibilidad, comodidad, eficiencia, calidad e igualdad. Así mismo, la construcción del Tren Maya permitirá el desarrollo socioeconómico y turístico; reducirá los niveles de pobreza, y mejorará las condiciones de vida de quienes habitan y transitan por la zona;
10. Que, el Proyecto de Nación se fundamenta en los Cien Compromisos de gobierno para el periodo 2025-2030, los cuales son la base del Plan Nacional de Desarrollo (PND 2025-2030), publicado en el DOF el 15 de abril de 2025; en ellos se exponen 14 repúblicas, la XI, que se denomina República Próspera y Conectada, la cual contempla los compromisos números 76 y 77, mismos que se refieren a la "Construcción de línea del Tren Maya a Progreso" y a la "Implementación del transporte de carga en el Tren Maya", respectivamente;
11. Que, el PND 2025-2030 contempla, en su Eje general 3 "Economía Moral y Trabajo", las siguientes estrategias:
Estrategia 3.7.2 Fomentar la construcción, modernización y conservación de la infraestructura de transporte para garantizar la movilidad de personas, bienes, servicios y turistas nacionales e internacionales, asegurando condiciones de seguridad vial, accesibilidad, eficiencia, sostenibilidad, calidad, inclusión e igualdad.
Estrategia 3.7.3 Desarrollar infraestructura ferroviaria para mejorar el transporte de pasajeros y carga mediante la expansión e integración de la red con un enfoque intermodal, fortaleciendo la integración territorial y ofreciendo un servicio económico, seguro, sostenible y eficiente.
12. Que, el Programa Sectorial de Desarrollo Agrario, Territorial y Urbano (PSEDATU) 2025-2030, publicado en el DOF el 1 de septiembre de 2025, establece en su Estrategia 2.3 "Promover políticas de movilidad sustentable, segura, accesible e incluyente, para mejorar la conectividad del territorio, la prosperidad de las regiones y el bienestar de las personas" y en su Línea de acción 2.3.1 "Coordinar la regularización y liberación del derecho de vía para la construcción de 3,000 km de líneas de tren de pasajeros, mediante procesos de gestión, acuerdos y actualización registral";
13. Que, el Programa Sectorial de Defensa Nacional 2025-2030, publicado en el DOF el 1 de septiembre de 2025, establece en su Estrategia 6.1 "Coadyuvar en la construcción de infraestructura que tienda al desarrollo económico y social del país" y en sus Líneas de acción 6.1.1 y 6.1.2 "Colaborar en estudios preliminares, asesoramiento y construcción, para el desarrollo del sistema ferroviario del país, que permita mejorar la movilidad, fortalecer la integración regional y facilitar el traslado de pasajeros y carga en el territorio nacional" y "Participar en la materialización de la infraestructura ferroviaria del Tren Maya para mejorar el transporte de pasajeros y carga, mediante la expansión de la red con un enfoque intermodal, que permita fortalecer la integración territorial en el sureste de la República y su desarrollo social, respectivamente;
14. Que, mediante escritura pública número 20 de 3 de junio de 2022, otorgada ante la fe de la titular de la Notaría 153 del Estado de México, Claudia Gabriela Francóz Gárate, se hizo constar la constitución de la Empresa de Participación Estatal Mayoritaria Tren Maya, S.A. de C.V., la cual tiene por objeto social:
(...) prestar los servicios de transporte ferroviario, complementarios y comerciales relacionados con los mismos, en términos de las concesiones, permisos, licencias y autorizaciones, que en su caso, obtenga del Gobierno Federal, para llevar a cabo la construcción, operación y explotación del "Tren Maya".
Por lo que, para cumplir con su objeto social, Tren Maya, S.A. de C.V., puede realizar, entre otras acciones, lo siguiente:
(...)
II. Llevar a cabo la construcción, operación y explotación del "Tren Maya", así como prestar los servicios auxiliares y públicos de transporte ferroviario de personas y carga, principalmente en los Estados de Chiapas, Tabasco, Campeche, Yucatán y Quintana Roo, pudiendo extenderse en todo el territorio nacional;
III. Realizar todas las acciones, estudios, proyectos, construcciones, adquisiciones, obras complementarias, sociales y de desarrollo inmobiliario que sean necesarias para la construcción del Sistema Ferroviario relacionado con el "Tren Maya" y los que se lleguen a crear en el territorio nacional, para el desarrollo regional, incluyendo todas aquellas actividades relacionadas con la adquisición de bienes por cualquier título, propiedad privada o cualquier modalidad de tenencia de la tierra;
IV. El diseño, la construcción, ejecución, equipamiento, instalación, puesta en operación, financiación y transmisión de todo tipo de edificaciones, obras necesarias para tendido de vías, elevados sobre carril o cable, señalizaciones y enclavamientos, electrificación de ferrocarriles, así como su mantenimiento y reparación, ya sea en régimen de contratación pública o, privada, concesión o arrendamiento;
(...)
XII. En general, realizar y ejecutar todos los actos jurídicos que sean necesarios o convenientes para llevar a cabo su objeto social.
15. Que, mediante publicación en el DOF de 30 de mayo de 2023, el Gobierno federal otorgó, por conducto de la Secretaría de Infraestructura, Comunicaciones y Transportes, a la empresa de participación estatal mayoritaria Tren Maya, S.A. de C.V., la asignación para construir, operar y explotar la vía general de comunicación ferroviaria denominada Tren Maya, la prestación del servicio público de transporte ferroviario de carga y de pasajeros, la cual incluye los permisos para prestar los servicios auxiliares requeridos;
16. Que, por acuerdo publicado el 21 de septiembre de 2023 en el DOF, se emitieron los "Lineamientos para la entrega del Proyecto Tren Maya, que realizará el Fideicomiso denominado Fondo Nacional de Fomento al Turismo (FONATUR) y FONATUR Tren Maya, S.A. de C.V. a Tren Maya, S.A. de C.V.";
17. Que, por decreto presidencial publicado el 1 de marzo de 2024 en el DOF, se determinó que FONATUR Tren Maya, S.A. de C.V., debe entregar el Proyecto Tren Maya a Tren Maya, S.A. de C.V., conforme a las disposiciones normativas aplicables;
18. Que por acuerdo publicado en el DOF el 4 de agosto de 2025, se establecieron las acciones para dar continuidad y seguimiento a los derechos y obligaciones de Fonatur Tren Maya, S.A. de C.V., por Tren Maya, S.A. de C.V., respecto de aquellos relacionados con el Proyecto Tren Maya, y por el Fondo Nacional de Fomento al Turismo en los demás derechos, obligaciones y asuntos distintos a éstos;
19. Que FONATUR Tren Maya, S.A. de C.V., es una empresa de participación estatal mayoritaria sectorizada a la Secretaría de Turismo y Tren Maya, S.A. de C.V., es una empresa de participación estatal mayoritaria sectorizada a la Secretaría de la Defensa Nacional, como se indica en la "Relación de las Entidades Paraestatales de la Administración Pública Federal", publicada en el DOF el 14 de agosto de 2025;
20. Que, el 29 de agosto de 2025 se publicó en el DOF la Resolución emitida por el Secretario de Hacienda y Crédito Público, mediante la cual se autorizó la desincorporación por disolución y liquidación de la empresa de participación estatal mayoritaria denominada FONATUR Tren Maya, S.A. de C.V.;
21. Que, el Programa Institucional Tren Maya, S.A. de C.V. 2025-2030, publicado el 14 de octubre de 2025 en el DOF, define los tres objetivos siguientes: "1.- Asegurar la rentabilidad del Tren Maya mediante la gestión eficiente de los servicios de transporte de pasajeros, carga, servicios complementarios y comerciales, para consolidar un sistema ferroviario que impulse el crecimiento económico del Sureste"; "2.- Garantizar un sistema de transporte ferroviario confiable, eficiente, seguro, con calidad e innovador con una conectividad intermodal integral, para fortalecer la logística, el comercio y la competitividad regional", y "3.- Impulsar al Tren Maya como una empresa ferroviaria con responsabilidad ambiental y social, con respeto a los derechos humanos, para contribuir al bienestar, la movilidad sostenible y desarrollo del Sureste"; 22. Que el 5 de septiembre de 2024 se suscribió el convenio de ocupación previa con FONATUR Tren Maya, S.A. de C.V., respecto de tierras de uso común, mismo que fue aprobado por asamblea general el 24 de mayo de 2024 por el ejido "NCPA. Div. del Norte y sus Anexos"; asimismo, el 3 de mayo y 21 de junio de 2024, respectivamente, se suscribieron los convenios de ocupación previa con los titulares de las parcelas afectadas, respecto de tierras de uso parcelado. En los respectivos convenios, se autorizó ocupar a título gratuito la superficie objeto de los mismos hasta la expedición del decreto respectivo, así como realizar un pago inmediato como anticipo y a cuenta de la indemnización que proceda una vez decretada la expropiación;
23. Que, FONATUR Tren Maya, S.A. de C.V. y Tren Maya, S.A. de C.V., mediante oficio número FTM/EDVPP/363/2024, de 20 de marzo de 2024, solicitaron al entonces titular de la Secretaría de Desarrollo Agrario, Territorial y Urbano (Sedatu) la expropiación de la superficie de 02-89-51.47 hectáreas de terrenos del ejido "NCPA. Div. del Norte y sus Anexos", municipio de Escárcega, estado de Campeche, para destinarla a la construcción de obras de infraestructura ferroviaria, derecho de vía u operación del Proyecto Tren Maya y sus obras complementarias, correspondiente al Tramo 1 "Palenque-Escárcega";
24. Que, la entonces Dirección General de Ordenamiento de la Propiedad Rural (DGOPR), hoy Dirección General de Resoluciones Presidenciales y Expropiaciones (DGRPE) de la Sedatu, el 8 de mayo de 2024, emitió acuerdo de instauración del procedimiento de expropiación con número de expediente DGOPR-DCE-DE-04CC/0089FONATUR TREN MAYA S.A. DE C.V. y TREN MAYA, S.A. DE C.V/2024;
25. Que, el 2 de septiembre de 2024, la entonces DGOPR, emitió acuerdo de regularización respecto al número de expediente, siendo el correcto DGOPR-DCE-DE/SOE-04CC/0089FONATUR TREN MAYA, S.A. DE C.V. y TREN MAYA, S.A. DE C.V/2024;
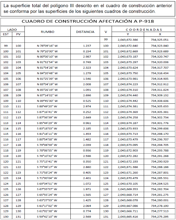
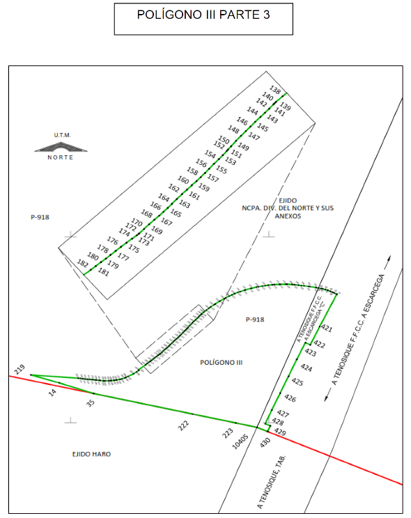
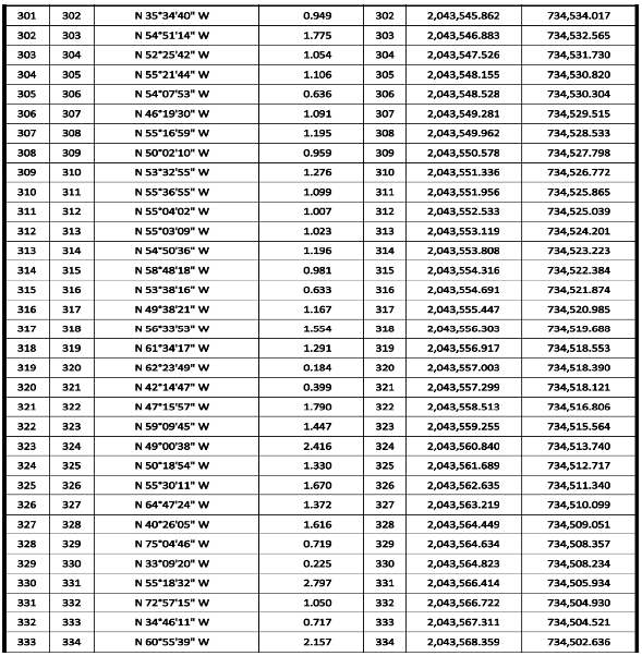
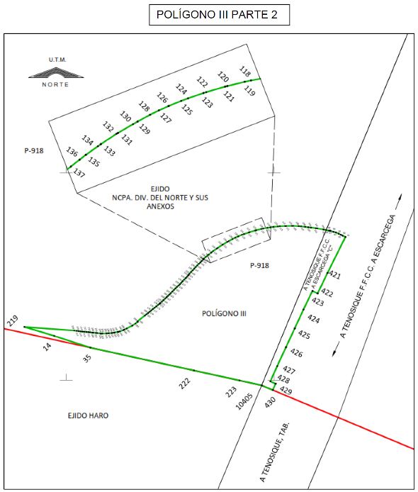
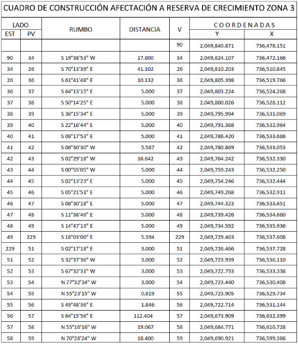
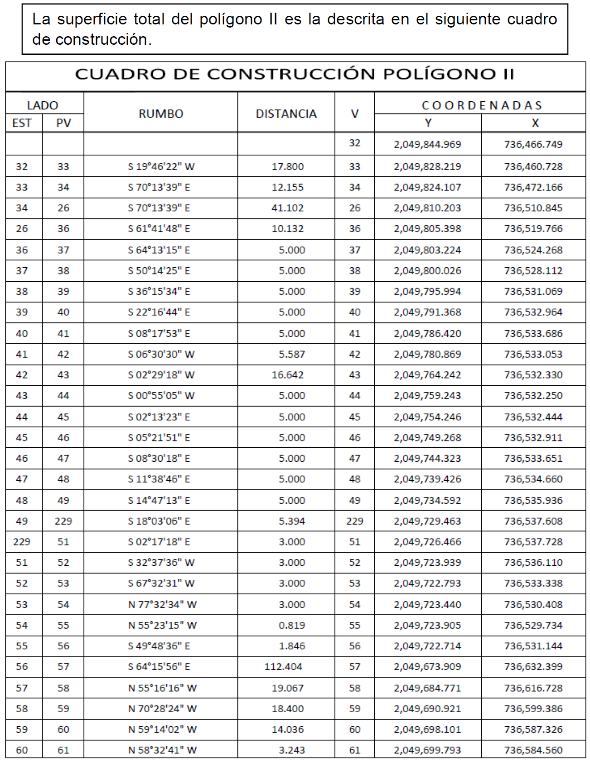
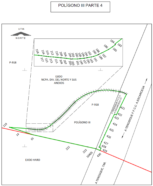
26. Que, el comisionado técnico del RAN y el comisionado agrario de la Sedatu rindieron el "informe de comisión de Trabajos Técnicos e Informativos de Expropiación", de 17 de septiembre de 2024, en el que se señala que la superficie real a expropiar al ejido "NCPA. Div. del Norte y sus Anexos", municipio de Escárcega, estado de Campeche, es de 02-89-57 hectáreas, de las cuales 00-73-45 hectáreas son de uso común y 02-16-12 hectáreas son de uso parcelado, que se describen en los siguientes planos y cuadros de construcción:
Asimismo, señala que las tierras de uso común y las tierras de uso parcelado son las siguientes:
| Núm. | Tipo | Calidad de la Tierra | Polígono en el que se localiza | Sup. Afectada |
| 1 | Área de Asentamiento Humano Zona 3 | Temporal | I | 00-25-70 |
| 2 | Tenosique F.F.C.C. A Escárcega "A" | Temporal | I | 00-06-89 |
| 3 | Tenosique F.F.C.C. A Escárcega "B" | Temporal | II | 00-02-16 |
| 4 | Reserva de Crecimiento Zona 3 | Temporal | II | 00-33-90 |
| 5 | Tenosique F.F.C.C. A Escárcega "C" | Temporal | III | 00-04-80 |
| Núm. | Núm. Parcela | Calidad Agraria | Calidad de la Tierra | Polígono en el que se localiza | Sup. Afectada |
| 1 | 918 | Avecindado | Temporal | III | 00-45-50 |
| 2 | 926 | Ejidatario | Temporal | IV | 01-70-62 |
Superficie a expropiar de uso común: 00-73-45 hectáreas
Superficie a expropiar de uso individual (parcelado): 02-16-12 hectáreas
Superficie total a expropiar: 02-89-57 hectáreas
27. Que, el 3 de marzo de 2025, el Instituto de Administración y Avalúos de Bienes Nacionales (Indaabin) emitió dictamen valuatorio y anexo único, con número secuencial 04-25-70 y genérico G-42048-ZND, en el que determinó con base en el valor comercial de la superficie a expropiar, que el monto total de indemnización asciende a $882,996.15 (ochocientos ochenta y dos mil novecientos noventa y seis pesos 15/100 M.N.);
28. Que, la Dirección General de Ordenamiento Territorial y Urbano de la Sedatu, el 27 de marzo de 2025, emitió opinión técnica procedente número SOTUV/DGOTU/006/CAM.TAB/FONATUR TM1/001/2025 respecto del procedimiento de expropiación a favor de FONATUR Tren Maya S.A. de C.V., que incluye la superficie de 02-89-57 hectáreas relativas al ejido "NCPA. Div. del Norte y sus Anexos", municipio de Escárcega, estado de Campeche;
29. Que, a los integrantes del comisariado ejidal y a los afectados del ejido "NCPA. Div. del Norte y sus Anexos", municipio de Escárcega, estado de Campeche, se les notificó el 24 de abril, 6 y 16 de mayo de 2025, la solicitud de expropiación, el acuerdo de instauración, acuerdo de regularización, la superficie real a expropiar y el dictamen valuatorio y anexo único. Asimismo, se les informó que contaban con 10 días hábiles para que manifestaran lo que a su interés conviniera. En dicho plazo no realizaron manifestaciones;
30. Que la DGRPE, el 11 de agosto de 2025, emitió dictamen en el que determinó procedente la expropiación de la superficie a que se refiere el numeral 26, a favor de Tren Maya, S.A. de C.V., para destinarse a la construcción de obras de infraestructura ferroviaria, derecho de vía u operación del Proyecto Tren Maya y sus obras complementarias, y
CONSIDERANDO
I. Que, de conformidad con los artículos 27, párrafos primero y segundo, de la Constitución Política de los Estados Unidos Mexicanos (CPEUM); 93, fracciones I y VII y 94 de la Ley Agraria, y 75 del Reglamento de la Ley Agraria en Materia de Ordenamiento de la Propiedad Rural (RLAMOPR), procede, mediante indemnización y previo decreto expedido por la persona titular del Ejecutivo Federal, publicado en el DOF, la expropiación por causa de utilidad pública, como lo es la construcción de obras de infraestructura ferroviaria, derecho vía u operación del Proyecto Tren Maya y sus obras complementarias;
II. Que, el documento señalado en los resultandos 1 y 3 del presente instrumento indica como nombre del ejido "División del Norte y sus anexos La Sauceda, Miguel Hidalgo, Guayaro del Origel, Miguel Hidalgo y Costilla, Colonia Emiliano Zapata, Crispín Durán Zamorano y Miguel Hidalgo", municipio de El Carmen, estado de Campeche; sin embargo, de la inscripción en el RAN se desprende que el nombre del ejido es "NCPA. Div. del Norte y sus Anexos", por lo que el presente procedimiento debe culminar como ejido "NCPA. Div. del Norte y sus Anexos", municipio de Escárcega, estado de Campeche;
III. Que, la superficie de 02-89-57 hectáreas, de las cuales 00-73-45 hectáreas son de uso común y 02-16-12 hectáreas son de uso parcelado, pertenecientes al ejido "NCPA. Div. del Norte y sus Anexos", municipio de Escárcega, estado de Campeche, se solicitó para destinarse a la construcción de obras de infraestructura ferroviaria, derecho vía u operación del Proyecto Tren Maya y sus obras complementarias, así como a la prestación del servicio público de transporte de carga ferroviaria y de pasajeros. Como consecuencia, se acreditan las causas de utilidad pública del establecimiento, explotación o conservación de un servicio o función públicos, y de la construcción de puentes, carreteras, ferrocarriles y demás obras que faciliten el transporte, previstas en el artículo 93, fracciones I y VII, respectivamente, de la Ley Agraria;
IV. Que, el Proyecto Tren Maya, al ser uno de los proyectos más importantes de infraestructura, desarrollo socioeconómico y turismo nacional y extranjero, no sólo impulsará el transporte de pasajeros, sino que se consolidará como un importante medio de transporte de carga, para acelerar el comercio de la península, lo que facilitará el intercambio de mercancías con el resto del país y diversificará los puntos turísticos de la región para generar una derrama económica; cumpliendo así una doble funcionalidad que fortalecerá su papel como elemento clave para construir una República próspera y conectada, como parte de las estrategias 3.7.2. y 3.7.3 del Eje general 3 "Economía Moral y Trabajo" del PND 2025-2030;
V. Que con la construcción, modernización y conservación, así como el desarrollo de infraestructura del Tren Maya se generarán oportunidades laborales y se redistribuirá la riqueza a lo largo de la península; para dar protección y rehabilitación a las áreas naturales protegidas y a los sitios patrimoniales. De igual forma, el Tren Maya funcionará como corredor humanitario por medio del cual se entregarán apoyos alimentarios, médicos, etc. para los pueblos y las comunidades indígenas y afromexicanas del sureste mexicano; tendrá un flujo constante, y sólo por su conducto, se podrá llegar a dichos poblados de manera pronta y eficaz; su ubicación geográfica es fundamental para salvaguardar las costas y la zona fronteriza con Centroamérica;
VI. Que, de diversos documentos contenidos en el expediente de expropiación número DGOPR-DCE-DE/SOE-04CC/0089FONATUR TREN MAYA, S.A. DE C.V. y TREN MAYA, S.A. DE C.V/2024, se advierte que la superficie que se solicitó expropiar al ejido "NCPA. Div. del Norte y sus Anexos" fue de 02-89-51.47 hectáreas; sin embargo, una vez realizados los trabajos técnicos, resultó que la superficie real es de 02-89-57 hectáreas de terrenos de temporal, de las cuales 00-73-45 hectáreas son de uso común y 02-16-12 hectáreas son de uso parcelado, como consta en el informe de comisión de Trabajos Técnicos e Informativos de Expropiación ya referido, motivo por el cual la superficie por expropiar al ejido "NCPA. Div. del Norte y sus Anexos", municipio de Escárcega, estado de Campeche, debe ser de 02-89-57 hectáreas;
VII. Que se otorgó garantía de audiencia al órgano de representación y a los afectados del ejido "NCPA. Div. del Norte y sus Anexos", municipio de Escárcega, estado de Campeche, como se acredita con las constancias que obran en el expediente DGOPR-DCE-DE/SOE-04CC/0089FONATUR TREN MAYA, S.A. DE C.V. y TREN MAYA, S.A. DE C.V/2024, sin que en el plazo concedido realizaran manifestaciones respecto del procedimiento expropiatorio materia del presente decreto; con lo anterior, se dio cumplimiento a los artículos 14 y 16 de la CPEUM y 65 del RLAMOPR;
VIII. Que, queda acreditado que se ha cumplido con lo dispuesto en los artículos 94 de la Ley Agraria y 70 del RLAMOPR, ya que el Indaabin emitió dictamen valuatorio, el 3 marzo de 2025, en el cual determinó que el monto de indemnización, con base al valor comercial de la superficie a expropiar es de $882,996.15 (ochocientos ochenta y dos mil novecientos noventa y seis pesos 15/100 M.N.). Con base en dicho avalúo, procede pagar la indemnización al ejido por las tierras de uso común y a los titulares de las parcelas afectadas, en la que debe considerarse el pago anticipado que se haya hecho, en la inteligencia de que los bienes objeto de la expropiación solo podrán ser ocupados de manera definitiva, mediante el pago que se efectúe al ejido o a las personas que acrediten tener derecho sobre las tierras de uso común y uso parcelado en la proporción que corresponda;
IX. Que, en caso de que los bienes expropiados se destinen a un fin distinto al señalado en el decreto respectivo, o si transcurrido un plazo de 5 años no se ha cumplido con la causa de utilidad pública, el Fideicomiso Fondo Nacional de Fomento Ejidal podrá ejercer las acciones necesarias para reclamar la reversión parcial o total, según corresponda, de los bienes expropiados, y operar la incorporación de estos a su patrimonio; ello de conformidad con el artículo 97 de la Ley Agraria;
X. Que, mediante decreto presidencial de 1 de marzo de 2024, como se señala en el resultando 17 del presente instrumento, se estipula que FONATUR Tren Maya, S.A. de C.V., debe entregar el Proyecto Tren Maya a Tren Maya, S.A. de C.V., conforme a lo dispuesto en las normas aplicables y a más tardar el 12 de septiembre de 2024, toda vez que ha transcurrido el tiempo especificado, el presente procedimiento culminará a favor de Tren Maya, S.A. de C.V., máxime que el 29 de agosto de 2025 se publicó en el DOF la resolución por la que se autorizó la desincorporación por disolución y liquidación de FONATUR Tren Maya, S.A. de C.V.;
XI. Que, los pagos correspondientes a cargo de Tren Maya, S.A. de C.V., se realizarán del presupuesto autorizado con el que cuenta dicha entidad paraestatal, sin que se autoricen ampliaciones líquidas al presupuesto establecido;
XII. Que, en términos de los artículos 93, 94 y 95 de la Ley Agraria y 60, 61, 63, 65, 67, 70, 72, 73, 74 y 75 del RLAMOPR, al haberse tramitado el procedimiento de expropiación ante la Sedatu, así como al haber justificado y acreditado las causas de utilidad pública, he tenido a bien expedir el siguiente
DECRETO
PRIMERO. Se expropia por causa de utilidad pública la superficie de 02-89-57 hectáreas (dos hectáreas, ochenta y nueve áreas, cincuenta y siete centiáreas) de terrenos de temporal, de las cuales 00-73-45 hectáreas (setenta y tres áreas, cuarenta y cinco centiáreas) son de uso común y 02-16-12 hectáreas (dos hectáreas, dieciséis áreas, doce centiáreas) son de uso parcelado del ejido "NCPA. Div. del Norte y sus Anexos", municipio de Escárcega, estado de Campeche, a favor de Tren Maya, S.A. de C.V., para destinarla a la construcción de obras de infraestructura ferroviaria, derecho de vía u operación del proyecto Tren Maya y sus obras complementarias.
SEGUNDO. Queda a cargo de Tren Maya, S.A. de C.V., acreditar que se realizó el pago o, en su caso, cubrir con su presupuesto autorizado el monto de la indemnización que en términos de ley deba pagarse a quienes acrediten su legítimo derecho, respecto a la superficie a expropiar, por la cantidad señalada en el avalúo emitido por el Instituto de Administración y Avalúos de Bienes Nacionales, y en los términos señalados en el considerando VIII del presente decreto.
TERCERO. La Secretaría de Desarrollo Agrario, Territorial y Urbano procederá a la ejecución correspondiente, una vez que Tren Maya, S.A. de C.V., haya acreditado que se realizó el pago indemnizatorio señalado en el numeral anterior.
TRANSITORIOS
PRIMERO. Publíquese en el Diario Oficial de la Federación.
SEGUNDO. El presente decreto entrará en vigor y surtirá efectos el día de su publicación en el Diario Oficial de la Federación.
TERCERO. Inscríbase en el Registro Agrario Nacional, en el Registro Público de la Propiedad Federal y en el Registro Público de la Propiedad estatal o municipal correspondiente.
CUARTO. Notifíquese y ejecútese en los términos de la normativa aplicable.
Dado en la residencia del Poder Ejecutivo Federal, en Ciudad de México a 26 de febrero de 2026.- Presidenta de los Estados Unidos Mexicanos, Claudia Sheinbaum Pardo.- Rúbrica.- Secretario de la Defensa Nacional, Ricardo Trevilla Trejo.- Rúbrica.- Secretaria de Desarrollo Agrario, Territorial y Urbano, Edna Elena Vega Rangel.- Rúbrica.